精密机械课程设计
弹簧管压力表设计报告

2020年5月1日
目 录
第一章 设计任务概述... 3
1.1 课程设计目的... 3
1.2 设计任务... 3
1.3 技术指标... 3
第二章 压力表概述... 4
2.1 机械式压力表的组成部分... 4
2.2 工作原理... 4
第三章 压力表设计... 5
3.1 弹簧管参数设计... 5
3.2 曲柄滑块机构设计... 8
3.3 齿轮传动机构设计... 10
3.4 压力表原理误差计算... 12
3.5 游丝参数计算... 13
第四章 标准化统计... 14
4.1 零件列表... 14
4.2 标准件统计... 15
附录 参考资料... 15
- 设计任务概述
- 课程设计目的
1.巩固和深化在课堂讲授和其它环节中所获得的知识,进一步了解各机构、零部件在仪表中的作用;仪表为完成本身功能对零件提出的要求、以及零件如何满足这些要求等,从而培养从整体上分析问题和解决问题的能力。
2.通过综合运用所学过机械学科方面的知识(如:机械制图、力学),进行简单机械(压力表机芯)结构设计和计算的基本训练,使学生初步掌握机械设计方法和初步树立正确的设计思想。
3.熟悉有关的参考资料、手册、标准规范。
1.2 设计任务
设计产品对象为机械式弹簧管压力表,压力表是以弹性元件为敏感元件,测量并指示高于环境压力的仪表。在工业过程控制与技术测量过程中,由于机械式压力表的弹性敏感元件具有很高的机械强度以及生产方便等特性,使得机械式压力表得到越来越广泛的应用。
压力表特点是体积小、结构简单、牢固可靠、维护方便、价格低、测量范围宽、稳定性
好等,可应用于一些恶劣环境,如高低温、振动、腐蚀、黏稠好易爆等场合。但弹性元件频
率响应低,不宜动态测量;弹性元件存在固有迟滞,故测量精度较低 。
机械式弹簧管压力表以弹簧管为敏感元件,在介质压力下产生弹性变形,通过传动机构
放大,指示出介质压力的数值。

图1.1 机械式压力表
-
- 技术指标
机械式弹簧管压力表的技术要求为:
| 测量范围 |
0-0.16 Mpa |
| 外径 |
< 150mm |
| 高度 |
<50 mm |
| 接头尺寸 |
M20×1.5 |
| 标度角 |
270° |
| 分度值 |
0.002 Mpa |
| 分度数 |
80 |
| 精度 |
1.5 级 |
- 压力表概述
2.1 机械式压力表的组成部分
弹簧管压力表是一种测量气体压力的仪器,其组成部分包括:
1. 灵敏部分(弹簧管)
2. 传动放大部分(曲柄滑块,齿轮齿条)
3. 示数部分(指针,刻度盘)
4. 辅助部分(支承,轴,游丝)

图2.1 机械式压力表组成
2.2 工作原理
机械式弹簧管压力表以弹性元件弹簧管为敏感元件,在介质压力作用下产生弹性变形;压力表的传动机构为二级传动,曲柄滑块机构将弹簧管变形产生的位移量转换成曲柄转动的角度量,再通过齿轮传动机构放大,带动指针转动,在仪表盘上指示出压力数值。

图2.2 测量允许误差——满幅误差、非线性误差
弹簧管的变形量表现为其封闭端的直线位移,且该直线位移与介质压力成线性关系。理论上讲,传动机构应为线性机构,保证等分刻度标尺的线性要求。但普通弹簧管压力表中,弹簧管本身的工艺问题(如材料、加工等)会造成一些线性误差,弹簧管形状的不直、不均匀等也会导致非线性误差,造成满幅测量值或某一段测量值超差,如图2.2所示。故要求传动机构:( 1)具有调整环节可以改变传动比; (2)具有非线性补偿功能,以校正敏感元件特性的非线性误差。因此,在传动机构中增加了一级曲柄滑块机构作为调整环节,以满足仪表测量精度的要求。

图2.3 压力表工作原理框图
曲柄滑块机构可以补偿弹簧管的线性及非线性误差。从0~0.16Mpa调整满足满刻度精度为线性误差调整,中间部分不均匀调整为非线性误差调整。
- 压力表设计
3.1 弹簧管参数设计
弹簧管又被称为波登管,是一个弯成圆弧形的空心管,图 2-1 所示为常见的 C 形弹簧管。它的横截面形状通常为椭圆型或扁圆形,但也有 D 形、8 字形等其他的非圆截面形状,管子截面的布置是使截面短轴位于管子的对称平面内。
使用弹簧管作为传感元件的压力表中,弹簧管一端开放,一端封闭。其开口端,焊在带孔的接头中并固定在仪表基座上;封闭端自由,其上有一个耳圈用来与传动机构相连。如图3.1所示。
制造弹簧管的主要材料有:测量的压力不大且对迟滞要求不高的,可采用黄铜、锡青铜;测量压力较高的可采用合金弹簧钢;若要求强度高、迟滞小而特性稳定的,可用铍青铜和恒弹性合金;在高温和腐蚀性介质中工作的弹簧管,可用镍铬不锈钢制造。

图3.1 压力弹簧管
3.1.1 弹簧管基本特性
弹簧管在介质内压力的作用下,任意非圆截面的弹簧管的截面将力图变为圆形。材料产生弹性恢复力矩,迫使截面产生旋转角,使管子中心角减小,曲率半径增大。若管子一端固定,自由端便产生位移,直至弹性平衡为止。如图3.2所示。

图3.2 弹簧管工作原理
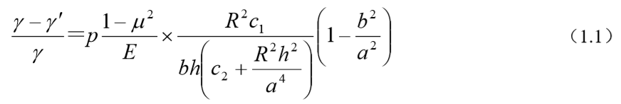
弹簧管的管壁厚度与管横截面短半轴之比 h/b≤0.7 时,称为薄壁弹簧管。薄壁弹簧管中心角的变 化与作用压力之间的关系,可用下式表示:

式中, γ
和γ'
-弹簧管变形前和变形后的中心角;
R- 弹簧管初始曲率半径;
a, b- 横截面长轴半径和短轴半径;
c1、c2-与 a/b 有关的系数,由表3.1查取;
h - 管壁厚度;
E、μ
- 材料的弹性模量和泊松比;
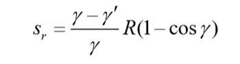
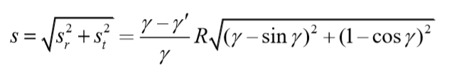
弹簧管中心角改变后,其自由端相应地产生位移 s,位移方向与过弹簧管自由端所作切线成一角度δ
,将位移 s 分解为切向分量 st和法向分量 sr,根据几何关系可求得:


因此,自由端位移 s 为:

位移 s 的方向与弹簧管端的切线方向的夹角为:


表3.1 系数值表
3.1.2 参数设计
弹簧管原材料一般为圆管材,根据需要压制出所需截面形状(加工前后中径周长不变),设计中选用扁圆形截面。选用尺寸参数如下:
毛坯外径 ∅
=15mm
壁 厚 h=0.3mm
中 径 R=50mm
结构中心角 γ''
=245°~ 265°(参考)
材 料 锡磷青铜 Qsn4-0.3, E=1.127×
105Mpa, 泊松比 μ
=0.3
γ
为弹簧管实际参加弹性变形部分的中心角,γ''
为结构中心角,其与γ
相差一个弹簧 管末端及根部连接部分所占的中心角,焊接长度一般为 3~5mm。(一般接口入口10-15°,自由端 4-6°)。
弹簧管的位移与压力之间的关系是线性的。但当压力超过弹簧管的比例极限时,线性关系就会破坏。因此,为使仪表正常工作,减小弹性滞后和后效,工作压力 pg应小于弹簧管的比例极限 pj。比例极限与工作压力之比 pg/pj= n 称为弹簧管的 安全系数。一般 n=1.5~2.5,常取 n=2。比例极限 pj可通过实验/查手册/原材料供应商获得。
由弹簧管的特性公式可知,a/b 增大,灵敏度提高。但是,随着 a/b 的增大,弹簧管的比例极限减小,因此 a/b 不可能过大,一般可取 a/b=4~6。但对于厚壁管,a/b可取的大些。已知圆管材规格尺寸,基于圆形毛坯压扁后中性层尺寸不变即可计算a和b。
令
,当Δ
增大时,弹簧管的位移s增大。Δ
随着γ
的增大而增大,但其增大的程度是不均匀的。常取γ
=200°~270°。
经过上述分析,最终设计参数为:
- 弹簧管截面与轴比a/b=4
- 查表得C1=0.437 C2=0.121
- 根据弹簧管外径不变14.7π=4a-4b+2πb
,可得a=10.10,b=2.52 - 选取γ''
=250°,则γ=γ''
-10°-5°=235° - 有P=0.16Mpa,R=50mm,h=0.3mm,μ
=0.3,E=1.127×
105Mpa,经计算得:
γ-γ'γ
=0.0123
Sr=0.97mm St=3.03 mm S=3.18 mm
δ
=17.83°
3.2 曲柄滑块机构设计
3.2.1 曲柄滑块机构传动特性
在仪器仪表中常利用曲柄滑块机构,把滑块的直线位移 s 转换为曲柄的角位移 φ
。滑块位移s与曲柄角位移φ
之间的关系 s=f(φ
) 称为曲柄滑块机构的传动特性,曲柄滑块机构具有非线性的传动特性。
曲柄滑块机构的示意图如图3.3所示。弹簧管封闭端为主动滑块,在介质压力作用下产生直线位移s,带动连杆,驱动曲柄转动。图中,φ
g为曲柄的转动范围角:φ
g= φ
z -φ
0, φ
0为曲柄的初始位置角,φ
z为曲柄的终止角。

图3.3 压力表中的曲柄滑块机构
当以滑块为主动件时,曲柄滑块机构的传动比为:

为简化问题,常以无因次的相对量来表示机构的传动特性。取各尺寸参数对曲柄长度之比为相对量,有:滑块相对位移 χ
=s/a、 连杆相对长度 λ
=b/a、 相对偏距 ε
=e/a. 则,曲柄滑块机构的相对传动比:

由上式可知,相对传动比与机构的相对参数有关,而与机构的绝对尺寸无关。当机构的 相对参数关系一定时,均为曲柄转角 φ
的函数。
3.2.2 参数设计
初步选定λ=4
,ε=1
,其与ia的关系曲线如下:

图3.4 近似线性曲柄滑块机构设计
虽然曲柄滑块机构的传动特性为非线性,但考虑所设计的仪表有较好的线性,同时还有较好的补偿特性。故适宜选择其传动比的工作区间在极值点附近,以极值点对称分布找出曲柄的初始角φ0
和终止角 φ
z。从而保证 ia 变化较小,减小工作过程中的非线性度。
φ
g的选定,应使介质压力 0.16Mpa、弹簧管末端位移 smax时,指针恰好转动标度角 270°,即φ
g =270°/i2,其中, i2为二级传动机构-齿轮传动机构的传动比。因此,在选择 φ
g时应考虑到仪表线性度的要求( φ
g增大,线性度偏差),又应照顾到齿轮传动系数的适当。选定齿轮传动比 i2后,可确定曲柄的转动范围φ
g,然后由图 3.4获得或计算出极点位置,并确定曲柄初始角 φ
0和终止位置角 φ
z。
选择齿轮传动比i2=15
φg=270°i2=18°
对于λ=4
,ε=1
的曲线有φZ=
9°,φ0
=-9°
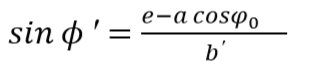
曲柄长度a:

连杆长度和偏距:

连杆初始位置与滑块运动方向夹角:

计算得:
- a=10.04
- b’=40.16
- e=10.04
- ∅'
=0.17°
3.3 齿轮传动机构设计
3.3.1 齿轮传动参数设计
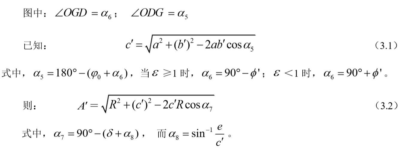
当曲柄滑块机构的尺寸参数全部确定时,齿轮传动的理论中心距 A’也相应而定。但是,由于齿轮的模数和齿轮的齿数只能是间断数,很难使齿轮传动的中心距恰好与理论中心距相 等,所以,需按实际的齿轮传动的标准中心距 A反求出满足仪表结构位置要求的连杆长度b 。
- 齿轮理论中心距 A’
为了使实际的齿轮传动中心距 A尽量接近于理论中心距 A’,以减小连杆长度的修正量, 需要根据曲柄滑块机构在仪表机心中的位置,求出理论中心距 A’,如图3.5所示。

图3.5 齿轮传动理论中心距计算图

计算得:
- α6=90°-ϕ'=89.83°

- α5=180°-(α6+ϕ0)
=81.17° - c'=
39.86mm - α8=arcsinec'=
158° - α7=
57.675° - A'=
44.24mm
2. 齿轮传动标准中心距 A

基于结构空间的限制,在保证功能实现的前提下,大齿轮只截取部分工作区间设计制成齿轮,即为扇形齿轮。一级传动机构和二级传动机构通过曲柄和扇形齿轮联系起来,扇形齿轮的回转中心即是曲柄的回转中心,故扇形齿轮的工作转角即为曲柄的工作转角,并适当增大即可。

图3.6 扇形齿轮齿形角

式中,25%为过载量,即指针实际可转角度比工作转角大一些;第二项,是在工作初始及满量程结束时,两边各增加2个齿的防脱角,防止齿轮啮合脱落。
计算得:

- i12=15,z2=z1×i12

- 经验证,当m=0.25,z1=
22时,中心距A最接近理论值A’,A=44mm - δ扇=
26.9°
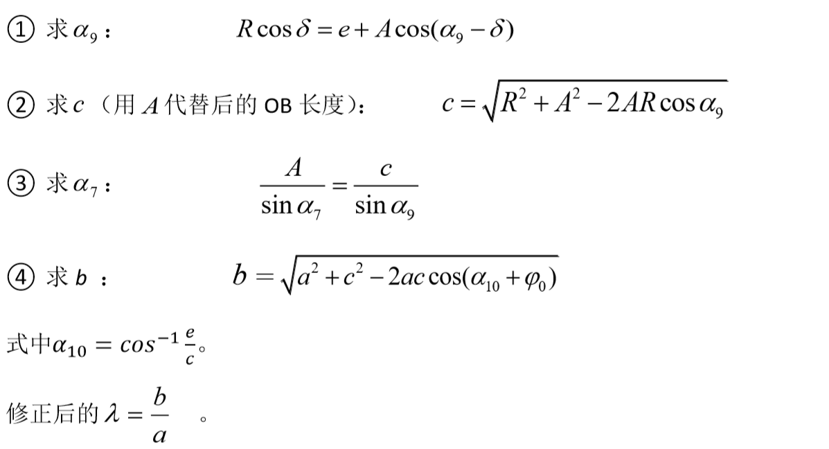
3.3.2 连杆长度b设计
当采用标准中心距 A代替齿轮传动理想中心距 A’时,连杆长度 b 需要重新计算,计算b 时,机构的ε
、 φ
0 和 φ
z均不改变,只是改变了曲柄轴的回转中心,因此尺寸 c’和相应的α
9和α
7发生变化,计算步骤如下:

计算得:
- α9=
44.095° - c=
39.43mm - α7=
57.46° - b=
39.74mm - α10=
752° - 修正后λ=
3.96
3.4 压力表原理误差计算
压力表的设计方案中,要求各个测量环节的转换关系应为线性,因此,采用曲柄滑块机构,使仪表在设计的原理上就有了误差。
假设弹簧管末端位移量为s 时,曲柄转角自φ
0 转动到φ
z ,则对应每一度曲柄角的理想位移量:

对应曲柄的实际位移为:

| 序号 |
计算点φn |
理想值sn |
实际值sn’ |
原理误差绝对值 |
原理误差相对值 |
| 1 |
-9 |
0.0000 |
0.0000 |
0.0000 |
0 |
| 2 |
-7 |
0.3489 |
0.3468 |
0.0020 |
0.5861% |
| 3 |
-5 |
0.6978 |
0.6952 |
0.0025 |
0.3626% |
| 4 |
-3 |
1.0467 |
1.0448 |
0.0019 |
0.1828% |
| 5 |
-1 |
1.3956 |
1.3949 |
0.0006 |
0.0461% |
| 6 |
1 |
1.7444 |
1.7453 |
0.0008 |
0.0483% |
| 7 |
3 |
2.0933 |
2.0954 |
0.0021 |
0.1011% |
| 8 |
5 |
2.4422 |
2.4450 |
0.0028 |
0.1132% |
| 9 |
7 |
2.7911 |
2.7935 |
0.0024 |
0.0853% |
| 10 |
9 |
3.1400 |
3.1406 |
0.0006 |
0.0184% |
经验证,设计参数的原理误差在允许范围内。
3.5 游丝参数计算
选定参数:
- 工作角度: 最小工作转角φmin=π2
,最大工作转角φmax=2π
- 工作圈数:n=9

- 宽厚比:u=6

- 外径:D1=35mm
,内径:D2=6mm
- 游丝材料:锡青铜 QSn4-3: E=1.2×
105Mpa、 强度极限σb
=600Mpa
安全系数:S=3,σb=σbS=200
Mpa
参数计算:
压力表垂直放置时,轴水平,将轴及轴上零件总重量都集中在一端轴颈上计算,式中,当量摩擦系数按未经研配计算:


压力表水平放置时,轴处于直立姿态:

扇形齿轮的计算方法与上述相同。
经计算:
立放:Mfz1=1.73×10-5N⋅m![]()
平放:Mfz1=1.17×10-5N⋅m![]()
立放:Mfz2=1.63×10-5N⋅m![]()
平放:Mfz2=1.02×10-5N⋅m![]()
取其最大值,代入下式计算:

Mfz=28.89×10-5N⋅m![]()
由下式得:

Mmin=96.3×10-5N⋅m![]()
根据以上选定的参数,可按下列式子初步计算游丝的几何尺寸。

计算得:
- L=579.6mm

- h=0.27mm

- b=1.62mm

- σb=195.7Mpa<σb=200Mpa

满足设计要求,最后利用圆整后的 b、h 确定 L、n、a-圈间距。

式中,K为游丝加工生产时同时盘绕的游丝个数,需取整。在K取整后,实际加工后游丝的a 、D1 、D2略有改变,L不变,所以游丝特性并无改变,a 、D1 D2也不必再根据取整后的K重新计算。
计算得:
- L=579.6mm

- n=9

- a=1.6

- K≈4

- 标准化统计
4.1 零件列表
| 零件名称 |
数目 |
| 底盘 |
1 |
| 盖环 |
1 |
| 防滑环 |
1 |
| 玻璃片 |
1 |
| 表盘 |
1 |
| 弹簧管 |
1 |
| 底座支架 |
1 |
| 上压板 |
1 |
| 下压板 |
1 |
| 扇形齿轮 |
1 |
| 指针 |
1 |
| 防爆垫圈 |
1 |
| 连杆 |
1 |
| 中心齿轮轴 |
1 |
| 弹簧管末端链接 |
1 |
| 螺柱 |
3 |
| 垫片 |
2 |
| 圆柱销 |
1 |
| 防撞针 |
1 |
| 游丝 |
1 |
| 螺丝 |
9 |
| 螺母 |
1 |
4.2 标准件统计
| 零件名称 |
数量 |
材料 |
国标代号 |
| 开槽盘头螺钉M3 |
6 |
H62 |
GB/T67-2000 |
| 开槽沉头螺钉M6 |
3 |
H62 |
GB/T68-2000 |
| 垫圈1 |
6 |
H62 |
GB/T97.1-2002 |
| 垫圈2 |
1 |
H62 |
GB/T97.1-2002 |
| 圆锥销1×6 |
1 |
HPb59-1 |
GB/T97.1-2002 |
| 六角螺母 |
1 |
H62 |
GB/T41-2000 |
附录 参考资料



=81.17°
158°
,最大工作转角φmax=2π
版权声明:本文内容由互联网用户自发贡献,该文观点仅代表作者本人。本站仅提供信息存储空间服务,不拥有所有权,不承担相关法律责任。如发现本站有涉嫌侵权/违法违规的内容,请联系我们,一经查实,本站将立刻删除。
如需转载请保留出处:https://51itzy.com/kjqy/68215.html