法国力学家西莫恩·德尼·泊松( Simeon Denis Poisson,1781-1840)于1829年发表《弹性体平衡和运动研究报告》,提出泊松比(Poisson's ratio)概念。泊松比是指材料在单向受拉或受压时,横向正应变与轴向正应变的比值,也叫横向变形系数,它是反映材料横向变形的弹性常数。
材料沿载荷方向产生伸长(或缩短)变形的同时,在垂直于载荷的方向会产生缩短(或伸长)变形。

垂直方向上的应变εy与载荷方向上的应变εx之比的负值称为材料的泊松比。以μ表示泊松比,则μ=-εy/εx。在材料弹性变形阶段内,μ是一个常数。理论上,各向同性材料的三个弹性常数E、G、μ中,只有两个是独立的,因为它们之间存在如下关系:
G=E/[2(1+μ)]
材料常数G是剪切模量(modulus of rigidity),是剪切应力与应变的比值,又称切变模量或刚性模量,材料的力学性能指标之一。是材料在剪切应力作用下,在弹性变形比例极限范围内,切应力与切应变的比值。它表征材料抵抗切应变的能力。剪切模量越大,则表示材料的刚性越强。剪切模量的倒数称为剪切柔量,是单位剪切力作用下发生切应变的量度,可表示材料剪切变形的难易程度。
泊松比试验测定方法:
01.机械法
包括引伸计法和电阻应变法。
测试原理:对试样施加轴向力,在其弹性范围内测定相应的轴向变形和横向变形,然后计算其泊松比。试验时通过横向和纵向引伸计自动记录方法绘制横向—纵向应变曲线,得到材料的泊材料的泊松比。

02. 声学方法
声学测试泊松比的方法通常是根据弹性波理论,通过测定纵横波速来推算材料的泊松比。
以超声脉冲回波法为例,采用超声波脉冲回波法通过测量弹性波在固体样品中得传播速度来获取材料的弹性参数。弹性波在各向同性的弹性介质中传播时,根据弹性波的在固体中的传播理论,不同模式的声波在固体中得传播速度与材料的相应的弹性模量和密度相关。该方法先根据性波的在固体中的传播理论公式测得玻璃的杨氏模量和剪切模量,然后通过公式计算得到泊松比。
除了超声波脉冲回波法以外,用于泊松比测试的声学方法还包括布里渊散射(SBS)、表面声波(AM)、声学显微(AM)等,由于非金属材料,通常其声阻和内阻尼都较大的,要测得准确的声速和振动测试都还比较困难,目前这几种方法都还处于研究阶段,主要用于金属材料的泊松比测试。
03. 光学方法
用于材料泊松比测试的光学方法以弹性力学中板或梁的纯弯曲理论为基础,从干涉图样中推算泊松比,现在最主要的测试方法有光干涉测量法、光导热塑全息照相法、数字散斑内相关法(DSCM)等。光学方法是非接触式的测量方法,理论上来讲其测量精度优于传统的机械法,但要求照相、摄像器材及振动台具,且对光电测试法的分辨率要求较高,虽然这些方法国内外都已做出大量研究,但并没有形成统一的测试标准,实验所能达到的测量误差亦很难评估。
常用材料泊松比
常用材料的泊松比如下所示(仅供参考)
为什么泊松比不大于0.5?
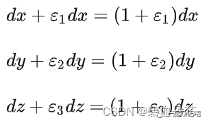
如下图所示的微元体,变形前长宽高分别为dx、dy、dz,体积为V=dxdydz。

受力变形后,三个边的长度分别变成:


由上式得到变形后的体积V1:

略去高阶量后简化为:

微元体受力后的体积变化,又称为单位体积的体积改变量,或体应变,用θ表示:

由广义胡克定律,在考虑泊松效应时,xyz三个方向都受力的情况下,ε1、ε2、ε3的计算公式如下:

代入到体积变化计算式中有:
K为体积模量,σm为静水压力。


当材料为完全不可压缩时,体积应变θ=0,即:
σm/K=σm (1/k) =σm [3(1-2μ)/E]=0
此时μ=0.5。
泊松比最小值为-1
由杨氏模量、剪切模量和泊松比之间的关系式:
G=E/[2(1+μ)]
因杨氏模量和剪切模量均为正值,可推导泊松比最小值为-1。
负泊松比是指受拉伸时, 材料在弹性范围内横向发生膨胀;而受压缩时, 材料的横向反而发生收缩。这种现象在热力学上是可能的,但通常材料中并没有普遍观察到负泊松比效应的存在。近年来发现的一些特殊结构的材料具有负泊松比效应,由于其奇特的性能而倍受材料科学家和物理学家们的重视。
负泊松比材料可以分为多孔状负泊松比材料(包括泡沫(Foam)材料和蜂巢状(Honeycomb)结构材料)、负泊松比复合材料及分子负泊松比材料等。
负泊松比材料由于具有不同于普通材料的独特性质,在很多方面具备了其他材料所不能比拟的优势,尤其是材料的物理机械性能有了很大的提高,如提高了材料的剪切模量、材料的抗缺口性能、抗断裂性能以及材料的回弹韧性。
另外,由于材料的泊松比影响到应力波的传输和反射,应力的消除和在裂纹附近的应力分布,所以负泊松比材料适合制造紧固件或安全带,在受外力时材料的横向膨胀可以抵消外力的作用,从而提高这些部件的抗负荷能力。

版权声明:本文内容由互联网用户自发贡献,该文观点仅代表作者本人。本站仅提供信息存储空间服务,不拥有所有权,不承担相关法律责任。如发现本站有涉嫌侵权/违法违规的内容,请联系我们,一经查实,本站将立刻删除。
如需转载请保留出处:https://51itzy.com/kjqy/46894.html