第一章 计算机系统知识
作者:张子默
一、计算机系统基础知识
1、计算机的组成
计算机硬件由五大部件构成:控制器、运算器、存储器、输入设备和输出设备。

讯享网
1)运算器
运算器也称算术逻辑单元(ALU),对数据进行算术运算和逻辑运算。
- 加法器(累加器):专门存放算术或逻辑运算的操作数和运算结果的寄存器。
- 程序状态寄存器:PSW用来存放两类信息:一类是体现当前指令执行结果的各种状态信息,如有无进位(CY)位,有无溢出(OV位),结果正负位(SF位),结果是否为零(ZF位),奇偶标志位(P位)等;另一类是存放控制信息,如允许中断(IF位),跟踪标志(TF位)等。
2)控制器
控制器是分析和执行指令的部件。
- 指令寄存器:保存当前正在执行的指令。
- 指令译码器:分析当前指令的操作码是进行什么操作的。
- 程序计数器:存放下一条指令的地址。
- 定时与控制电路
- 堆栈和堆栈指针
2、数据的表示和校验
1)数的进制
- 十进制:逢十进一,1~9,,如(123)D或(123)10。
- 二进制:逢二进一,0、1,如(1001)B或(1001)2。
- 八进制:逢八进一,0~7,如(301)O
- 十六进制:逢十六进一,09、AF,如(13E)H或(13E)16
2)进制转换
- 十进制转二进制:把被转换的十进制整数反复地除以2,直到商为0,所得的余数(从末位读起)就是这个数的二进制表示,简称“除2取余法”。例如:(221)10=()2。
- 二进制转十进制:二进制数按权展开求和。
3)原码、反码、补码、移码
- 带符号数的表示
通常的做法是约定一个数的最高位为符号位,若该位为0,则表示正数;若该位为1,则表示负数。
- 原码
用最高位表示符号位,数值部分用二进制绝对值表示,这就是原码的表示方法。
例如:+11的原码:00001011 -11的原码是:
- 反码
原码变反码的规则:正数的反码和其原码的形式相同,负数的反码是除符号位,其他各位逐位取反(即0变1,1变0)。
例如:+11的反码:00001011 -11的反码:
- 补码
补码规则为:正数的补码和其原码形式相同,负数的补码是原码除符号位以外逐位取反(即0变1,1变0),最后在末尾加1。
例如:+11的补码:00001011 -11的补码:
将补码转换为真值:[[X]补]补=[X]原
- 移码
无论正数、负数,在补码的基础上对符号位取反,一般用做浮点数的阶码,引入的目的是为了保证浮点数的机器零全为0。
例如:+11的移码: -11的补码:0
4)定点数和浮点数
计算机中,通常是用定点数来表示整数和纯小数,分别称为定点整数和定点小数。对于既有整数部分、又有小数部分的数,一般用浮点数表示。
- 定点数
- 定点整数:小数点的位置固定在最低位的右边,不占位。
- 定点小数:小数点的位置固定在符号位与最高数值位之间,表示一个纯小数。
- 浮点数
用类似科学计数法来表达,即
N=M*Re
M称为尾数,R称为基数,e为阶码(指数)。
比如1001.101的规范浮点数表达为1.001101x23
浮点数利用指数达到了浮动小数点的效果,从而灵活地表达更大范围的实数。
3、校验码概述
编码体系指一种编码方式中所有合法码字的集合。
合法码字占所有码字的比率就是编码效率。
- 一个编码系统中任意两个合法的编码之间的不同的二进制位的数目叫这两个码字的码距。
- 该编码系统的任意两个编码之间的距离的最小值称为该编码系统的码距。
- 码距是衡量一种编码方式的抗错误能力的一个指标。
数字信息在传输和存取的过程中,由于各种意外情况的发生,数据可能会发生错误,即所谓误码。
4、奇偶校验
奇偶校验较简单,串口通信中使用奇偶校验作为数据校验的方法。
- 奇校验:被传输的有效数据中“1”的个数是奇数个,校验位填“0”,否则填“1”;
- 偶校验:被传输的有效数据中“1”的个数是偶数个,校验位填“1”,否则填“0”。
例:奇校验 (0)
偶校验 (1)
5、海明码
海明码是奇偶校验的一种扩充。和奇偶校验的不同之处在于海明码采用多位校验码的方式,在这些多个校验位中的每一位都对不同的信息数据位进行奇偶校验,通过合理地安排每个校验位对原始数据进行的校验的位组合,可以达到发现错误、纠正错误的目的(当出现两位错误时,海明码能够查错,但无法纠错)。
还需要记住以下几个关键关系:
- 可以查出多少位错误:可以发现“≤码距-1”位的错误。
- 可以纠正多少位错误:可以纠正“<码距/2”位的错误,因此如果要能够纠正n位错误,所需最小的码距应该是“2n+1”。
1)海明码的原理
在数据中间加入几个校验码,码距均匀拉大,当某一位出错,会引起几个校验位的值发生变化。
2)海明不等式
校验码个数为k,可以表示2k个信息,一个信息用来表示“没有错误”,其余2k-1个表示数据中心存在错误,如果满足2k-1≥m+k(m+k为编码后的数编总长度),则在理论上k个校验码就可以判断是哪一位(包括信息码和校验码)出现了问题。
3)海明码的编码规则
校验位一次放在第2i(i=0,1,2,3…)位,其余位置为信息位。

4个信息位k0,k1,k2,k3;三个校验位r0,r1,r2。
第i个信息位的位数为参与校验它的校验位的位数之和。如上例:7=4+2+1;6=4+2;5=4+1;3=2+1。
从上式可得,k3要参与r2,r1和r0的生成,k2参与r2和r1的生成,k1参与r2和r0的生成,k0参与r1和r0的生成。
则产生下列句子

其中+代表异或

若三个校验方程都成立,即方程式右边都等于0,则说明没有出现错误。若不成立,即方程式右边不等于0,则说明有错。
从三个方程式右边的值,可以判断哪一位出错。出错位置为从下向上看相应的二进制数值,若三个方程式右边的值为100,则说明第四位出错。
例:求信息1011的海明码。

6、循环冗余校验码
广泛地在网络通信及磁盘存储时采用。
1)多项式
在循环冗余校验(CRC)码中,无一例外地要提到多项式的概念。一个二进制数可以以一个多项式来表示。如1011表示为多项式X3+X1+X0,如果把这里的x替换为2,这个多项式的值就是该数的值。从这个转换可以看出多项式最高幂次为n,则转换为二进制数有n+1位。
2)编码组成
编码的组成是由K位信息码,加上R位校验码。
3)校验码的生成
校验码的生成步骤如下:
- 将K位数据C(x)左移R位,给校验位留下空间,得到移位后的多项式为C(x) x XR。
- 将这移位后的信息多项式除以生成多项式,得到R位的余数多项式。
- 将余数作为校验码嵌入信息位左移后的空间。

循环冗余校验码的纠错能力取决于K值和R值。在实践中,K值往往取得非常大,远远大于R的值,提高了编码效率。在这种情况下,循环冗余校验就只能检错不能纠错。
一般来说,R位生成多项式可检测出所有双错、奇数位错和突发错位小于或等于R的突发错误。
二、计算机体系结构
1、指令系统
指令计算机所能执行的全部指令的集合,它描述了计算机内全部的控制信息和“逻辑判断”能力。
一条指令包括:
- 操作码
- 地址码
根据地址码代表的地址类型,指令系统可以分为:
- 立即寻址
- 直接寻址
- 间接寻址
- 寄存器寻址
- 寄存器间接寻址
2、RISC和CISC
- 为提高操作系统的效率,人们最初选择向指令系统中添加更多、更复杂的指令来实现,导致指令集越来越大。这种类型的计算机称为复杂指令计算机(CISC)。
- 对指令数目和寻址方式做精简,指令的指令周期相同,采用流水线技术,指令并行执行程度更好,这类是精简指令集计算机(RISC)。
复杂指令系统计算机(CISC)的主要特点
- 指令数量多:指令系统拥有大量的指令,有100-250条。
- 指令使用频率相差悬殊:最常使用的是一些比较简单的指令,80%的时候使用的是20%的指令。
- 变长的指令:指令长度不是固定的,变长的指令增加指令译码电路的复杂性。
- 指令可以对存储器单元中数据直接进行处理:典型的CISC处理器通常都有指令能够直接对内存单元中的数据进行处理,其执行速度较慢。
精简指令系统计算机(RISC)的主要特点
- 指令数量少:优先选取使用频率较高的一些简单指令以及一些常用指令,避免使用复杂指令。
- 指令的寻址方式少:通常只支持寄存器寻址方式、立即寻址方式以及相对寻址方式。
- 指令长度固定,指令格式种类少:因为RISC指令数量少,格式相对简单,其指令长度固定,指令之间各字段的划分比较一致,译码相对容易。
- 只提供了Load/Store指令访问存储器:只提供了从存储器读数Load和把数据写入存储器Store两条命令,其余所有的操作都在CPU的寄存器进行。
- 以硬布线逻辑控制为主:为了提高操作的执行速度,通常采用硬布线逻辑来构建控制器。
- 单周期指令执行:因为简化了指令系统,很容易利用流水线技术使得大部分指令在一个机器周期内完成。
- 优化的编译器:RISC精简指令集使编译工作简化。

3、流水线技术
流水线技术是指在程序执行时,多条指令重叠进行操作的一种任务分解技术。把一个任务分解为若干顺序执行的子任务,不同的子任务由不同的执行机构来负责执行,而这些执行机构可以同时并行工作。

1)计算执行时间
假定有某种类型的任务,可以分成N个子任务,每个子任务需要时间t,则完成该任务需要的时间为Nxt。
- 若以传统的方式,完成k个任务所需的时间是kNt。
- 使用流水线技术,花费的时间是Nt+(k-1)t。
注意:如果每个子任务所需的时间不同,其时间取决于执行顺序中最慢的那一个。

2)流水线的吞吐率
指在单位时间内流水线所完成的任务数量或输出的结果数量。

n为任务数,Tk是处理完成n个任务所用的时间。
例1的吞吐率为 1009/203=4.93x108/s
3)加速比
加速比是指不采用流水线的执行时间/采用流水线的执行时间。
用来衡量并行系统或程序并行化的性能和结果。
例1中的加速比 500/203=2.64(如果不采用流水线,则执行100条指令需要500ns)。

4)影响流水线的主要因素
- 转移指令:因为前面的转移指令还没有完成,流水线无法确定下一条指令的地址,因此也就无法向流水线中添加这条指令。
- 共享资源访问的冲突:后一条指令需要使用的数据与前一条指令发生冲突,或者相邻的指令使用了相同的寄存器。
- 相应中断:当有中断请求时,流水线也会停止。对于这种情况有两种响应方式:
- 精确断点法:立即停止,这种方法能够立即响应中断;
- 不精确断点法:流水线中的指令继续执行,不再新增指令到流水线。
4、存储设备
存储器是计算机中的记忆设备,用来存放程序和数据。
计算机中全部信息,包括输入的原始数据、计算机程序、中间运行结果和最终运行结果都保存在存储器中。
存储器分为:
- 寄存器
- Cache(高速缓冲存储器)
- 主存储器
- 辅存储器
1)存储器的读取方式


2)存储器的性能
- 存取时间:对于随机存取而言就是完成一次读/写所花的时间;对非随机存取就是将读/写装置移动到目的位置所花的时间。
- 存储器带宽:每秒能访问的位数。通常存储器周期是纳秒级(ns)。计算公式是:1/存储器周期x每周期可访问的字节数。
例如:存储器周期是200ns,每个周期可访问4B,则带宽=1s/200nsx(4Bx8)=160Mbps。
- 数据传输率:每秒输入/输出的数据位数。
对于随机存储而言,传输率R=1/存储器周期。

3)主存储器
- 主存储器的种类
- RAM:随机存储器,可读/写,只能暂存数据,断电后数据丢失。
- SRAM:静态随机存储器,在不断电时信息能够一直保持,读写速度快,生产成本高,多用于容量较小的高速缓冲存储器。
- DRAM:动态随机存储器,需要定时刷新以维持信息不丢失,读写速度较慢,集成度高,生产成本低,多用于容量较大主存储器。
- ROM:只读存储器,出厂前用掩膜技术写入,常用于存放BIOS和微控制程序。
- PROM:可编程ROM,只能够写入一次,需用特殊的电子设备进行写入。
- EPROM:可擦除的PROM,用某种方法可擦去信息,可写入多次。
- E2PROM:电可擦除EPROM,可以写入但速度慢。
- 闪速存储器(Flash Memory):其特性介于EPROM与E2PROM之间。但不能进行字节级别的删除操作。
- CAM(相联存储器):CAM是一种特殊的存储器,是一种基于数据内容进行访问存储设备。其速度比基于地址进行读写的方式要快。
- RAM:随机存储器,可读/写,只能暂存数据,断电后数据丢失。
4)辅助存储器
- 磁带
磁带是一种顺序存取设备。
特点:存储容量大,价格便宜。适合数据的备份存储。
- 磁盘
5)RAID(独立磁盘冗余阵列)
把多个相对便宜的磁盘组合起来,成为一个磁盘组,配合数据分散排列的设计,提升数据的安全性和整个磁盘系统效能。
- 利用多次盘来提高数据传输率;
- 通过数据冗余与校验实现可靠性。
RAID应用的主要技术:分块技术、交叉技术和重聚技术。
1.RAID 0级
RAID 0原理是把连续的数据分散到多个磁盘上读取,数据请求被多个磁盘并行执行,每个磁盘执行属于自己的那部分数据请求。这种数据上的并行操作充分利用总线的带宽,显著提高磁盘整体存取性能。

- 优点:具有最高的I/O性能和最高的磁盘空间利用率,易管理。
- 缺点:不提供数据冗余,一旦数据损坏,损坏的数据将无法得到恢复。
RAID 0特别适用于对性能要求较高,对数据安全要求低的领域,如图形工作站等。对于个人用户,也是提高硬盘存储性能的绝佳选择。
2.RAID 1级(磁盘镜像阵列)
由磁盘对组成,每个工作盘都有其对应的镜像盘,上面保存着与工作盘完全相同的数据拷贝,具有最高的安全性,但磁盘空间利用率只有50%。RAID 1主要用于存放系统软件、数据及其他重要文件。

3.RAID 2级(采用纠错海明码的磁盘阵列)
RAID 2采用海明码纠错技术,用户增加校验盘来提供纠错和验错功能,磁盘驱动器组中的第1个、第二个、第四个…第2n个磁盘驱动器是专门的校验盘,用于校验和纠错,其余的用于存放数据。RAID 2最少要三台磁盘驱动器方能运作。

4.RAID 3级(采用带奇偶校验码的并行传送)
RAID 3把数据分成多个“块”,按照奇偶校验算法存放在N+1个硬盘上,实际数据占用的有效空间为N个硬盘的空间总和,第N+1个硬盘上存储的数据是校验容错信息。

当N+1个硬盘中的一个硬盘出现故障时,从其他N个硬盘中可以恢复原始数据。所以RAID 3,安全性可以得到保障。
RAID 3比较适合大文件类型且安全性要求较高的应用,如视频编辑、硬盘播放机和大型数据库等。
5.RAID 4级(带奇偶校验码的独立磁盘结构)
RAID 4和RAID 3很像,不同的是,它对数据访问是按数据块进行的(一个数据块是一个完整的数据集合,比如一个文件就是一个典型的数据块。一个数据块存储在一个磁盘上),也就是按磁盘进行的,,每次是一个盘。RAID 4使用一块磁盘作为奇偶校验盘,每次写操作都需要访问奇偶盘,这时奇偶校验盘成为写操作的瓶颈。

6.RAID 5级(无独立校验盘的奇偶校验码磁盘阵列)
RAID 5 把数据和奇偶校验信息存储到组成RAID 5的各个磁盘上,并且奇偶校验信息和相对应的数据分别存储于不同的磁盘上。
当RAID 5的一个磁盘数据损坏后,利用剩下的数据和相应的奇偶校验信息去恢复被破损的数据。
RAID 5磁盘空间利用率较高:(N-1)/N。

RAID 4和RAID 5使用了独立存取技术,阵列中每一个磁盘都相互独立地操作,所以I/O请求可以并行处理。该技术非常适合于I/O请求率高的应用,不太适合用于要求高数据传输率的应用。
7.RAID 6级(具有独立的数据硬盘与两个独立的分布式校验方案)
RAID 6技术实在RAID 5的基础上,为了进一步加强数据保护而设计的一种RAID方式,是一种扩展RAID 5等级。
与RAID 5的不同之处:除了每个硬盘上都有同级数据XOR校验区外,还有一个针对每个数据块的XOR校验区。当前盘数据块的校验数据不是存在当前盘而是交错存储的,每个数据块有了两个校验保护,所以RAID 6的数据冗余性能相当好。
但是,由于增加了一个校验,所以写入的效率较RAID 5还差,而且控制系统的设计也更为复杂,第二块的校验区也减少了有效存储空间。

8.RAID 10级
把RAID 0和RAID 1技术结合起来,即RAID 0+1是磁盘分片及镜像的结合,结合了RAID 0和RAID 1的优点。
它采用两组RAID 0的磁盘阵列互为镜像,也就是他们之间又成为一个RAID 1阵列。

6)Cache(高速缓冲存储器)
高速缓冲存储器是位于主存与CPU之间的一级存储器,由静态存储芯片(SRAM)组成,容量比较小,速度比主存高得多,接近于CPU速度,单位成本比内存高。Cache存储了频繁访问内存的数据。
- Cache原理
使用Cache改善系统性能的主要依据是程序的局部性原理。

- 命中率、失效率
Cache的访问命中率为h(通常1-h就是Cache的失效率),Cache的访问周期时间是t1,主存储器的访问周期是t2,则整个系统的平均访存时间就是:t3=hxt1+(1-h)xt2。

- Cache存储器的映射机制
分配给Cache的地址存放在一个相联存储器(CAM)中。CPU发生访存请求时,会先让CAM判断所要访问的数据是否在Cache中,如果命中就直接使用。这个判断的过程就是Cache地址映射,这个速度应该尽可能快。
常见的映射方法有:
- 直接映射
直接映射是一种一对多的映射关系,但一个主存块只能够复制到Cache的一个特定位置上去。
Cache的行号i和主存的块号j有函数关系:
i=j%m(其中m为Cache总行数)


- 全相联映射
全相联映射将主存中任一主存块能映射到Cache中任意行(主存块的容量等于Cache行容量)。

根据主存地址不能直接提取Cache页号,而是需要将主存块标记与Cache各页的标记逐个比较,直到找到符合标记的页(访问Cache命中),或者全部比较完后仍无符合的标记(访问Cache失败)。


主存标记块与Cache各页的标记逐个比较,所以这种映射方式速度很慢,失掉了高速缓存的作用,这时全相联映射方式的最大缺点。如果让主页标记与各Cache标记同时比较,则成本太高。 - 组相联映射
组相联映射是前两种方式的折中方案。它将Cache中的块再分成组,各组之间是直接映射,而组内各块之间则是全相联映射。
主存地址=区号+组号+组内块号+块内地址号


- 直接映射
- Cache的淘汰算法
当Cache数据已满,并且出现未命中的情况时,就要淘汰一些老的数据,更新一些新的数据进入Cache。选择淘汰哪些数据的方法就是淘汰算法。常见的方法有三种:
- 随机淘汰算法
- 先进先出淘汰算法(FIFO)
- 最近最少使用淘汰算法(LRU)
其中平均命中率最高的是LRU算法。
- Cache存储器的写操作
在使用Cache时,需要保证其数据与主存一致,因此在写Cache时就要考虑与主存间的同步问题,通常使用以下三种方法:
- 写直达:当Cache写命中时,Cache与主存同时发生写修改。
- 写回:当CPU对Cache写命中时,只修改Cache的内容而不立即写入主存,当此行被换出才写回主存。
- 标记法:数据进入Cache后,有效位置置1;当CPU对该数据修改时,数据只写入主存并将该有效位置置0。当要从Cache中读取数据时要测试其有效位,若为1则直接从Cache中取数,否则直接从主存中取数。
5、I/O控制方式
1)程序I/O方式(程序查询方式)
由于无中断机构,处理机对I/O设备的控制采取程序I/O方式,或称为忙–等待方式,即在处理机向控制器发送一条I/O指令启动输入设备输入数据时,要同时把状态寄存器中的忙/闲标志置为1。然后不断测试标志。当为1时,表示输入机尚未输完一个字,处理机应继续对该标志测试,直到它为0,表明数据已经输入到控制器的数据寄存器中,于是处理机将数据取出送入内存单元,便完成了一个字的I/O。
在程序I/O方式中,由于CPU高速,I/O设备低速致使CPU极大浪费。
2)中断驱动I/O方式
当某进程要启动某个I/O设备时,便由CPU向相应的设备控制器发出一条I/O命令,然后立即返回继续执行原来的任务。设备控制器于是按照命令的要求去控制指定I/O设备。这时CPU与I/O设备并行操作。
中断驱动方式在I/O设备输入数据的过程中,无需CPU干预,而是当I/O设备准备就绪时“主动”通知CPU。才需CPU花费极短的时间去进行中断处理。从而大大地提高了整个系统的资源利用率及吞吐量,特别是CPU的利用率。但每中断一次仅能传输一个字(节)。
3)直接存储器访问DMA I/O控制方式
虽然中断方式比程序I/O方式更有效,但它仍是以字(节)为单位进行I/O的,每当完成一个字(节)的I/O时,控制器便要请求一次中断。极其低效的。因此引入了直接存储器访问方式。该方式的特点是:数据传输的基本单位是数据块;所传输的数据是从设备直接送入内存的,或者相反;仅在传送一个或多个数据库块的开始或结束时,才需CPU的干预,整块数据传送是在控制器的控制下完成的。可见DMA方式又是成百倍的减少了CPU对I/O的干预,进一步提高了CPU与I/O设备的并行操作程度。

4)I/O通道控制方式
I/O通道是一种特殊处的处理机。它具有执行I/O指令的能力,并通过执行通道(I/O)程序来控制I/O操作。但I/O通道又与一般的处理机不同,一是其指令类型单一,只能执行I/O操作有关的指令;二是通道没有自己的内存,与CPU共享内存。
根据信息交换方式,通道分为三种类型:
- 字节多路通道(Byte Multiplexor Channel)
- 数组选择通道(Block Selector Channel)
- 数组多路通道(Block Multiplexor Channel)

三、安全性、可靠性与性能评测
1、加密体系
按照加密密钥和解密密钥的异同,有两种密钥体制:
1)对称密码体制
对称密码体制又称为秘密密钥体制(私钥密码体制),加密和解密采用相同的密钥(或者可以通过一个推导出另一个)。
优点:加密速度快,通常用来加密大批量的数据。
缺点:需要管理的密码多。
常见的对称密钥技术:
- DES:是一种迭代的分组密码,输入/输出都是64位,使用一个56位的密钥和附加的8位奇偶校验位。攻击DES的主要技术是穷举。
由于DES的密钥长度较短,为了提高安全性,出现了使用112位密钥对数据进行三次加密的算法,称为3DES。
- IDEA算法:其明文和密文都是64位,密钥长度为128位。
2)非对称密码体制
非对称密钥技术(公钥算法)是指加密密钥和解密密钥完全不同,并且不可能从任何一个推导出另一个。
优点:适应开放性的使用环境,可以实现数字签名与验证。
最常见的非对称密钥技术是RSA。它的理论基础是数论中的大素数分解极其困难。
使用RSA来加密大量的数据则速度太慢,因此RSA广泛用于密钥的分发、数字签名中。
2、身份认证技术与数字签名
数字签名就是只有信息的发送者才能产生的别人无法伪造的一段数字串,这段数字串同时也是对信息的发送者发送信息真实性的一个有效证明。
数字签名使用了公钥加密领域的技术实现,用于鉴别数字信息的方法。一套数字签名通常定义两种运算,一个用于签名,另一个用于验证。
常用的数字签名算法:
- Hash签名
- DSS签名
- RSA签名
数字签名原理:
1)发送者首先将原文用Hash函数生成128位的消息摘要。
2)发送者用自己的私钥对摘要再加密,形成数字签名,把加密后的数字签名附加在要发送的原文后面。
3)发送者将原文和数字签名同时传送给对方。
4)接受者对收到的信息用Hash函数生成新的摘要,同时用发送者的公开密钥对消息摘要进行解密。
5)将解密后的摘要与新摘要对比,如两者一致,则说明传送过程中信息没有被破坏或篡改。
3、数字证书
CA是数字证书的签发机构,它是PKI的核心。CA是负责签发证书、认证证书、管理已颁发证书的机关。
- CA要制定政策和具体步骤来验证、识别用户身份,并对用户证书进行签名,以确保证书持有者的身份和公钥的拥有权。
- CA是可以信任的第三方。
数字证书的内容:
CA《A》=CA {V,SN,AI,CA,UCA,A,UA,Ap,Ta}
- V—证书版本号
- SN—证书序列号
- AI—用于对证书进行签名的算法标识
- CA—签发证书的CA机构的名字
- UCA—签发证书的CA的唯一标识符
- A—用户A的名字 UA—用户A的唯一标识
- Ap—用户A的公钥
- Ta—证书的有效期

4、电子商务的安全
1)SSL(端口号:443)
SSL(安全套接层协议)及其继任者TLS(传输层安全协议)是一种安全协议,为网络通信及数据完整性提供安全保障。
SSL和TLS是工作在传输层的安全协议,在传输层对网络连接进行加密。
SSL协议分层
- SSL记录协议(SSL Record Protocol)
它建立在可靠的传输协议(如TCP)之上,为高层协议提供数据封装、压缩、加密等基本功能的支持。
- SSL握手协议(SSL Handshake Protocol)
它建立在SSL记录协议之上,用于在实际的数据传输开始前,通讯双方进行身份认证、协商加密算法、交换加密密钥等。
2)SET(Secure Electronic Transaction,安全电子交易)协议
SET协议称为安全电子交易协议。
美国Visa和MasterCard两大信用卡组织共同制定了应用于Internet上的以银行卡为基础进行在线交易的安全标准–SET。
它采用公钥密码体制和X.509数字证书标准,保障网上购物信息的安全性。
3)HTTPS(安全套接字层上的超文本传输协议)
HTTPS是以安全为目标的HTTP通道,简单讲是HTTP的安全版。
HTTPS是工作在应用层的协议。
4)PGP
PGP是一个基于RSA公钥加密体系的邮件加密软件。
- PGP可用于文件存储的加密。
- PGP承认两种不同的证书格式:PGP证书和X.509证书。
四、计算机的可靠性
1、可靠性计算
1)串联系统
各个子系统的可靠性分别用R1, R2, … , Rn表示
- 系统的可靠性为:
R=R1 X R2 X … X Rn
- 系统的失效率为:
λ=λ1 + λ2 + … + λn

2)并联系统
假如一个系统由2个子系统组成,只要有一个子系统能够正常工作,系统就能正常工作,设系统各个子系统的可靠性用R1, R2, … , Rn表示
- 则系统的可靠性为:
R=1 - (1-R1) X (1-R2) X … X (1-Rn)
- 则系统的失效率为:


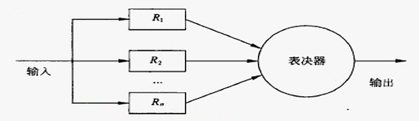
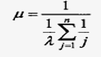
3、模冗余系统
m模冗余系统由m个(m=2n+1为奇数)相同的子系统和一个表决器组成,经过表决器表决后,m个子系统中占多数相同结果的输出作为系统的输出。
m模冗余系统的可靠性为:




1、媒体的分类
媒体可分为感觉媒体、表示媒体、表现媒体、存储媒体和传输媒体。
1)感觉媒体
直接作用于人的感官,产生感觉(视、听、嗅、味、触觉)的媒体,语言、音乐、音响、图形、动画、数据、文字等都是感觉媒体。
2)表现媒体
表现媒体是指用来表示感觉媒体的数据编码。如图像编码(JPEG、MPEG)、文本编码(ASCII)和声音编码等。感觉媒体转换成表示媒体后,能够在计算机上进行加工处理和传输。
3)表现媒体
表现媒体是进行信息输入或输出的媒体。如键盘、鼠标、扫描仪、话筒、数码相机、摄像机为输入表现媒体,显示器、打印机、扬声器、投影仪为输出表现媒体。
4)存储媒体
存储媒体是指用于存储表示媒体的物理实体。如硬盘、光盘等。
5)传输媒体
传输媒体是指传输表示媒体(即数据编码)的物理实体。如电缆、光缆等。
2、声音
1)声音技术概述
声音的三个要素是:
- 音强:即音量,是声音的强度,取决于声间的振幅。
- 音调:由声音的频率决定。
- 音色:又叫音品,指声音的感觉特性。不同的发声体由于材料、结构不同,发出声音的音色就不同。物体振动,除了一个基音外,还有许多不同频率(振动速度)的泛音伴随,正是这些泛音决定了其不同的音色。
2)音频数据的存储和传输
模拟信号转化数字信号的过程
- 采样
每隔一个时间间隔就在模拟声音的波形上取一个幅度值,这个间隔时间称为采样频率。
常用的采样频率为8kHz、11.025kHz、16kHz、22.05kHz(FM广播质)、44.1kHz(CD音质)、48kHz(DVD音频或专业领域),频率越高音质越好。采样频率不应该低于声音信号最高频率的两倍。

- 量化
量化就是把经过采样得到的瞬时值将其幅度离散,即用一组规定的电平,把瞬时抽样值用最接近的电平值来表示。
量化的级别通常用位(bit)来表示,位数越高则音质越好。

- 编码
编码就是将数据写成计算机的数据格式。
每秒钟所需的存储量可由下式估算出:
文件的字节数=采样频率(Hz)x采样位数x声道数÷8
3)音频数据格式
- WAVE
- MOD
- Layer-3
- Real Audio
- CD Audio
- MIDI
- CMF
3、图形和图像
1)颜色属性
视觉上的颜色可用下面参数来描述
- 色调:人眼看到一种或多种波长的光时所产生的的彩色感觉。
- 明度:表示色所具有的亮度和暗度被称为明度。
- 饱和度:指颜色的纯度,或者说是指颜色的深浅程度。

2)颜色空间
三原色原理是指自然界的各种颜色光,都可由红®、绿(G)、蓝(B)三种颜色按不同比例相配制而成。所以称这3种颜色为三基色。
- RGB颜色空间
- YUV颜色空间
数字化位通常采用Y:U:V-8:4:4或者Y:U:V-8:2:2
- CMY(K)颜色空间
3)图形与图像
- 图像
图像也称为位图或点阵图,是由排列成行列的像素组成的。
常把一幅位图图像作为一个点矩阵处理,矩阵中的一个元素(像素)对应图像的一个点。
- 图形
图形也称为矢量图形,是用一个指令集和来描述的,这些指令集用来描述图中线条的形状、位置、颜色等各种属性和参数。
特点是放大后图像不会失真,和分辨率无关。
- 分辨率
图形(图像)的主要指标有分辨率、点距、色彩数(灰度)。
- 分辨率:可以分为屏幕分辨率和输出分辨率,单位:dpi(像素每英寸)。
- 水平分辨率是指水平方向(横向)总的像素点数。
- 垂直分辨率是指垂直方向(竖向)总的像素点数。
分辨率越高,所包含像素越多,图像越清晰,印刷质量就越好。
- 点距:点距是指两个像素之间的距离,一般来说,分辨率越高,则像素点距的规格越小,显示效果越好。
- 深度:深度是指显示或存储每个像素所用的位数。
- 分辨率:可以分为屏幕分辨率和输出分辨率,单位:dpi(像素每英寸)。
4、虚拟现实
虚拟现实技术(VR)是一种可以创建可体验虚拟世界的计算机仿真系统,它利用计算机生成一种模拟环境,是一种多源融合的、交互式的三维动态视景和实体行为的系统仿真,使用户沉浸到该环境中。

1)虚拟现实技术的主要特征
- 多感知
- 沉浸(临场感)
- 交互
2)虚拟现实技术的分类
- 桌面虚拟现实
- 完全沉浸的虚拟现实
- 增强现实性的虚拟现实
- 分布式虚拟现实




















版权声明:本文内容由互联网用户自发贡献,该文观点仅代表作者本人。本站仅提供信息存储空间服务,不拥有所有权,不承担相关法律责任。如发现本站有涉嫌侵权/违法违规的内容,请联系我们,一经查实,本站将立刻删除。
如需转载请保留出处:https://51itzy.com/kjqy/43413.html