1.简单数据结构
1.1 数组一
二分查找:
看题目,数组升序,复杂度log n,想到二分查找。
class Solution { public int search(int[] nums, int target) { // 避免当 target 小于nums[0] nums[nums.length - 1]时多次循环运算 if (target < nums[0] || target > nums[nums.length - 1]) { return -1; } int left = 0, right = nums.length - 1; while (left <= right) { int mid = left + ((right - left) >> 1); if (nums[mid] == target) return mid; else if (nums[mid] < target) left = mid + 1; else if (nums[mid] > target) right = mid - 1; } return -1; } }
讯享网
1.1.1 35搜索插入位置:(复杂度要求log n)
讯享网1.while(left<=right) 2.要把mid的判断写在前面,先判断nums[mid]==target
插入就是后移 ,不能前移。所以如果最后没找到target,应该插在left最后的位置。
最后的left比right大。
class Solution { public int searchInsert(int[] nums, int target) { int left = 0, right = nums.length - 1; while (left <= right) { int mid = (left +right)>>1; if (nums[mid] == target) return mid; else if (nums[mid] < target) left = mid + 1; else if (nums[mid] > target) right = mid - 1; } return left; } }
1.1.2 34 在排序数组中查找元素的第一个和最后一个的位置(复杂度要求log n)
犯的错误,我的代码,复杂度应该是n,而不是log n。
讯享网class Solution { public int[] searchRange(int[] nums, int target) { int maxindex=0,minindex=0,left=0,right=nums.length-1; int[] a=new int[2]; a[0]=-1; a[1]=-1; if(target<nums[0]||target >nums[nums.length-1]){ return a; } while(left<=right){ int mid=left+((right-right)>>1); if(nums[mid]==target){ if(mid<minindex){ minindex=mid; } if(mid>maxindex){ maxindex=mid; } }else if(nums[mid]<target){ left=mid+1; }else if(nums[mid]>target){ right=mid-1; } } a[0]=minindex; a[1]=maxindex; return a; } }
正确思路:先用二分法找到位置。然后while,从这点出发找到左边界。然后再找右边界。
class Solution { public int[] searchRange(int[] nums, int target) { int index=getindex(nums,target); int [] a=new int[2]; if(index==-1){ a[0]=-1; a[1]=-1; return a; } int left=index; int right =index; while(left-1>=0&&nums[left-1]==nums[index]) {left--; } while((right+1<=nums.length-1)&&nums[right+1]==nums[index]) { right++; } a[0]=left; a[1]=right; return a; } public int getindex( int[] nums ,int target){ int left=0,right=nums.length-1; while(left<=right){ int mid=left+((right-right)>>1); if(nums[mid]==target){ return mid; }else if(nums[mid]<target){ left=mid+1; }else if(nums[mid]>target){ right=mid-1; } } return -1; } }
1.1.3 求x得平方根
思路:反正要的整数,直接for循环遍历一遍,满足 i *i < x and (i+1)*(i+1)>x,即可。
讯享网 public int mySqrt(int x) { if(x==0||x==1){ return x; } int result=x; for(int i=1;i<x;i++) { int temp1= i*i;//2,147,395,600 int temp2= (i+1)*(i+1);//2,147,488,281 if(temp1==x) { result=i; break; } if(temp2==x){ result=(i+1); break; } if(temp1<x && temp2>x) { result=i; break; } } return result; }
1.1.4 删除升序数组中重复元素(快慢 指针)
思路:双指针:j指针找到不重复的元素。然后让i加1,放在i这个位置。
public int removeDuplicates(int[] nums) { if(nums.length==0|| nums.length==1) { return nums.length; } int i=0; int j=1; while(j<nums.length) { //碰到相同,动j if(nums[i]==nums[j]) { j++; }else{ //碰到不同,就把j位置的值,赋给i的下一个位置,然后j继续后移一位。 i++; nums[i]=nums[j]; j++; } } return i+1;//返回下标+1 ,才是最终长度。 }
1.1.5 把数组里的0放在数组最后(快慢指针,跟上一题类似)
思路:用双指针,把四种情况,想明白怎么做,即可。
讯享网class Solution { public void moveZeroes(int[] nums) { if(nums.length==0||nums.length==1) { return ; } int i=0; int j=1; while(j<nums.length) { if(nums[i]==0 && nums[j]!=0) { nums[i]=nums[j]; nums[j]=0; i++; j++; }else if(nums[i]==0 && nums[j]==0) { j++; }else if(nums[i]!=0 && nums[j]!=0) { i++; j++; }else { i++; j++; } } } }
1.1.6 比较含退格的字符串
给定 s 和 t 两个字符串,当它们分别被输入到空白的文本编辑器后,如果两者相等,返回 true 。# 代表退格字符。
这种一对一的消除关系,还是用栈。
思路:用栈。碰到#号,出栈即可。不是#就入栈。
class Solution { public boolean backspaceCompare(String s, String t) { StringBuilder s1=new StringBuilder(); StringBuilder s2=new StringBuilder(); for(char c :s.toCharArray()){ if(c!='#'){ s1.append(c); }else if(s1.length()>0){ s1.deleteCharAt(s1.length() -1); } } for(char c :t.toCharArray()){ if(c!='#'){ s2.append(c); }else if(s2.length()>0){ s2.deleteCharAt(s2.length() -1); } } return s1.toString().equals(s2.toString()); } }
1.1.7 有序数组的平方
给你一个按 非递减顺序 排序的整数数组 nums,返回 每个数字的平方 组成的新数组,要求也按 非递减顺序 排序。
思路:用Array工具类里的sort,对这个数组进行排序。
讯享网class Solution { public int[] sortedSquares(int[] nums) { int [] array=new int[nums.length]; for (int i=0;i< nums.length;i++){ array[i]=nums[i]*nums[i]; } Arrays.sort(array); return array; } }
思路2:用双指针指向两端,数组其实是有序的, 只不过负数平方之后可能成为最大数了。
那么数组平方的最大值就在数组的两端,不是最左边就是最右边,不可能是中间。然后挨个排序。
拿一个中间数组,把最大的挨个往里面放。
class Solution { public int[] sortedSquares(int[] nums) { int pre=0; int p=nums.length-1; int[] result = new int[nums.length]; int index = result.length - 1; while(pre<=p){ int t=0; if(nums[pre]*nums[pre]>nums[p]*nums[p]) { result[index--]=nums[pre]*nums[pre]; pre++; }else{ result[index--]=nums[p]*nums[p]; p--; } } return result; } }
1.2 数组二(两次没做出来)
1.2.1 长度最小的子数组
讯享网输入:target = 7, nums = [2,3,1,2,4,3] 输出:2 解释:子数组 [4,3] 是该条件下的长度最小的子数组。
里面的数和为7的。
核心代码:sum>=target,在的时候减去,正好减一位那种,
在for的下一层又会满,又能用result比较一次最小长度。
class Solution { public int minSubArrayLen(int target, int[] nums) { int i=0; int sum=0; int result=Integer.MAX_VALUE;; for(int j =0;j<nums.length;j++){ sum+=nums[j]; while(sum>=target){ result=Math.min(result,j - i + 1); sum-=nums[i++]; } } return result == Integer.MAX_VALUE ? 0 : result; } }
1.2.2 水果成篮(第二次做错)

筛选数组里的最长子数组,这个子数组里面只能有两种元素。比如,题中只有1.2。
思路:整一个count数组,里面放每种水果有多少个(一定成立:让count数组的长度等于树的长度n,一个树上只有一个水果,最坏种类也是n)。
让right每个回合都往右移动。移动一下,判定一下篮子里的种类是否超过2,
用size标记种类个数。
超过种类2的时候,从左面开始删,让left右移,右移动一个扔掉一个,直到size=2。
那size什么时候减呢?用left的下标移动时,去除里面的 fruits[left],之后判断
count[fruits[left]] == 0。
这个时候记录一下,right右移一位产生的新的小数组长度,也就是right -left +1。
讯享网class Solution { public int totalFruit(int[] fruits) { int left = 0; int maxLen = 0; int[] count = new int[fruits.length]; int size = 0; for (int right = 0; right < fruits.length; right ++) { if (count[fruits[right]] == 0) size++; count[fruits[right]]++; // 滑动窗口内水果种类大于 2 个时 while (size > 2) { count[fruits[left]]--; if (count[fruits[left]] == 0) { size--; } left++; } // 扩大窗口的时候更新 最大长度 maxLen = Math.max(maxLen, right - left + 1); } return maxLen; } }
1.2.3最小覆盖子串(困难题)
利用滑动窗口,让count刚开始等于小字符串的长度。
1.然后用上标J遍历大字符串,如果时,小字符串里所有的元素都出现了,那就开始在while里,给下标i移动到子串的边界(边界的左边最左边那中元素只有一个,就是边界那个)。
2.然后不断获得在J到I,区间里最小子串,比较它们的长度。
具体做法,去掉最左面那个元素,count一定加1,然后再让J往右边走,直到count再次为0,再次判断。
class Solution { public String minWindow(String s, String t) { // 存储需要的字符个数 int[] needs = new int[128]; // 循环t把每个字符存到相应的数组下标中 for (int i = 0; i < t.length(); i++) { needs[t.charAt(i)]++; } // i左边界,j右边界,start为s中包含t的开始下标,count为所需t字符的总数,len为最小子序列长度 int i=0,j=0,start=0,count=t.length(),size=Integer.MAX_VALUE; while(j<s.length()){ // 如果s中j下标字符为t所需要的,则need[j]--,count-- char c = s.charAt(j); if (needs[c]>0) { count--; } // 把遍历到的所有字符,都记录,小于0说明,不需要或者多包含 needs[c]--; // 当count为0,缩小窗口,找出start和size if(count==0){ // 当s中i下标字符不需要时,一直缩小窗口,直到需要这个字符 while (i<j && needs[s.charAt(i)]<0){ // 先把i下标的字符减掉,在移动指针 needs[s.charAt(i)]++; i++; } // 若本次循环的最小字符列长度比之前的短,更新 if (j-i+1<size) { size = j-i+1; start = i; } // 下一次遍历,移动左边界,这时,缺少一个need[i],count为-1 needs[s.charAt(i)]++; i++; count++; } // 不管是count不为0,还是下一次遍历,都需要右滑窗口 j++; } return size==Integer.MAX_VALUE?"":s.substring(start,start+size); } }
1.2.4 螺旋矩阵

确定好每次填放的方向,cnt的增量必须设为n-1。每四圈,确定好下一次起始的地方即可。
讯享网class Solution { public int[][] generateMatrix(int n) { int[][] a=new int[n][n]; int T=0;//指示变量,看一圈走了几次,来确定方向 int H=0;//纵坐标 int Z=0;//横坐标 int mi=n*n; int sum=1;//从1到n的平方 int cnt=n-1;//增量 int p=0;//用来遍历的 //cnt 分三种,>=2,=1,0; while(sum<=mi&&cnt>=2){ if(T%4==0){ while(p<cnt){ a[H][Z++]=sum++; p++; } T++; p=0; }else if(T%4==1){ while(p<cnt){ a[H++][Z]=sum++; p++; } T++; p=0; }else if(T%4==2){ while(p<cnt){ a[H][Z--]=sum++; p++; } T++; p=0; }else{ while(p<cnt){ a[H--][Z]=sum++; p++; } T++; p=0; } if(T%4==0){ //这里每弄四波,都要确定好下次的开始地方 cnt-=2; H+=1; Z+=1; } } if(cnt==1){ a[H][Z++]=sum++; a[H++][Z]=sum++; a[H][Z--]=sum++; a[H--][Z]=sum++; } if(cnt==0){ a[n/2][n/2]=mi; } return a; } }
1.2.5 螺旋矩阵进阶版(万能,不仅可以用作方阵)
思路:走一圈,需要两个增量来指示。如果有剩下的,那cnt一定是0,因为正常cnt=1,在while里也全走完了。
窄的那边为偶数,也可以顺带着在while里走完。
while里最重要的是,每过4次,就要 重新找个起始点,H++或Z++。

最终可能存在一个cnt 为0,一个cnt 不为0,那就 剩下一列,或者一行。
窄的那边如果为基数,的情况,最后剩下黑色的。此时cnt1已经变成0了。竖着排,大小是cnt2+1,因为cnt之前减了2。
同类,存在一种横着的剩余,此时cnt2=0

class Solution { public int[] spiralOrder(int[][] matrix) { int T=0;//指示变量,看一圈走了几次,来确定方向 int H=0;//纵坐标 int Z=0;//横坐标 int Slength=0; if(matrix.length==0){ int [] a={}; return a; } int cnt1=matrix.length-1;//增量 int cnt2=matrix[0].length-1;//增量 int maxSize=Math.max(matrix.length,matrix[0].length); int[] sum= new int[matrix.length*matrix[0].length]; int p=0;//用来遍历的 //cnt 分三种,>=2,=1,0; while(cnt1 >=1 &&cnt2 >=1){ if(T%4==0){ while(p<cnt2){ sum[Slength++]=matrix[H][Z++]; p++; } T++; p=0; }else if(T%4==1){ while(p<cnt1){ sum[Slength++]=matrix[H++][Z]; p++; } T++; p=0; }else if(T%4==2){ while(p<cnt2){ sum[Slength++]=matrix[H][Z--]; p++; } T++; p=0; }else{ while(p<cnt1){ sum[Slength++]=matrix[H--][Z]; p++; } T++; p=0; } if(T%4==0){ //这里每弄四波,都要确定好下次的开始地方 cnt1-=2; cnt2-=2; H+=1; Z+=1; } } if(cnt1==0){ while(p<cnt2+1){ sum[Slength++]=matrix[H][Z++]; p++; } } if(cnt2==0){ while(p<cnt1+1){ sum[Slength++]=matrix[H++][Z]; p++; } } return sum; } }
2.链表
2.1 移除链表中指定元素
设置一个虚拟结点让pre指着,然后让cur从头开始指(头结点有元素)
如果cur指的指是val,则pre.next=p.next,如果不是val,就让pre移过来。
不管怎么样,cur作为遍历指针,每轮都要往后移动一位。
最后返回虚拟节点的next,肯定与链表相连,因为返回head,head结点可能已经被删除。
讯享网public ListNode removeElements(ListNode head, int val) { if (head == null) { return head; } // 因为删除可能涉及到头节点,所以设置dummy节点,统一操作 ListNode dummy = new ListNode(-1, head); ListNode pre = dummy; ListNode cur = head; while (cur != null) { if (cur.val == val) { pre.next = cur.next; } else { pre = cur; } cur = cur.next; } return dummy.next; }
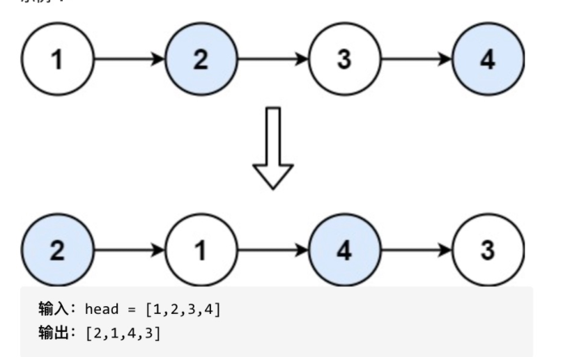
2.2 两两交换链表中的结点

整个虚拟节点。用了三个位置进行交换。三个步骤。

pre和head指向的结点没变,只是结点的指针发生了变化,比如第一轮交换完了,head指向1,pre还指向cur(虚拟节点)。
这个时候就更新一下,让head指向3,pre指向1。然后在下一层里继续,这三个步骤,重点在于prev和head的更新。
prev = head; // 步进1位 head = head.next; // 步进1位
while的判断条件也很重要,prev始终作为辅助结点,在交换的两个结点之前。
我们要判断,交换的两个结点是否存在。
讯享网 while (prev.next != null && prev.next.next != null)

因为head.next的next会变化指向第三个,所以先找一个存一下。
class Solution { public ListNode swapPairs(ListNode head) { ListNode dummyNode = new ListNode(0); dummyNode.next = head; ListNode prev = dummyNode; while (prev.next != null && prev.next.next != null) { ListNode temp = head.next.next; // 缓存 next prev.next = head.next; // 将 prev 的 next 改为 head 的 next head.next.next = head; // 将 head.next(prev.next) 的next,指向 head head.next = temp; // 将head 的 next 接上缓存的temp prev = head; // 步进1位 head = head.next; // 步进1位 } return dummyNode.next; } }
最后返回 虚拟结点的下一个,才是链表的开始,head结点已经不是开始。
2.3 删除链表的倒数第N个结点(一趟解决)
建议自己弄一个虚拟头结点。
思路:用双指针,都从虚拟结点出发,让P先走n下。维持一个大小为N+1的窗口。因为要删倒数第N个,得有它前面的。
最后得返回t.next,不能返回head,因为可能存在链表只有一个结点,head指向这个结点。
讯享网class Solution { public ListNode removeNthFromEnd(ListNode head, int n) { ListNode t=new ListNode(-1); t.next =head; ListNode pre=t; ListNode p=t; int cnt=0; while(cnt<n){ p=p.next; cnt++; } while(p.next!=null){ p=p.next; pre=pre.next; } pre.next=pre.next.next; return t.next; } }
2.4 找出两个链表之间的交点

注意:是指针相等,而不是两个链表的元素值相等。
思路:既然相交,那肯定末尾一样。因为是单链表,不能维护两个指针从末尾开始挨个前进。
所以得计算出两个链表长度的差距。然后移动两个比较指针,让它们剩下的结点个数一样。
然后从差距的那个结点挨个遍历比较即可,直到出现相等。
public class Solution { public ListNode getIntersectionNode(ListNode headA, ListNode headB) { ListNode p1=headA; ListNode p2=headB; int lengthA=0; int lengthB=0; while(p1!=null){ lengthA++; p1=p1.next; } while(p2!=null){ lengthB++; p2=p2.next; } p1=headA; p2=headB; if(lengthA>=lengthB){ int t1=lengthA-lengthB; while(t1>0){ t1--; p1=p1.next; } }else{ int t2=lengthB-lengthA; while(t2>0){ t2--; p2=p2.next; } } while(p1!=p2&&p1!=null){ p1=p1.next; p2=p2.next; } return p1; } }
2.5 判断链表是否有环,如果有环,从哪个顶点开始入环。
思路:判断哪个指针入环,不能判断结点值。设置一个快指针fast速度为走两步,一个慢指针slow走一步,当slow与fast在环内相遇的时候,slow一定不会走完一圈。
判断为环:如果fast能与slow相遇,则一定有环。
那怎么判断环从哪开始呢?

相遇时:
slow指针走过的节点数为: x + y,
fast指针走过的节点数:x + y + n (y + z),n为fast指针在环内走了n圈才遇到slow指针, (y+z)为 一圈内节点的个数A。
因为fast指针是一步走两个节点,slow指针一步走一个节点, 所以 fast指针走过的节点数 = slow指针走过的节点数 * 2:
(x + y) * 2 = x + y + n (y + z)
两边消掉一个(x+y): x + y = n (y + z)
因为要找环形的入口,那么要求的是x,因为x表示 头结点到 环形入口节点的的距离。
所以要求x ,将x单独放在左面:x = n (y + z) - y ,
再从n(y+z)中提出一个 (y+z)来,整理公式之后为如下公式:x = (n - 1) (y + z) + z 注意这里n一定是大于等于1的,因为 fast指针至少要多走一圈才能相遇slow指针。
当 n为1的时候,公式就化解为 x = z,当n为2的时候,就是走了两圈才碰到。
因为x = (n - 1) (y + z) + z,所以我们只要在第一次的相遇点那里设置一个Index1,让它每次走一步,在起始点设置一个Index2,每次也只走一步,后面它们相遇的地方一定是环的起点。
讯享网public class Solution { public ListNode detectCycle(ListNode head) { ListNode slow = head; ListNode fast = head; while (fast != null && fast.next != null) { slow = slow.next; fast = fast.next.next; if (slow == fast) {// 有环 ListNode index1 = fast; ListNode index2 = head; // 两个指针,从头结点和相遇结点,各走一步,直到相遇,相遇点即为环入口 while (index1 != index2) { index1 = index1.next; index2 = index2.next; } return index1; } } return null; } }
那么while该怎么写呢?
因为fast要一次移动两下。它不能是空。又因为我们里面直接让
fast = fast.next.next;
需要用到fast.next这个值,所以它也不能是个空指针。
讯享网while (fast != null && fast.next != null)
用map一下就做出来
public class Solution { public ListNode detectCycle(ListNode head) { Map<ListNode,Integer> map =new HashMap<>(); ListNode work=head; while(work!=null) { if(map.containsKey(work)) { return work; } map.put(work,0); work=work.next; } return null; } }
3.哈希表与双指针
3.1 有效的字母异位词

思路:整个数组(大小为26),字母也只有a到z,遍历这两个字符串,记录两个字符串中相同字母出现的频率是否相同。
讯享网class Solution { public boolean isAnagram(String s, String t) { char [] word=new char[26]; for (char c : s.toCharArray()) { word[c - 'a'] += 1; } for (char c : t.toCharArray()) { word[c - 'a'] -= 1; } for (int i : word) { if (i != 0) { return false; } } return true; } }
3.2 赎金信

思路:(暴力)遍历ransomNote里的字符,看看在magazine里是否出现。
用哈希表的思想:整一个数组里面全都是1,先遍历ransomNote字符串,再遍历magazine数组。
具体操作如下:第二个for那里检查一下,如果是新出现的字符,那就不用再减了。
class Solution { public boolean canConstruct(String ransomNote, String magazine) { char [] word=new char[26]; for (char c : ransomNote.toCharArray()) { word[c - 'a'] += 1; } for (char c : magazine.toCharArray()) { if(word[c - 'a']>0) word[c - 'a'] -= 1; } for (int i : word) { if (i != 0) { return false; } } return true; } }
3.3 字母异位词分组。
用hashMap存集合即可。用sort排序字符数组即可,这样所有的都一样。
key的值,是字符串的。用valueOf把字符数组转化为字符串。
get(key),得到key的value。
讯享网class Solution { public List<List<String>> groupAnagrams(String[] strs) { Map<String,List<String>> map=new HashMap<>(); for(int i=0;i<strs.length;i++) { char [] work =strs[i].toCharArray(); Arrays.sort(work); String temp=String.valueOf(work); if(!map.containsKey(temp)) { map.put(temp,new ArrayList<>()); map.get(temp).add(strs[i]); }else { map.get(temp).add(strs[i]); } } return new ArrayList(map.values()); } }
3.4 两个数组的交集(不带重复的)
题意:给定两个数组,编写一个函数来计算它们的交集。
用两个set来存,然后用contains来判断另一个集合中是否有这个元素。
集合的元素都能用for循环遍历。
import java.util.HashSet; import java.util.Set; class Solution { public int[] intersection(int[] nums1, int[] nums2) { if (nums1 == null || nums1.length == 0 || nums2 == null || nums2.length == 0) { return new int[0]; } Set<Integer> set1 = new HashSet<>(); Set<Integer> resSet = new HashSet<>(); //遍历数组1 for (int i : nums1) { set1.add(i); } //遍历数组2的过程中判断哈希表中是否存在该元素 for (int i : nums2) { if (set1.contains(i)) { resSet.add(i); } } int[] resArr = new int[resSet.size()]; int index = 0; //将结果几何转为数组 for (int i : resSet) { resArr[index++] = i; } return resArr; } }
3.5 两个数组的交集(带重复的)
这回不用set,用list对象。List的remove方法是删除一条数据。removeAll才是批量操作。
弄两个list,list1用来放随便一个集合的,然后遍历另一个数组,看看有没有包含的。
这样可以一一对应,list2里放结果。
讯享网for(int num:nums2){ if(list1.contains(num)){ list2.add(num); list1.remove(Integer.valueOf(num)); } }
list里放重复元素,用contains看看
class Solution { public int[] intersect(int[] nums1, int[] nums2) { List<Integer> list1=new ArrayList<>(); for(int num : nums1){ list1.add(num); } List<Integer> list2=new ArrayList<>(); for(int num:nums2){ if(list1.contains(num)){ list2.add(num); list1.remove(Integer.valueOf(num)); } } int[] p=new int[list2.size()]; int index=0; for(int num :list2){ p[index++]=num; } return p; } }
3.6 快乐数

定义为:对于一个正整数,每一次将该数替换为它每个位置上的数字的平方和,然后重复这个过程直到这个数变为 1,也可能是 无限循环 但始终变不到 1。如果 可以变为 1,那么这个数就是快乐数。
思路:得用set,可能在途中会被无限循环,如果再碰到相同的,说明就存在循环,不可能是快乐数。用set来做。
讯享网class Solution { public boolean isHappy(int n) { int sum2=0; Set<Integer> set=new HashSet<>(); while(n!=1){ int[] p=mode(n); sum2=0; for(int num:p){ sum2+=num*num; } if(!set.contains(sum2)){ set.add(sum2); n=sum2; }else{ return false; } } return true; } //这个方法用来将每位记录在数组。 public int []mode(int n){ int sum=n; int cnt=0; while(sum>0){ sum=sum/10; cnt++; } int [] p=new int[cnt]; sum=n; int index=0; while(sum>0){ p[index++]=sum%10; sum/=10; } return p; } }
3.7 两数之和

思路:用map,key存元素值,value存下标。先用map存一遍数组。然后挨个遍历数组,检查target-当前元素的值 的key是否存在,如果存在,返回这俩下标即可。
这题存在的问题,没说数组里有没有重复元素,也没说,满足target的是不是只有一组。建议弄个二维数组。
class Solution { public int[] twoSum(int[] nums, int target) { int a[]=new int[2]; if(nums==null||nums.length==0){ return a; } Map<Integer,Integer> map=new HashMap<>(); for(int i=0;i<nums.length;i++){ int temp=target-nums[i]; if(map.containsKey(temp)) { a[0]=i; a[1]=map.get(temp); }else{ map.put(nums[i],i); } } return a; } }
3.8 四数相加

我自己写的用了三层for循环,感觉很麻烦。
思路:用map,记录元素和,与它们出现的次数。
两两分开,统计两个数组内元素之和,并且记录这个元素和的次数。
然后统计剩下两个数组的元素之和,然后用contain。
map集合根据key来更新value值。所以我们把更新后的put进去。
讯享网class Solution { public int fourSumCount(int[] nums1, int[] nums2, int[] nums3, int[] nums4) { Map<Integer,Integer> map=new HashMap<>(); int sum; int target; int cnt=0; for(int i=0;i<nums1.length;i++){ for(int j=0;j<nums2.length;j++){ sum=nums1[i]+nums2[j]; if(!map.containsKey(sum)){ map.put(sum,1); }else{ int a=map.get(sum); a=a+1; map.put(sum,a); } } } for(int i=0;i<nums3.length;i++){ for(int j=0;j<nums4.length;j++){ sum=nums3[i]+nums4[j]; target=0-sum; if(map.containsKey(target)){ cnt+=map.get(target); } } } return cnt; } }
3.9 三数相加(卡了很久,建议背诵)

思路:弄三个指针。i 标记小于0的。如果遍历到nums[i+1]=nums[i],跳过去。
剩下的让head=i+1;tail=length-1;这俩也得去重,在ret判断等于0后对下一个位置进行判断,去重。
class Solution { public List<List<Integer>> threeSum(int[] nums) { //一个map,双指针即可。然后把这三个下标存进List里即可。 List<List<Integer>> list = new ArrayList<>(); if(nums==null&&nums.length<3){ return list; } Arrays.sort(nums); int len=nums.length; for(int i=0;i<nums.length;i++) { if(nums[i]>0) break;//i只标记小于0的。 if(i>0&&nums[i]==nums[i-1]) continue;//去重,如果跟前面的一样,那就后移 int left=i+1; int right=len-1; int ret=0; while(left<right) { ret=nums[i]+nums[left]+nums[right]; if(ret==0) { list.add(Arrays.asList(nums[i],nums[left],nums[right])); while(left<right&&nums[left]==nums[left+1]) left++; while(left<right&&nums[right]==nums[right-1]) right--; left++; right--; }else if(ret>0) { right--; }else { left++; } } } return list; } }
3.10 去除list里的重复集合。
用冒泡排序,挨个比较。复杂度是n的平方。

讯享网for (List<Integer> list : lists) { System.out.print(list.toString()); } System.out.println(); // 采用冒泡排序的比较规则,当然可以换成一个更高效的比较方法 for (int i = 0; i < lists.size() - 1; i++) { for (int j = i + 1; j < lists.size(); j++) { int count = 0; for (int k = 0; k < 3; k++) { // 判断当前list是否和后面的list三个元素相同 if (lists.get(i).contains(lists.get(j).get(k))) { count++; } } if (count == 3) { lists.remove(j); // 因为删除一个元素,长度会减一,所以j要退回一位 j--; }
3.11 四数之和
四数之和,和三数之和是一个思路,都是使用双指针法, 基本解法就是在三数之和的基础上再套一层for循环。
外层不能这样再break了,因为我们可能要的target是负数。所以去掉这句话。

就是在三数相加外面再套一层for循环。可以让i遍历到length-1,因为下面对j也有for循环检查。
class Solution { public List<List<Integer>> fourSum(int[] nums, int target) { List<List<Integer>> list=new ArrayList<>(); if(nums==null||nums.length<4) return list; Arrays.sort(nums); int len=nums.length; for(int i=0;i<len;i++){ //额外的测试用例,相加的情况下,如果最小的 也大于target,这个时候没必要往下走了。 if(nums[i]>target && nums[i]>0) return list; //外层k去重 if (i > 0 && nums[i - 1] == nums[i]) { continue; } for(int j= i+1;j<len;j++){ if (j > i + 1 && nums[j - 1] == nums[j]) { continue; } int head=j+1; int tail=len-1; while(head<tail){ int ret=nums[i] + nums[j] + nums[head] + nums[tail]; if(ret==target){ list.add(Arrays.asList(nums[i],nums[j],nums[head],nums[tail])); while(head<tail && nums[head]==nums[head+1]) head++; while(head<tail &&nums[tail]==nums[tail-1]) tail--; head++; tail--; }else if(ret<target){ head++; }else{ tail--; } } } } return list; } }
4.字符串操作
4.1 反转字符串

思路:每隔k个反转k个,末尾不够k个时全部反转,
卡在不知道什么时候反转K个,找不到时机。
新的交换方式,用异或。a=a^b,b=a^b,a=a^b
讯享网class Solution { //每次start增加2k个,然后对剩下的k个进行反转。 public String reverseStr(String s, int k) { char[] ch = s.toCharArray(); for(int i = 0; i < ch.length; i += 2 * k){ int start=i; int end = Math.min(ch.length - 1, start + k - 1);//这一步全文最关键。 //我只用剩下的前k个,如果不够k个,那么就剩下的全部反转。 while(start < end){ ch[start] ^= ch[end]; ch[end] ^= ch[start]; ch[start] ^= ch[end]; start++; end--; } } return new String(ch); } }
4.2 删除字符串里的空格。
class Solution { public String replaceSpace(String s) { if (s== null) { return null; } StringBuilder sb =new StringBuilder(); for(int i=0;i<s.length();i++){ if(s.charAt(i)==' '){ sb.append("%20"); }else{ sb.append(s.charAt(i)); } } return sb.toString(); } }
4.3 反转字符串里的单词

思路:从右开始遍历,找到单词的右界,然后找到单词的左界。把这个单词装进新的字符数组。
只要while里有减减,那就得保证不越界。
讯享网class Solution { public String reverseWords(String s) { List<String> list1 =new ArrayList<>(); //从右到左挨个把里面的字符串摘出来,最后再输出的时候处理一下。 int i=s.length()-1; //从右到左遍历 while(i>=0) { while(i>=0&& s.charAt(i)==' ')i--; //先找到不是空格的的第一位。 int right=i; while(i>=0 && s.charAt(i)!=' ') i--; //然后找到空格,那么left+1和right之间就是我们要的字符串 int left=i+1;//这里必须得是i+1,while停下来,可能是i<0或者i位置是空格了。 String work=s.substring(left,right+1); list1.add(work); } String result=""; if(list1.size()==0) { return null; } else { //这里直接无脑放字符串和空格 for(String t:list1) { result+=t; result+=" "; } } //最后再去除尾部的空格即可。 int j=result.length()-1; while(j>=0&&result.charAt(j)==' ') j--; return result.substring(0,j+1); } }
1.注意,这里的i>=0,要写在前面。这样对后面数组检查时,不会越界异常。

4.4 左旋字符串
StringBuilder sb =new StringBuilder(s);
StringBuilder里有reverse方法,但是是颠覆整个字符串里的长度,不能定长颠覆。。
几个常用的方法。
1.sb.length(),求sb的长度。
2.长度表示的是字符的个数,容量表示的是可用于最新插入字符的存储量。
sb.capacity()。
String s=sb.toString();可以把这个再转回String类型。
3.可以用StringBuilder的setChar方法修改,里面的字符。
setCharAt(下标,值)。
4.5 实现strStr()。

class Solution { public int strStr(String haystack, String needle) { if(needle==""){ return 0; } char[] a=haystack.toCharArray(); char[] b=needle.toCharArray(); int Aindex=0; int Bindex=0; while(Aindex<a.length){ while(Aindex<a.length&&a[Aindex]!=b[0]){ Aindex++; } if(Aindex==a.length){ return -1; } int result=Aindex;//记录首次出现的位置。 while(Bindex<b.length&&Aindex<a.length){ if(a[Aindex]==b[Bindex]){ Aindex++; Bindex++; }else{ Bindex=0; Aindex=result+1; break; } } if(Bindex==b.length){ return result; } } return -1 ; } }
4.6 检查一个字符串是否可以由它的子字符串多次构成。(KMP算法讲解)
其实还可以,遍历一遍字符串s, 整个char [] a=new int char[26] ,记录每个字符出现的次数。
1.次数必须都相等。
2.用索引 Index遍历 字符串s,用[0 ,index] 区间的字符串来 重复处理,看看字符数组里的结果,是否最终都为0。
讯享网class Solution { //只需要判断 该字符串是不是循环的即可。 //整一个辅助字符串,作为循环子串。 public boolean repeatedSubstringPattern(String s) { char c=s.charAt(0); String work=s.substring(0,1); boolean flag=false; for(int i=1;i<s.length();i++) { if(c==s.charAt(i)) { //再次碰到第一次字符 if(isRepeat(work,s)) { flag=true; } } work+=s.substring(i,i+1); } return flag; } public boolean isRepeat(String work,String s) { int leftLength=s.length(); for(int i=0;i<s.length();i+=work.length()) { if(leftLength<work.length()) return false; //说明剩下的 都不够一个子串,那肯定不满足。 if(!work.equals(s.substring(i,i+work.length()))) { return false; } leftLength-=work.length(); } return true; } }
4.6.1 kmp算法理论
KMP算法,解决字符串匹配的问题。
前缀:不包括最后一个。

后缀,不包括首字母。

最长相等前缀。拿aabaa来说事,这个最长相等前后缀,不能是aba。应该是前缀aa,和后缀aa,一个从左面出发不能跳过首字母,一个从右边出发不跳过最后一个字母。


这就是aabaaf的的前缀表。在f点不匹配的时候,我们看这里最长相等前缀是2,然后我们跳转到下标为2的位置,也就是b那里。

思路:f点不匹配,看除去f点,串的最长相等前后缀,实际就是一个对称。我们找到那个点就行。
那个点下标就是最长相等前后缀的长度。
很多KMP算法里用next数组或者prefix作为数组名。

有的算法里,有人把长度整体往左移动以为,-1,后面找到了,还会加回来。

4.6.2 kmp求next数组(代码篇)
求前缀表的具体代码。f那个位置就是冲突位置,遇见冲突位置,我们要回到前面去。
3种寻找方式:
类型2: f那里的0不要了,直接所有的数右移动,左面补-1。这样不用在往左走一步读取。
类型3:还是找前一位,但是会把这个1加上来。

代码硬背即可。最后一个判断是否有重复字符串的操作。
看图即可。
背即可:如果len % (len - (next[len - 1] )) == 0 ,则说明 (数组长度-最长相等前后缀的长度) 正好可以被 数组的长度整除,说明有该字符串有重复的子字符串

class Solution { public boolean repeatedSubstringPattern(String s) { if (s.equals("")) return false; int len = s.length(); // 原串加个空格(哨兵),使下标从1开始,这样j从0开始,也不用初始化了 s = " " + s; char[] chars = s.toCharArray(); int[] next = new int[len + 1]; // 构造 next 数组过程,j从0开始(空格),i从2开始 for (int i = 2, j = 0; i <= len; i++) { // 匹配不成功,j回到前一位置 next 数组所对应的值 while (j > 0 && chars[i] != chars[j + 1]) j = next[j]; // 匹配成功,j往后移 if (chars[i] == chars[j + 1]) j++; // 更新 next 数组的值 next[i] = j; } // 最后判断是否是重复的子字符串,这里 next[len] 即代表next数组末尾的值 if (next[len] > 0 && len % (len - next[len]) == 0) { return true; } return false; } }
5.栈与队列
5.1 用栈实现队列功能
思路:用两个栈,来模拟一个队列。连续删除俩一样的元素。栈顶的,和没进来的就不让它进来了。
用栈实现队列的下列功能。

讯享网class MyQueue { //指定俩,作为出入。 Stack<Integer> stackIn; Stack<Integer> stackOut; public MyQueue() { stackIn = new Stack<>(); // 负责进栈 stackOut = new Stack<>(); // 负责出栈 } public void push(int x) { stackIn.push(x);//队列的push放入栈里。 } //把一个栈的元素在塞到另一个栈。 public int pop() { dumpstackIn();// return stackOut.pop();//然后从用来出的这个栈出即可。 } //返回队列首部的元素。也就是返回第二个用来出的栈的首部元素。 public int peek() { dumpstackIn(); return stackOut.peek(); } public boolean empty() { return stackIn.isEmpty() && stackOut.isEmpty(); //如果这俩都空,则说明这个也空了。 } // 如果stackOut为空,那么将stackIn中的元素全部放到stackOut中 private void dumpstackIn(){ if (!stackOut.isEmpty()) return; while (!stackIn.isEmpty()){ stackOut.push(stackIn.pop()); } } }
5.2 用队列实现栈
思路:一个队列在模拟栈弹出元素的时候只要将队列头部的元素(除了最后一个元素外) 重新添加到队列尾部,此时在去弹出元素就是栈的顺序了。
实现以下的功能。

队列的6个功能

我们用java的deque这个数据结构。
Deque是double ended queue,将其理解成双端结束的队列,双端队列,可以在首尾插入或删除元素。

Deque<Integer> deque1=new ArrayDeque<>();用 ArrayDeque来接受。

class MyStack { // Deque 接口继承了 Queue 接口 // 所以 Queue 中的 add、poll、peek等效于 Deque 中的 addLast、pollFirst、peekFirst,两个方向,一个是first,队列首部方向,一个last队列尾部方向。 Deque<Integer> que1; public MyStack() { que1= new ArrayDeque<>(); } public void push(int x) { que1.addLast(x);//添加的时候,添加到队列尾部。 } //移除栈顶元素的时候,就把前面所有的值,除了最后一个,再重新加到队列尾部。 public int pop() { int size = que1.size(); size-=1; // 将 que1 导入 que2 ,但留下最后一个值,比如有5个,我们现在还操作4次。 while (size> 0) { que1.addLast(que1.peekFirst());//addlast从尾部加进去。 que1.pollFirst(); size--; } int res = que1.pollFirst(); return res; } //peaklast是获取队尾部元素,栈顶就是它的尾部。 public int top() { return que1.peekLast(); } public boolean empty() { return que1.isEmpty(); } }
5.3 有效的括号
就是看字符串里的括号是否闭合。

第一种情况:已经遍历完了字符串,但是栈不为空,说明有相应的左括号没有右括号来匹配,所以return false
第二种情况:遍历字符串匹配的过程中,发现栈里没有要匹配的字符。所以return false
第三种情况:遍历字符串匹配的过程中,栈已经为空了,没有匹配的字符了,说明右括号没有找到对应的左括号return false
那么什么时候说明左括号和右括号全都匹配了呢,就是字符串遍历完之后,栈是空的,就说明全都匹配了。
讯享网class Solution { public boolean isValid(String s) { Deque<Character> deque = new LinkedList<>();//泛型里放字符是这样的。 char ch; //然后挨个遍历字符串。 for(int i=0;i<s.length();i++){ ch=s.charAt(i); //碰见左括号就把相应的右括号入栈,后面栈顶碰到字符串里遍历位置的右括号,就pop这个括号。 if(ch=='('){ deque.push(')'); }else if(ch=='{'){ deque.push('}'); }else if(ch=='['){ deque.push(']'); }else if(deque.isEmpty()||deque.peek() != ch){ //如果栈空了,或者与栈顶的不匹配。 return false; }else{ //走到这步,说明正好与栈顶的匹配。 deque.pop(); } } //for循环遍历完了,检查左面的栈是否为空,如果非空,则说明有剩下的没匹配 return deque.isEmpty(); } }
5.4 删除字符串里相邻重复项(得用栈,我第二次用了数组,很难受)

思路:用一个栈,相邻对对碰。
如果输入的正好等于栈顶,那么我们就不让这个进去,并且让栈顶的出来。
class Solution { public String removeDuplicates(String s) { //ArrayDeque会比LinkedList在除了删除元素这一点外会快一点 ArrayDeque<Character> deque=new ArrayDeque<>(); char ch; for(int i=0;i<s.length();i++){ ch=s.charAt(i); //什么时候入?当deque里面是空,或者跟ch不等的时候入。 if(deque.isEmpty() || deque.peek() != ch){ deque.push(ch); }else{ deque.pop(); } } //不用再检查重复了,相邻的俩一定删了。 String str=""; while(!deque.isEmpty()){ str=deque.pop() + str; } return str; } }
5.5 逆波兰表达式
逆波兰表达式就是运算符写在后面的后缀表达式。

老思路:一个栈放运算符,另一个栈放运算数和结果。
新思路:一个栈解决。两个字符挨后面跟着一个运算符就要被转化成和,重新放进栈。
讯享网class Solution { public int evalRPN(String[] tokens) { Deque<Integer> stack = new LinkedList(); for (int i = 0; i < tokens.length; ++i) { if ("+".equals(tokens[i])) { // leetcode 内置jdk的问题,不能使用==判断字符串是否相等 stack.push(stack.pop() + stack.pop()); // 注意 - 和/ 需要特殊处理 } else if ("-".equals(tokens[i])) { stack.push(-stack.pop() + stack.pop()); } else if ("*".equals(tokens[i])) { stack.push(stack.pop() * stack.pop()); } else if ("/".equals(tokens[i])) { int temp1 = stack.pop(); int temp2 = stack.pop(); stack.push(temp2 / temp1); } else { stack.push(Integer.valueOf(tokens[i])); } } return stack.pop(); } }
5.6 滑动窗口最大值
这题本来打算暴力激活成功教程。
用O(m*k)的复杂度解决。
结果最后几个测试用例,数据集太大。

无奈只能改思路:弄一个单调的队列。左面pop,右边push。
pop的规则是,如果要pop的元素等于队头的最大的元素,则pop队头,否则不管。
push的规则是,如果入口里呆着的元素,比要push的元素小,就从入口里滚蛋。从入口给你弹出!
如果入口里呆着的元素比要push进来的元素大,则让这个数push进来。
这样可以形成,出口最大的,单调递减队列。
所以,对于这个队列的定义,我们得重写pop和push的方法。
class Solution { public int[] maxSlidingWindow(int[] nums, int k) { if(nums.length==1){ return nums; } int[] result=new int[nums.length-k+1]; int index=0; MyQueue que=new MyQueue(); int pre=0; int last=k-1;//先为前k个维护初始队列。 for(int i=0;i<=last;i++){ que.add(nums[i]); } result[index++]=que.front(); //然后滑动。 //双指针维护滑动窗口删除与新入。 while(last<nums.length-1){ last++; pre++; que.poll(nums[pre-1]); que.add(nums[last]); result[index++]=que.front(); } return result; } } class MyQueue{ //里面维护我们要用的队列。得用双向的dequeue,里面既能操作队头又能操作队尾。first和last得区别。last队尾进,first队头出。 Deque<Integer> deque= new LinkedList<>(); void poll(int val){ if(!deque.isEmpty() && deque.peekFirst()==val){ deque.poll(); } } void add(int val){ while(!deque.isEmpty()&& val>deque.peekLast()){ deque.pollLast(); } deque.offerLast(val); } int front(){ return deque.peekFirst(); } }
5.7 前k个高频元素。
map记录频率。然后用堆对权值进行排序。发·

那么问题来了,定义一个大小为k的大顶堆,在每次移动更新大顶堆的时候,每次弹出都把最大的元素弹出去了,那么怎么保留下来前K个高频元素呢。
而且使用大顶堆就要把所有元素都进行排序,那能不能只排序k个元素呢?
所以我们要用小顶堆,因 为要统计最大前k个元素,只有小顶堆每次将最小的元素弹出,最后小顶堆里积累的才是前k个最大元素。
5.7.1 堆结构的优秀实现类。
用到一个类,Priorityqueue ,里面用lamda表达式,书写了,排序规则。
构造器里传入了比较器,来形成最小堆。传入了一个comparetor里的compare方法的重写。
compare(int o1, int o2)方法
return o1 - o2 是升序
return o2 - o1 是降序。
讯享网(o1, o2) -> o1.getValue() - o2.getValue()
class Solution { public int[] topKFrequent(int[] nums, int k) { int[] result=new int[k]; Map<Integer,Integer> map= new HashMap<>(); for(int i=0;i<nums.length;i++){ if(map.containsKey(nums[i])){ int a=map.get(nums[i]); map.put(nums[i],a+1); }else{ map.put(nums[i],1); } } //拿一个set集合里面装map得键值对。 Set<Map.Entry<Integer, Integer>> entries = map.entrySet(); //定义一个最小堆,和传入比较器,最小堆里默认升序。 PriorityQueue<Map.Entry<Integer, Integer>> queue = new PriorityQueue<>((o1, o2) -> o1.getValue() - o2.getValue()); //然后遍历从map里拿出来的键值对。挨个放进我们的最小堆。 for (Map.Entry<Integer, Integer> entry : entries) { queue.offer(entry); if (queue.size() > k) { queue.poll();//小的先出,最后出的就剩K个了。 } } //然后遍历我们的最小堆。装进数组里,从后往前装。 for(int i=k-1;i>=0;i--){ result[i]=queue.poll().getKey(); } return result; } }
6.二叉树
完全二叉树可以用数组存储。如果父节点的数组下标是 i,那么它的左孩子就是 i * 2 + 1,右孩子就是 i * 2 + 2。
java树节点的数据结构:
讯享网public class TreeNode { int val; TreeNode left; TreeNode right; TreeNode() {} TreeNode(int val) { this.val = val; } TreeNode(int val, TreeNode left, TreeNode right) { this.val = val; this.left = left; this.right = right; } }
6.1 二叉树的递归遍历
// 前序遍历·递归·LC144_二叉树的前序遍历 class Solution { public List<Integer> preorderTraversal(TreeNode root) { List<Integer> result = new ArrayList<Integer>(); preorder(root, result); return result; } public void preorder(TreeNode root, List<Integer> result) { if (root == null) { return; } result.add(root.val); preorder(root.left, result); preorder(root.right, result); } } // 中序遍历·递归·LC94_二叉树的中序遍历 class Solution { public List<Integer> inorderTraversal(TreeNode root) { List<Integer> res = new ArrayList<>(); inorder(root, res); return res; } void inorder(TreeNode root, List<Integer> list) { if (root == null) { return; } inorder(root.left, list); list.add(root.val); // 注意这一句 inorder(root.right, list); } } // 后序遍历·递归·LC145_二叉树的后序遍历 class Solution { public List<Integer> postorderTraversal(TreeNode root) { List<Integer> res = new ArrayList<>(); postorder(root, res); return res; } void postorder(TreeNode root, List<Integer> list) { if (root == null) { return; } postorder(root.left, list); postorder(root.right, list); list.add(root.val); // 注意这一句 } }
6.2 二叉树的迭代遍历
递归的实现就是:每一次递归调用都会把函数的局部变量、参数值和返回地址等压入调用栈中,然后递归返回的时候,从栈顶弹出上一次递归的各项参数,所以这就是递归为什么可以返回上一层位置的原因。
放进栈里,拿出来,再压进去,的反复过程。
6.2.1前序遍历(迭代法)
前序遍历是中左右,每次先处理的是中间节点,那么先将根节点放入栈中,然后将右孩子加入栈,再加入左孩子。因为这样出栈的时候才是中左右的顺序。
C+,st是声明的栈。中右左放进栈。先对中处理,读到中,然后让它出来。
中已经出栈了,根据读到的,放进右左子。
讯享网while (!st.empty()) { TreeNode* node = st.top(); // 中 st.pop(); result.push_back(node->val); if (node->right) st.push(node->right); // 右(空节点不入栈) if (node->left) st.push(node->left); // 左(空节点不入栈) }
6.2.2 后续遍历(迭代法)
中左右,然后把数组里
翻转一下即可。

6.2.3 中序遍历(迭代法)。
方法:一直走左面,把左面所有的结点都入栈。然后挨个访问,再访问它的右子即可。
class Solution { public: vector<int> inorderTraversal(TreeNode* root) { vector<int> result; stack<TreeNode*> st; TreeNode* cur = root; while (cur != NULL || !st.empty()) { if (cur != NULL) { // 指针来访问节点,访问到最底层 st.push(cur); // 将访问的节点放进栈 cur = cur->left; // 左 } else { cur = st.top(); // 从栈里弹出的数据,就是要处理的数据(放进result数组里的数据) st.pop(); result.push_back(cur->val); // 中 cur = cur->right; // 右 } } return result; } };
6.3 二叉树的层次遍历(从上往下遍历)
老思路:拿个队列做辅助。
讯享网class Solution { //双层嵌套,后面的也得加上泛型。 List<List<Integer>> result=new ArrayList<List<Integer>>(); public List<List<Integer>> levelOrder(TreeNode root) { check(root); return result; } void check(TreeNode node){ //BFS,一个队列即可。 if(node==null){ return; } //队列里装的是结点,因为还要访问它的儿子们。 Queue<TreeNode> que=new LinkedList<>(); que.offer(node); while(!que.isEmpty()){ List<Integer> floor=new ArrayList<>(); int len=que.size();//len记录这一层的个数。 while(len>0){ TreeNode temp=que.poll(); floor.add(temp.val); if(temp.left!=null) que.offer(temp.left); if(temp.right!=null) que.offer(temp.right); len--; } result.add(floor);//把这层的加进去。 } } }
6.4 二叉树的层次遍历(从下往上遍历)
思路很容易,
//我们已经换成LinkedList,它实现了List接口。双向队列。
//每次都往头塞,每次往头塞。
/ * Definition for a binary tree node. * public class TreeNode { * int val; * TreeNode left; * TreeNode right; * TreeNode() {} * TreeNode(int val) { this.val = val; } * TreeNode(int val, TreeNode left, TreeNode right) { * this.val = val; * this.left = left; * this.right = right; * } * } */ class Solution { LinkedList<List<Integer>> result=new LinkedList<>(); //我们已经换成LinkedList,它实现了List接口。双向队列。 public List<List<Integer>> levelOrderBottom(TreeNode root) { check01(root); return result; } void check01(TreeNode node){ if(node==null){ return ; } Queue<TreeNode> que=new LinkedList<>(); que.offer(node); while(!que.isEmpty()){ List<Integer> list=new ArrayList<>(); int len=que.size(); while(len>0){ TreeNode temp =que.poll(); list.add(temp.val); if(temp.left!=null) que.offer(temp.left); if(temp.right!=null) que.offer(temp.right); len--; } //每次都往头塞 result.addFirst(list); } } }
6.5 二叉树的右视图
只看二叉树的右边。
思路:使用层次遍历,每次保存这一层的最后一个结点即可。

最后一个,就是len等于1的时候。

讯享网class Solution { List<Integer> result=new ArrayList<>(); public List<Integer> rightSideView(TreeNode root) { check(root); return result; } void check(TreeNode node){ if(node==null){ return; } Queue<TreeNode> que=new LinkedList<>(); que.offer(node); while(!que.isEmpty()){ int len=que.size(); while(len>0){ TreeNode temp=que.poll(); if(len==1){ result.add(temp.val); } if(temp.left!=null) que.offer(temp.left); if(temp.right!=null) que.offer(temp.right); len--; } } } }
6.6 二叉树的层平均值
每层while结束后,求一下,放进result即可。

6.7遍历N叉树
不同之处,node的数据结构里,有孩子的数组。

6.8 在每个树行中找最大值。
这里让max等于peek的值。提前读入下一行,第一个的值,以免下一行只有一个。

6.9 填充每个结点的下一个指针,让它指向它的右边。
数据结构多了个next指针。层次遍历即可。


class Solution { public Node connect(Node root) { check(root); return root; } void check(Node node){ if(node==null){ return; } Queue<Node> que=new LinkedList<>(); que.offer(node); while(!que.isEmpty()){ int len=que.size(); while(len>0){ Node temp=que.poll(); if(len==1){ temp.next=null; }else{ temp.next=que.peek(); } if(temp.left!=null) que.offer(temp.left); if(temp.right!=null) que.offer(temp.right); len--; } } } }
6.10 二叉树的最小深度
思路:发现这个结点没有子的时候,立马记下这个层数与最小的比较。
1.层次遍历做法:

讯享网class Solution { int min=0; public int minDepth(TreeNode root) { return check(root); } int check(TreeNode node){ if(node==null){ return 0; } Queue<TreeNode> que=new LinkedList<>(); que.offer(node); while(!que.isEmpty()){ min+=1; int len=que.size(); while(len>0){ TreeNode temp=que.poll(); if(temp.left==null&&temp.right==null) return min; if(temp.left!=null) que.offer(temp.left); if(temp.right!=null) que.offer(temp.right); len--; } } return min;//如果是一趟斜着下来的,就只能最后返回min。 } }
2. 递归尽量别用,处理大数据,对空间要求大。
6.11 交换左右子树
思路:返回值为root。
class Solution { public TreeNode invertTree(TreeNode root) { if(root==null){ return null; } TreeNode temp=root.left; root.left=root.right; root.right=temp; invertTree(root.left); invertTree(root.right); return root; } }
6.12 对称二叉树
看看是不是对称的,我们可以比较一下
左子树的右子树是否等于右子树的左子树 以及右子树是否等于左子树。
讯享网public boolean isSameTree(TreeNode p, TreeNode q) { if (p == null && q == null) { return true; } else if (p == null || q == null) { return false; } else if (p.val != q.val) { return false; } else { return isSameTree(p.left, q.right) && isSameTree(p.right, q.left); } } public boolean isSymmetric(TreeNode root) { return isSameTree(root.left,root.right); }
6.13 完全二叉树的结点个数
层次遍历的同时,统计一下个数。
6.14 平衡二叉树的判定
class Solution { //先判断根结点平衡不,再去判断俩子结点是否平衡。 public boolean isBalanced(TreeNode root) { if(root==null) return true; int left=getHigh(root.left); int right=getHigh(root.right); if(Math.abs(left-right)>1) return false; return isBalanced(root.left)&&isBalanced(root.right); } public int getHigh(TreeNode root){ if(root==null){ return 0; } int a=getHigh(root.left); int b=getHigh(root.right); return a>b?a+1:b+1; } }
6.15 访问到所有叶子结点的路径
list集合的remove方法可以删除指定地方的数据。这题可以用栈来回溯。
用到栈里的局部变量:如果局部变量S这一层是1,进入下一层了,我让S+=1;在下一层它是2,
回到这一层它还是1。
讯享网class Solution { public List<String> binaryTreePaths(TreeNode root) { List<String> ret = new ArrayList<>(); if(root==null) return ret; solve(root, "", ret); return ret; } public void solve(TreeNode root, String cur, List<String> ret){ if(root==null) return; cur += root.val; if(root.left==null&&root.right==null){ ret.add(cur); }else{ solve(root.left, cur+"->", ret); solve(root.right, cur+"->", ret); } } }
回溯的算法:
class Solution { List<Integer> list=new ArrayList<>(); List<String> resulet=new ArrayList<>(); public List<String> binaryTreePaths(TreeNode root) { pre(root); return resulet; } void pre(TreeNode node){ if(node!=null){ list.add(node.val); }else{ return; } if(node.left==null&&node.right==null){ int len=list.size(); String a=""+list.get(0); for(int i=1;i<=len-1;i++){ a+="->"; a+=list.get(i); } resulet.add(a); } pre(node.left); pre(node.right); //回溯,这里返回上一层之前,去掉栈里的元素。 list.remove(list.size()-1); return; } }
6.16 判断两只二叉树是否相等。
讯享网class Solution { public boolean isSameTree(TreeNode p, TreeNode q) { if(q==null&&p!=null){ return false; }else if(q!=null&&p==null){ return false; }else if(q==null&&p==null){ return true; }else{ if(q.val==p.val){ return isSameTree(p.left,q.left)&&isSameTree(p.right,q.right); }else{ return false; } } } }
6.17 二叉树的左叶子之和

思路:不能用层次遍历。出现这种情况不好处理。

随便用一个遍历,加上一句判断即可。
class Solution { int sum=0; public int sumOfLeftLeaves(TreeNode root) { pre(root); return sum; } void pre(TreeNode node){ if(node==null){ return ; } if(node.left!=null&&node.left.left==null&node.left.right==null){ sum+=node.left.val; } pre(node.left); pre(node.right); } }
6.18 找到树,最左下角的值
层次遍历找到最后一层第一个。
6.19 是否存在路径之和等于目标值
需要一个辅助栈。
题目:给定一个二叉树和一个目标和,所有到叶子结点的这条路径上的结点和,如果等于target,那么返回true,否则为false。
思路:回溯,找到所有到叶子结点的路径,然后与target比较。
讯享网class Solution { List<Integer> list =new ArrayList<>();//用栈放自己到过的路径。 Boolean flag=false; public boolean hasPathSum(TreeNode root, int targetSum) { pre(root,targetSum); return flag; } void pre(TreeNode root,int targetSum){ if(root!=null){ list.add(root.val); }else{ return ; } if(root.left==null&&root.right==null){ int sum=0; for(int num:list){ sum+=num; } if(sum==targetSum){ flag=true; } } pre(root.left,targetSum); pre(root.right,targetSum); //这里回溯。 list.remove(list.size()-1); return ; } }
6.20 路径之和等于目标值的全部路径
用6.19里的栈回溯,如果碰到目标值,就把这个路径添加。
class Solution { List<Integer> list =new ArrayList<>(); List<List<Integer>> result=new ArrayList<List<Integer>>(); public List<List<Integer>> pathSum(TreeNode root, int targetSum) { pre(root,targetSum); return result; } void pre(TreeNode root,int targetSum){ if(root!=null){ list.add(root.val); }else{ return ; } if(root.left==null&&root.right==null){ int sum=0; List<Integer> list1 =new ArrayList<>(); for(int num:list){ sum+=num; list1.add(num); } if(sum==targetSum){ result.add(list1); } } pre(root.left,targetSum); pre(root.right,targetSum); //这里回溯。 list.remove(list.size()-1); return ; } }
6.21 用中序遍历结果和后序遍历结果构造二叉树。
找到分割区间,然后将整个序列分成左右子树,分别创建全新数组传进去。
然后递归建立。
步骤:找到根,建立结点,然后递归左右子树,然后返回根节点。
用Arrays.copyOfRange,可以拷贝【),数组,建立一个新数组。
讯享网class Solution { public TreeNode buildTree(int[] inorder, int[] postorder) { int len_in=inorder.length; int len_out=postorder.length; if(len_in==0||len_out==0){//如果有一个空了,返回null。 return null; } int index=0; TreeNode root=new TreeNode(postorder[len_out-1]); for(int i=0;i<len_in;i++){ if(inorder[i]==postorder[len_out-1]){ index=i; } } //左子 int[] in1=Arrays.copyOfRange(inorder,0,index); int[] in2=Arrays.copyOfRange(postorder,0,index); //右子 int[] out1=Arrays.copyOfRange(inorder,index+1,len_in); int[] out2=Arrays.copyOfRange(postorder,index,len_in-1); root.left=buildTree(in1,in2); root.right=buildTree(out1,out2); return root; } }
6.22 从前序与中序遍历构造二叉树
判断条件,有一个长度为0,返回null。注意代码里参数传递的顺序。
class Solution { public TreeNode buildTree(int[] preorder, int[] inorder) { int len_pre=preorder.length; int len_in=inorder.length; if(len_pre==0||len_in==0){//如果有一个空了,返回null。 return null; } int index=0; TreeNode root=new TreeNode(preorder[0]); for(int i=0;i<len_in;i++){ if(inorder[i]==preorder[0]){ index=i; break; } } //左子 int[] in1=Arrays.copyOfRange(inorder,0,index); int[] in2=Arrays.copyOfRange(preorder,1,index+1); //右子 int[] out1=Arrays.copyOfRange(inorder,index+1,len_in); int[] out2=Arrays.copyOfRange(preorder,index+1,len_pre); //这里的in2,与in1 的参数传递也得注意。 root.left=buildTree(in2,in1); root.right=buildTree(out2,out1); return root; } }
6.23 最大二叉树

思路:找到最大的index和最大值,建立根节点。然后左边剩下的数组递归建左子树,右边剩下的数组递归建立右子树。
讯享网class Solution { public TreeNode constructMaximumBinaryTree(int[] nums) { if(nums.length==0){ return null; } if(nums.length==1){ return new TreeNode(nums[0]); } int max=0; int maxIndex=0; for(int i=0;i<nums.length;i++){ if(max<nums[i]){ max=nums[i]; maxIndex=i; } } TreeNode root=new TreeNode(max); int[] left=Arrays.copyOfRange(nums,0,maxIndex); int[] right=Arrays.copyOfRange(nums,maxIndex+1,nums.length); root.left=constructMaximumBinaryTree(left); root.right=constructMaximumBinaryTree(right); return root; } }
6.24 合并二叉树
递归这两个树,用它们的值。建一个新二叉树。
注意:有空时,还得继续往下走。
class Solution { public TreeNode mergeTrees(TreeNode root1, TreeNode root2) { //挨个遍历即可。 //新建一个子树。 TreeNode t=null; if(root1==null&&root2!=null){ t=new TreeNode(root2.val); //这里要记住,还得继续往下走,谁空。谁的子树传空。 t.left=mergeTrees(null,root2.left); t.right=mergeTrees(null,root2.right); }else if(root1!=null&&root2==null){ t=new TreeNode(root1.val); t.left=mergeTrees(root1.left,null); t.right=mergeTrees(root1.right,null); }else if(root1==null&&root2==null){ return null; }else{ t=new TreeNode(root2.val+root1.val); t.left=mergeTrees(root1.left,root2.left); t.right=mergeTrees(root1.right,root2.right); } return t; } }
6.25 验证是不是二叉搜索树(二叉排序树)
二叉搜索树,左子小于它右子大于他。
题目1:查找target结点,无脑先序遍历即可。
题目2:验证是不是二叉搜索树。思路:中序遍历即可。中序遍历二叉排序树的序列,生成一个数组。如果是二叉排序树,则数组里装的遍历结果是有序的。
中序遍历之前得判断是不是空。
题目2:代码
讯享网class Solution { List<Integer> list=new ArrayList<>(); public boolean isValidBST(TreeNode root) { in(root); for(int i=0;i<list.size()-1;i++){ if(list.get(i)>=list.get(i+1)){ return false; } } return true; } public void in(TreeNode root){ if(root.left!=null) in(root.left); if(root==null){ return ; }else{ list.add(root.val); } if(root.right!=null) in (root.right); } }
6.26 二叉搜索树的最小差值。
思路:中序遍历即可。中序遍历二叉排序树的序列,生成一个数组。如果是二叉排序树,则数组里装的遍历结果是有序的。然后我们挨个比较相邻两个结点,找出最小差值。
class Solution { List<Integer> list=new ArrayList<>(); public int getMinimumDifference(TreeNode root) { in(root); int min=list.get(list.size()-1)-list.get(0); //初始值设为最大相差值。 for(int i=0;i<list.size()-1;i++){ int a=list.get(i+1)-list.get(i); if(a<min){ min=a; } } return min; } public void in(TreeNode root){ if(root.left!=null) in(root.left); if(root==null){ return ; }else{ list.add(root.val); } if(root.right!=null) in (root.right); } }
6.27 二叉搜索树中的众数
中序遍历,然后找众数即可。相同的数,肯定是相邻的。
用map记录出现的次数,在map里找到最大,然后把它们都装进数组。
讯享网class Solution { Map<Integer,Integer> map=new HashMap<>(); public int[] findMode(TreeNode root) { in(root); //遍历map int max=1; Set<Map.Entry<Integer, Integer>> entrySet = map.entrySet(); for (Map.Entry<Integer, Integer> thisSet : entrySet) { if(thisSet.getValue()>max){ max=thisSet.getValue(); } } int index=0; List<Integer> list=new ArrayList<>(); for (Map.Entry<Integer, Integer> thisSet : entrySet) { if(thisSet.getValue()==max){ list.add(thisSet.getKey()); } } int[] result=new int[list.size()]; for(int num:list){ result[index++]=num; } return result; } public void in(TreeNode root){ if(root.left!=null) in(root.left); if(root==null){ return ; }else{ if(!map.containsKey(root.val)){ map.put(root.val,1); }else{ int a=map.get(root.val); map.put(root.val,a+1); } } if(root.right!=null) in (root.right); } }
6.28 二叉树中最近的公共祖先。
用栈,当找到该点时,把结果添加到list里。然后在两个list里,从后往前寻找,第一个公共祖先是最近的。
class Solution { //整两个栈,栈里都是的祖先。 List<TreeNode> list1=new ArrayList<>(); List<TreeNode> list2=new ArrayList<>(); Deque<TreeNode> que=new LinkedList<>(); public TreeNode lowestCommonAncestor(TreeNode root, TreeNode p, TreeNode q) { preFind1(root,p); preFind2(root,q); int i1=list1.size(); int i2=list2.size(); TreeNode a=null; //从后往前找,第一个就是最近的 for(int i=i1-1;i>=0;i--){ a=list1.get(i); if(list2.contains(a)){ return a; } } return a; } void preFind1(TreeNode root, TreeNode p){ if(root==null){ return; }else{ que.offer(root); if(root==p){ while(!que.isEmpty()){ list1.add(que.poll()); } } } preFind1(root.left,p); preFind1(root.right,p); que.pollLast();//必须得从尾部出去,模拟栈。 } void preFind2(TreeNode root, TreeNode p){ if(root==null){ return; }else{ que.offer(root); if(root==p){ while(!que.isEmpty()){ list2.add(que.poll()); } } } preFind2(root.left,p); preFind2(root.right,p); que.pollLast();//必须得从尾部出去,模拟栈。 } }
6.29 二叉排序树中最近的公共祖先。
思路:上到下遍历的时候,cur节点是数值在[p, q]区间中则说明该节点cur就是最近公共祖先了。
讯享网class Solution { TreeNode t=null; public TreeNode lowestCommonAncestor(TreeNode root, TreeNode p, TreeNode q) { if(p.val<q.val){ //保证递归里左面的小 pre(root,p.val,q.val); }else{ pre(root,q.val,p.val); } return t; } void pre(TreeNode root,int val1,int val2){ if(root==null){ return ; }else{ if(root.val>=val1&&root.val<=val2){ if(t==null){//这里t只需要记录第一个出现在区间里的即可,因为我们从上到下遍历。 t=root; } } } pre(root.left,val1,val2); pre(root.right,val1,val2); } }
6.30. 二叉排序树中插入。
步骤:只要遍历二叉搜索树,找到空节点 插入元素就可以了,那么这道题其实就简单了。
遍历规则:如果比当前结点大,走右边,如果比当前结点小,走左边。
class Solution { public TreeNode insertIntoBST(TreeNode root, int val) { if(root==null){ return new TreeNode(val); } if(root.val<val){ root.right=insertIntoBST(root.right,val); }else{ root.left=insertIntoBST(root.left,val); } return root; } }
6.31 删除二叉排序树中的结点(有结点变动的,返回值都得是TreeNode)。
情况1:没找到删除的结点,遍历到空直接返回了。
情况2:删除的结点,为叶子结点,直接删除该结点,返回null给根节点即可。
情况3:删除的结点,一个孩子空,一个孩子不空,则返回它的孩子作为替补的根结点。
情况4:删除7的过程。



讯享网class Solution { public TreeNode deleteNode(TreeNode root, int key) { if(root==null){ return root; } if(root.val==key){ if(root.left==null&&root.right==null){ return null; }else if(root.left!=null&&root.right==null){ return root.left; }else if(root.left==null&&root.right!=null){ return root.right; }else{ //如果两个子树都在,就找到右边的最左,让这个最左的左为root.left。这个时候root.right当根,返回root.right。 TreeNode t=root.right; while(t.left!=null){ t=t.left; } t.left=root.left; return root.right; } }else{ root.left=deleteNode(root.left,key);//因为左子或右子会发生变动,所以这么遍历,类似于建树。 root.right=deleteNode(root.right,key); return root; } } }
7 树
7.1 修建二叉排序树
给了一个区间[a,b],确保树上所有的结点都在这个区间,如果不在,就移除这个结点,同时保持二叉排序树的有序性。
思路:遍历二叉树上的结点呗,如果不在这个区间就用 。6.31章的删除算法,需要改动的地方,
找到不在这个区间的点了还不算完,继续往子树里找。
class Solution { public TreeNode trimBST(TreeNode root, int low, int high) { if(root==null){ return root; } if(root.val<low||root.val>high){ if(root.left==null&&root.right==null){ return null; }else if(root.left!=null&&root.right==null){ // //删除了还不算完,还得往下再找,子树里可能出现。 root.left=trimBST(root.left,low,high); return root.left; }else if(root.left==null&&root.right!=null){ //删除了还不算完,还得往下再找,子树里可能出现。 root.right=trimBST(root.right,low,high); return root.right; }else{ //如果两个子树都在,就找到右边的最左,让这个最左的左为root.left。这个时候root.right当根,返回root.right。 TreeNode t=root.right; while(t.left!=null){ t=t.left; } t.left=root.left; //删除了还不算完,还得往下再找,子树里可能出现。 root.right=trimBST(root.right,low,high); return root.right; } }else{ root.left=trimBST(root.left,low,high);//因为左子或右子会发生变动,所以这么遍历,类似于建树。 root.right=trimBST(root.right,low,high); return root; } } }
7.2 往二叉排序树树里插入结点
讯享网TreeNode insert(TreeNode root,int val){ //如果是叶子结点。 if(root.left==null&&root.right==null){ if(root.val<val){ TreeNode t=new TreeNode(val); root.right=t; return root; }else{ TreeNode t=new TreeNode(val); root.left=t; return root; } }else if(root.left!=null&&root.right==null){ if(root.val<val){ TreeNode t=new TreeNode(val); root.right=t; return root; }else{ root.left=insert(root.left,val); return root; } }else if(root.left==null&&root.right!=null){ if(root.val<val){ root.right=insert(root.right,val); return root; }else{ TreeNode t=new TreeNode(val); root.left=t; return root; } }else{ root.left=insert(root.left,val); root.right=insert(root.right,val); return root; } }
7.3 将有序数组转换为二叉排序树「每个节点的左右两个子树的高度差的绝对值不超过 1 」
思路:自己规定根结点,分割数组为左右子树。然后用这些数组建立二叉排序树。
给他们分好区,每到一层,选中间的为根结点,建立。
class Solution { //有序数组已经给咱们排好序了。取数组中间的作为根结点,就普通建个树就完事。 public TreeNode sortedArrayToBST(int[] nums) { return nums==null?null : build(nums,0,nums.length-1); } //这个建树方法牛逼了。 TreeNode build(int[] nums,int left,int right){ if(left>right){ return null; } int mid=left+(right-left)/2;//找到中间点的坐标,用它来建。 TreeNode root=new TreeNode(nums[mid]); root.left=build(nums,left,mid-1); root.right=build(nums,mid+1,right); return root; } }
7.4 把二叉排序树转换为累加树。
题目:从最右边开始加,7的15,是上一个结点的8。

就是一个中序遍历的对称版,改一下遍历的顺序即可。
讯享网class Solution { int sum=0; public TreeNode convertBST(TreeNode root) { if(root==null){ return root; } travel(root); return root; } void travel(TreeNode root){ if(root.right!=null)//改变一下遍历顺序,这里先right travel(root.right); sum+=root.val; root.val=sum; if(root.left!=null) travel(root.left); } }

版权声明:本文内容由互联网用户自发贡献,该文观点仅代表作者本人。本站仅提供信息存储空间服务,不拥有所有权,不承担相关法律责任。如发现本站有涉嫌侵权/违法违规的内容,请联系我们,一经查实,本站将立刻删除。
如需转载请保留出处:https://51itzy.com/kjqy/21475.html