一、目标函数:利润最大化

二、利润最大化必要条件
1、内点解
(1)单要素情况:

(2)双要素情况:


2、角点解:
即存在投入水平为0的要素。即X>=0。我们结合该约束条件构建拉格朗日函数:

可知,当投入生产要素为0时,其边际产出价值:
必然小于该要素价格
。
注意:这里的p为产品价格,
为边际产量,两者相乘为边际价值。
三、要素需求函数的性质
1、厂商要素需求:
; 厂商产品供给:
。
产品供给为要素需求的函数;要素需求为要素价格、产品价格的函数。
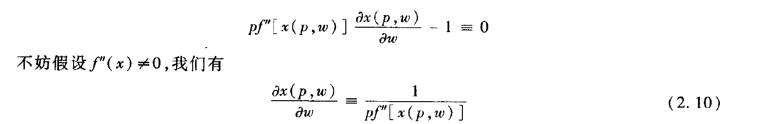
2、要素需求函数
是要素价格的减函数
(1)利润最大化的一二阶必要条件

(2)一阶必要条件等式对要素价格
求导,得

又已知二阶必要条件等式![]()
因此,要素需求函数对要素价格
的导数小于0,即要素需求是要素价格的减函数。
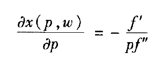
3、要素需求函数
为产品价格的增函数
(1)同样根据利润最大化的一二阶必要条件:

(2)等式(2.8)对产品价格p求导:

整理得,

又根据一阶必要条件
知
根据二阶必要条件知
,得

可知要素需求函数为产品价格的增函数。
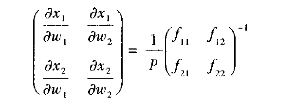
4、双要素情况:要素需求为其价格的减函数
(1)根据利润函数对产品价格求一阶导:


(2)对要素1价格
求一阶偏导 :

(3)对要素2价格
求一阶偏导 :


(4)写成矩阵形式:

求逆,得

已知利润最大化的二阶必要条件为:生产函数的海赛矩阵为半负定的

因此得等式左侧矩阵为半负定的,其主对角线元素为负值,即:

得要素需求为其价格的减函数。
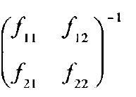
5、双要素情况:要素价格的交叉效应对称
又知生产函数的海赛矩阵为对称矩阵,即f12=f21,因此左侧矩阵同样为对称矩阵,得:

因此,要素i需求量对要素j价格的弹性 等于 要素j需求量对要素i价格的弹性,即要素价格的交叉效应对称。
四、利润函数
将厂商所能达到的最大利润定义为其利润函数

1、利润函数的性质
(1)
是产品价格p的增函数,是每一要素价格
的减函数;
(2)
是
的一次齐次函数:
;
(3)
是
的凸函数。
2、证明:
是产品价格p的增函数
(1)设要素需求函数
,设
(2)根据利润函数定义:

知 
(3)因为
为利润最大化的解,因此
大于任何利润函数,注意只改变X(p,w)的值
得
(4)又根据
知,
,
即
(5)最终得,
,证明
为产品价格p的增函数。

3、证明:
是每一要素价格
的减函数
(1)同理设

得
因为
为利润最大化的解,因此其利润函数
大于任何利润,仍然只改变X(p,w)的值

得
即
,证明
是每一要素价格
的减函数。
4、证明:利润函数为一次齐次函数
设
为利润最大化问题的解,因此其大于所有利润函数
![]()
两边同乘t,得
![]()
因此X(p,w)为下述最大化问题的解:

写出PI(tp, tw)的函数,将t提取出来,即得证。

5、证明:利润函数为(p,w)的凸函数





版权声明:本文内容由互联网用户自发贡献,该文观点仅代表作者本人。本站仅提供信息存储空间服务,不拥有所有权,不承担相关法律责任。如发现本站有涉嫌侵权/违法违规的内容,请联系我们,一经查实,本站将立刻删除。
如需转载请保留出处:https://51itzy.com/kjqy/124858.html