交通领域里有经典的两种均衡模型,User Equilibrium和System Optimal。User Equilibrium (UE)表示每个出行者都选择了成本最小的出行路径;System Optimal (SO)表示整个交通系统的总花费成本最小。
可以看到,SO与UE相比,差了一项mp,我们通常把SO情形下的路径花费叫边际成本(MC),UE情形下个人能感受到的成本叫个人成本(AV),而两者之差叫外部性。一个简单的草图如下(考虑弹性需求)。

所以如果我们收取拥堵费,就能消除外部性,最大化社会福利,增加整个交通系统的效益,这就是拥堵收费的经济学原理。
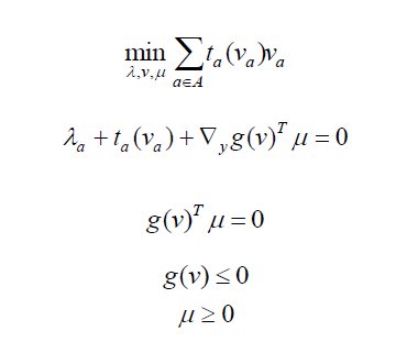
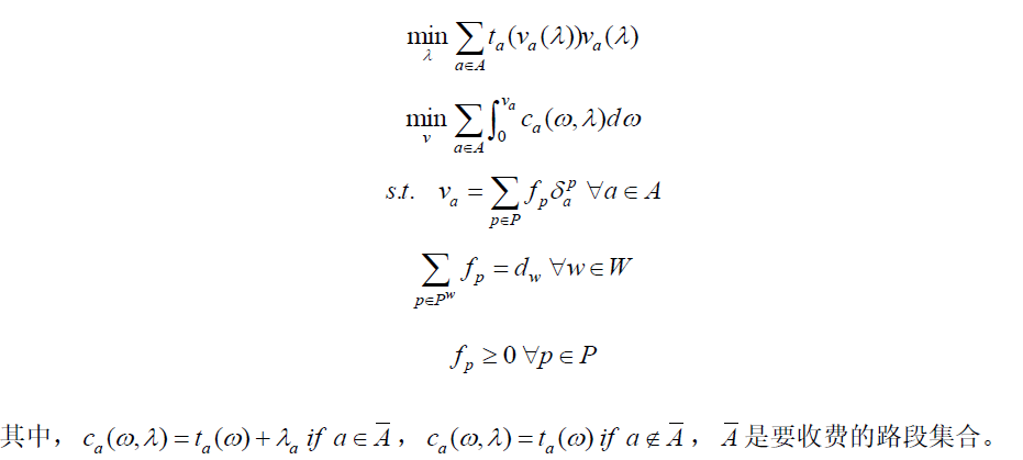
我们可以用双层规划模型去求解拥堵收费原则,上层规划要最优化交通系统(SO),下层模型决定交通加载形式(UE)。可以理解为,如果政府定价了一个交通拥堵费用λ,下层模型的演化反馈给上层模型一个流量分布v,如此来决定交通流量的最优分布。




(一种双层规划的一阶最优条件,就是把双层规划模型变为单层规划模型)
我们可以求出,
,亦即,当把外部性作为拥堵费用的定价时,刚好可以把交通系统从用户均衡推到系统最优。这就是first best pricing。但是,在实际生活中,我们很难以做到对每一条路都进行拥堵收费,一般来说只对核心区域进行收费,这种收费策略是second best pricing。我们只需要对上述模型进行少许修改即可。

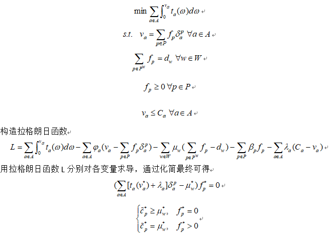
双层规划模型有时求解会带来困难,所以很多时候,我们也会通过另外一种手段去收取拥堵费用,就是通过引入流量上限side constraint(SC)。具体表现为在UE的基础上加入一个新的不等式约束。

对应于流量上限不等式约束的乘子λ,只有当不等式取等号时才不为0。所以我们可以通过引入不等式约束,确定对那些拥堵路段收取拥堵费用,从而将整个路网的流量都控制在流量界限之下。这是另外一种交通拥堵收费策略。



版权声明:本文内容由互联网用户自发贡献,该文观点仅代表作者本人。本站仅提供信息存储空间服务,不拥有所有权,不承担相关法律责任。如发现本站有涉嫌侵权/违法违规的内容,请联系我们,一经查实,本站将立刻删除。
如需转载请保留出处:https://51itzy.com/kjqy/10952.html