统计学:
“统计初步”这部分内容中,平均数是一个非常重要而又有广泛用途的概念,在日常生活中,我们经常会听到这样一些名词:平均气温、平均降雨量、平均产量、人均年收入等;而平均分数、平均年龄、平均身高等名词更熟悉
“权”的古代含义为秤砣,就是秤上可以滑动以观察重量的那个铁疙瘩。
《孟子·梁惠王上》曰:“权,然后知轻重。”。
在日常生活中,我们常用平均数表示一组数据的‘平均水平’。在一组数据里,一个数据出现的次数称为权。
例子:学校学期末成绩,期中考试占30%,期末考试占50%,作业占20%,假如某人期中考试得了84,期末92,作业分91,如果是算数平均,那么就是
讯享网;
加权后的,那么加权处理后就是
,这是在已知权重的情况下;未知权重的情况下想知道两个班的化学加权平均值,一班50人,平均80,二班60人,平均82,算数平均是
,加权后是
.
还有一种情况类似第一种也是人为规定,比如说你觉得专家的分量比较大,老师其次,学生最低,就某观点,满分10分的情况下,专家打8分,老师打7分,学生打6分,但你认为专家权重和老师及学生权重应为0.5:0.3:0.2,那么加权后就是
,而算数平均的话就是
。
小测成绩是80分,期末考成绩是90分,计算总的平均成绩,按小测40%、期末成绩60%的比例来算,平均成绩是:80×40%+90×60%=86
学校食堂吃饭,吃三碗的有 χ 人,吃两碗的有 y 人,吃一碗的 z 人。平均每人吃
。这里x、y、z分别就是权数值,“加权”就是考虑到不同变量在总体中的比例份额。
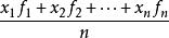
加权平均数=
,其中
,f1,f2,…,fk叫做权。通过数和权的乘积来计算 。需要注意的是:算术平均实际上是一种特殊的加权平均,即权重相同的加权平均。比如
。那么加权平均数=
,实际上确切的说是一种算术平均。
当一组数据中的某些数重复出现几次时,那么它们的平均数的表示形式发生了一定的变化.例如,某人射击十次,其中二次射中10环,三次射中8环,四次射中7环,一次射中9环,那么他平均射中的环数为:

这里,7,8,9,10这四个数是射击者射中的几个不同环数,但它们出现的频数不同,分别为4,3,1,2,数据的频数越大,表明它对整组数据的平均数影响越大,实际上,频数起着权衡数据的作用,称之为权数或权重,上面的平均数称为加权平均数,不难看出,各个数据的权重之和恰为10.
在加权平均数中,除了一组数据中某一个数的频数称为权重外,权重还有更广泛的含义.
其实,在每一个数的权数相同的情况下,加权平均值就等于算数平均值。
此外在一些体育比赛项目中,也要用到权重的思想.比如在跳水比赛中,每个运动员除完成规定动作外,还要完成一定数量的自选动作,而自选动作的难度是不同的,两位选手由于所选动作的难度系数不同,尽管完成各自动作的质量相同,但得分也是不相同的,难度系数大的运动员得分应该高些,难度系数实际上起着权重的作用.
在评估某个同学一学期的学生成绩时,一般不只看他期末的一次成绩,而是将平时测验、期中考试等成绩综合起来考虑,比如说,一同学两次单元测验的成绩分别为88,90,期中的考试成绩为92,而期末的考试成绩为85,如果简单地计算这四个成绩的平均数,即将平时测验与期中、期末考试成绩同等看待,就忽视了期末考试的重要性.鉴于这种考虑,我们往往将这四个成绩分配以不同的权重。
由于10%+10%+30%+50%=1,即各个权重之和为1,所以求加权平均数的式子中分母为1.
88×10%+90×10%+92×30%+85×50%=87.9
下面的例子是未知权重的情况:
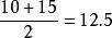
股票A,1000股,价格10;
股票B,2000股,价格15;
算数平均 =
;
加权平均 =
而普通的算术平均数的权重相等,都是1,(比如,3和5的平均数为4)也就是说它们的重要性相同,所以平均数是特殊的加权平均数.
版权声明:本文内容由互联网用户自发贡献,该文观点仅代表作者本人。本站仅提供信息存储空间服务,不拥有所有权,不承担相关法律责任。如发现本站有涉嫌侵权/违法违规的内容,请联系我们,一经查实,本站将立刻删除。
如需转载请保留出处:https://51itzy.com/kjqy/67841.html