电子电路期末考试复习预测题二(2)
目录
电子电路期末考试复习预测题二(2)
复习题二
试题库(4)交流电路
试题库(5)交流电路
试题库(6)交流电路
试题库(7)交流电路
试题库(8)暂态电路
复习题二
试题库(4)交流电路
一、填空题
1、与正弦量具有一一对应关系的复数电压、复数电流称之为 相量 。最大值 相量 的模对应于正弦量的 最大 值,有效值 相量 的模对应正弦量的 有效 值,它们的幅角对应正弦量的 初相 。不加说明时,一般指有效值相量。
2、单一电阻元件的正弦交流电路中,复阻抗Z= R ;单一电感元件的正弦交流电路中,复阻抗Z= jXL ;单一电容元件的正弦交流电路中,复阻抗Z= jXC ;电阻电感相串联的正弦交流电路中,复阻抗Z= R+jXL ;电阻电容相串联的正弦交流电路中,复阻抗Z= R+jXC ;电阻电感电容相串联的正弦交流电路中,复阻抗Z= R+j(XL+XC) 。
3、单一电阻元件的正弦交流电路中,复导纳Y= G ;单一电感元件的正弦交流电路中,复导纳Y= jBL ;单一电容元件的正弦交流电路中,复导纳Y= jBC ;电阻电感电容相并联的正弦交流电路中,复导纳Y= G+j(BC+BL) 。
4、按照各个正弦量的大小和相位关系用初始位置的有向线段画出的若干个相量的图形,称为 相量 图。
5、相量分析法,就是把正弦交流电路用相量模型来表示,其中正弦量用 相量 代替,R、L、C电路参数用对应的 复阻抗 表示,则直流电阻性电路中所有的公式定律均适用于对相量模型的分析,只是计算形式以 复数 运算代替了代数运算。
6、有效值相量图中,各相量的线段长度对应了正弦量的 有效 值,各相量与正向实轴之间的夹角对应正弦量的 初相 。相量图直观地反映了各正弦量之间的 数量 关系和 相位 关系。
7、 电压 三角形是相量图,因此可定性地反映各电压相量之间的 数量 关系及相位关系, 阻抗 三角形和 功率 三角形不是相量图,因此它们只能定性地反映各量之间的 数量 关系。
8、R、L、C串联电路中,电路复阻抗虚部大于零时,电路呈 感 性;若复阻抗虚部小于零时,电路呈 容 性;当电路复阻抗的虚部等于零时,电路呈 阻 性,此时电路中的总电压和电流相量在相位上呈 同相 关系,称电路发生串联 谐振 。
9、R、L、C并联电路中,电路复导纳虚部大于零时,电路呈 容 性;若复导纳虚部小于零时,电路呈 感 性;当电路复导纳的虚部等于零时,电路呈 阻 性,此时电路中的总电流、电压相量在相位上呈 同相 关系,称电路发生并联 谐振 。
10、R、L串联电路中,测得电阻两端电压为120V,电感两端电压为160V,则电路总电压是 200 V。
11、R、L、C并联电路中,测得电阻上通过的电流为3A,电感上通过的电流为8A,电容元件上通过的电流是4A,总电流是 5 A,电路呈 感 性。
12、复功率的实部是 有功 功率,单位是 瓦 ;复功率的虚部是 无功 功率,单位是 乏尔 ;复功率的模对应正弦交流电路的 视在 功率,单位是 伏安 。
二、判断下列说法的正确与错误
1、正弦量可以用相量来表示,因此相量等于正弦量。 ( × )
2、串联电路的总电压超前电流时,电路一定呈感性。 ( ∨ )
3、并联电路的总电流超前路端电压时,电路应呈感性。 ( × )
4、电感电容相串联,UL=120V,UC=80V,则总电压等于200V。 ( × )
5、电阻电感相并联,IR=3A,IL=4A,则总电流等于5A。 ( ∨ )
6、提高功率因数,可使负载中的电流减小,因此电源利用率提高。 ( × )
7、避免感性设备的空载,减少感性设备的轻载,可自然提高功率因数。 ( ∨ )
8、只要在感性设备两端并联一电容器,即可提高电路的功率因数。 ( × )
9、视在功率在数值上等于电路中有功功率和无功功率之和。 ( × )
三、单项选择题
1、标有额定值为“220V、100W”和“220V、25W”白炽灯两盏,将其串联后接入220V工频交流电源上,其亮度情况是( B )
A、100W的灯泡较亮 B、25W的灯泡较亮 C、两只灯泡一样亮
2、在RL串联的交流电路中,R上端电压为16V,L上端电压为12V,则总电压为( B )
A、28V B、20V C、4V
3、R、L串联的正弦交流电路中,复阻抗为( C )
4、已知电路复阻抗Z=(3-j4)Ω,则该电路一定呈( B )
A、感性 B、容性 C、阻性
5、电感、电容相串联的正弦交流电路,消耗的有功功率为( C )
![]()
6、在右图所示电路中,R=XL=XC,并已知安培表A1的读数为3A,则安培表A2、A3的读数应为( C )

A、1A、1A B、3A、0A C、4.24A、3A
7、每只日光灯的功率因数为0.5,当N只日光灯相并联时,总的功率因数( C );若再与M只白炽灯并联,则总功率因数( A )
A、大于0.5 B、小于0.5 C、等于0.5
8、日光灯电路的灯管电压与镇流器两端电压和电路总电压的关系为( B )
A、两电压之和等于总电压 B、两电压的相量和等于总电压
四、简答题
1、额定电压相同、额定功率不等的两个白炽灯,能否串联使用?
答:不能串联使用。因为额定功率不同时两个白炽灯分压不同。
2、试述提高功率因数的意义和方法。
答:提高功率因数可减少线路上的功率损耗,同时可提高电源设备的利用率,有利于国民经济的发展。提高功率因数的方法有两种:一是自然提高法,就是避免感性设备的空载和尽量减少其空载;二是人工补偿法,就是在感性线路两端并联适当的电容。
3、相量等于正弦量的说法对吗?正弦量的解析式和相量式之间能用等号吗?
答:相量可以用来表示正弦量,相量不是正弦量,因此正弦量的解析式和相量式之间是不能画等号的。
4、电压、电流相位如何时只吸收有功功率?只吸收无功功率时二者相位又如何?
答:电压、电流相位同相时只吸收有功功率,当它们相位正交时只吸收无功功率
5、阻抗三角形和功率三角形是相量图吗?电压三角形呢?
答:阻抗三角形和功率三角形都不是相量图,电压三角形是相量图。
6、并联电容器可以提高电路的功率因数,并联电容器的容量越大,功率因数是否被提得越高?为什么?是否可以用串联电容器的方法提高功率因数?
答:并联电容器可以提高电路的功率因数,但提倡欠补偿,如果并联电容器的容量过大而出现过补偿时,电路由感性变为容性,当并联电容达到某一数值时,还会导致功率因数继续下降(可用相量图分析)。实际中是不能用串联电容器的方法提高电路的功率因数的,因为串联电容器可以分压,设备的额定电压将发生变化而不能正常工作。
五、计算分析题
1、RL串联电路接到220V的直流电源时功率为1.2KW,接在220V、50Hz的电源时功率为0.6KW,试求它的R、L值。

2、已知交流接触器的线圈电阻为200Ω,电感量为7.3H,接到工频220V的电源上。求线圈中的电流I=?如果误将此接触器接到U=220V的直流电源上,线圈中的电流又为多少?如果此线圈允许通过的电流为0.1A,将产生什么后果?

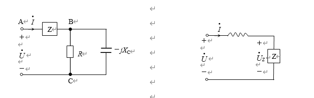
3、已知左下图所示电路中,R=XC=10Ω,UAB=UBC,且电路中路端电压与总电流同相,求复阻抗Z。
解:根据题意可知,电路中发生了串联谐振。


4、右上图所示电路中,已知Z=(30+j30)Ω,jXL=j10Ω,又知UZ =85V,求路端电压有效值U=?

5、已知感性负载两端电压u=311cos314tV,,测得电路中的有功功率为7.5KW,无功功率为5.5KVar,试求感性负载的功率因数及其串联等效参数。

6、如下图所示电路中,已知电路中电流I2=2A,US=7.07V,求电路中总电流I、电感元件电压两端电压UL及电压源US与总电流之间的相位差角。


7、电路如图所示。已知C=100pF,L=100μH,mA,电路消耗的功率P=100mW,试求电阻R和电压u(t)。


试题库(5)交流电路
一、填空题
1、在含有L、C的电路中,出现总电压、电流同相位,这种现象称为 谐振 。这种现象若发生在串联电路中,则电路中阻抗 最小 ,电压一定时电流 最大 ,且在电感和电容两端将出现 过电压 ;该现象若发生在并联电路中,电路阻抗将 最大 ,电压一定时电流则 最小 ,但在电感和电容支路中将出现 过电流 现象。
2、谐振发生时,电路中的角频率
.
3、串联谐振电路的特性阻抗![]()
4、理想并联谐振电路谐振时的阻抗Z ∞ ,总电流等于 0 。
5、交流多参数的电路中,负载获取最大功率的条件是
;负载上获取的最大功率![]()
6、品质因数越 大 ,电路的 选择 性越好,但不能无限制地加大品质因数,否则将造成 通频带 变窄,致使接收信号产生失真。
二、判断下列说法的正确与错误
1、谐振电路的品质因数越高,电路选择性越好,因此实用中Q值越大越好。 ( × )
2、串联谐振在L和C两端将出现过电压现象,因此也把串谐称为电压谐振。 ( ∨ )
3、并联谐振在L和C支路上出现过流现象,因此常把并谐称为电流谐振。 ( ∨ )
4、无论是直流还是交流电路,负载上获得最大功率的条件都是
( × )
5、品质因数高的电路对非谐振频率电流具有较强的**能力。 ( ∨ )
6、谐振状态下电源供给电路的功率全部消耗在电阻上。 ( ∨ )
三、单项选择题
1、处于谐振状态的RLC串联电路,当电源频率升高时,电路将呈现出( B )
A、电阻性 B、电感性 C、电容性
2、下列说法中,( A )是正确的。
A、串谐时阻抗最小 B、并谐时阻抗最小 C、电路谐振时阻抗最小
3、发生串联谐振的电路条件是( C )

4、正弦交流电路中,负载上获得最大功率的条件是( C )
![]()
四、简答题
1、何谓串联谐振?串联谐振时电路有哪些重要特征?
答:在含有LC的串联电路中,出现了总电压与电流同相的情况,称电路发生了串联谐振。串联谐振时电路中的阻抗最小,电压一定时电路电流最大,且在电感和电容两端出现过电压现象。
2、发生并联谐振时,电路具有哪些特征?
答:电路发生并谐时,电路中电压电流同相,呈纯电阻性,此时电路阻抗最大,总电流最小,在L和C支路上出现过电流现象。
3、为什么把串谐称为电压谐振而把并谐电路称为电流谐振?
答:串联谐振时在动态元件两端出现过电压因之称为电压谐振;并联谐振时在动态元件的支路中出现过电流而称为电流谐振。
4、何谓串联谐振电路的谐振曲线?说明品质因数Q值的大小对谐振曲线的影响。
答:电流与谐振电流的比值随着频率的变化而变化的关系曲线称为谐振曲线。由谐振曲线可看出,品质因数Q值的大小对谐振曲线影响较大,Q值越大时,谐振曲线的顶部越尖锐,电路选择性越好;Q值越小,谐振曲线的顶部越圆钝,选择性越差。
5、串联谐振电路的品质因数与并联谐振电路的品质因数相同吗?
答:串联谐振电路的品质因数
,并联谐振电路的
6、谐振电路的通频带是如何定义的?它与哪些量有关?
答:谐振电路规定:当电流衰减到最大值的0.707倍时,I/I0≥0.707所对应的频率范围称为通频带,通频带与电路的品质因数成反比,实际应用中,应根据具体情况选择适当的品质因数Q,以兼顾电路的选择性和通频带之间存在的矛盾。
五、计算分析题
1、已知一串联谐振电路的参数
外加电压
试求电路在谐振时的电流、品质因数及电感和电容上的电压。

2、已知串联谐振电路的谐振频率
通频带宽度
试求电路电阻及品质因数。

3、已知串谐电路的线圈参数为
接在角频率
的10V电压源上,求电容C为何值时电路发生谐振?求谐振电流I0、电容两端电压UC、线圈两端电压URL及品质因数Q。解:串联谐振在感抗等于容抗之处发生,据题中数据可得:

4、如右图所示电路,其中
调节电容C使电流i与电压u同相,此时测得电感两端电压为200V,电流I=2A。求电路中参数R、L、C,当频率下调为f0/2时,电路呈何种性质?


试题库(6)交流电路
一、填空题
1、当流过一个线圈中的电流发生变化时,在线圈本身所引起的电磁感应现象称 自感 现象,若本线圈电流变化在相邻线圈中引起感应电压,则称为 互感 现象。
2、当端口电压、电流为 关联 参考方向时,自感电压取正;若端口电压、电流的参考方向 非关联时 ,则自感电压为负。
3、互感电压的正负与电流的 方向 及 同名 端有关。
4、两个具有互感的线圈顺向串联时,其等效电感为 L=L1+L2+2M ;它们反向串联时,其等效电感为 L=L1+L2-2M 。
5、两个具有互感的线圈同侧相并时,其等效电感为
它们异侧相并时,其等效电感为![]()
6、理想变压器的理想条件是:①变压器中无 损耗 ,②耦合系数K= 1 ,③线圈的 自感 量和 互感 量均为无穷大。理想变压器具有变换 电压 特性、变换 电流 特性和变换 阻抗 特性。
7、理想变压器的变压比n= U1/U2 ,全耦合变压器的变压比n=![]()
8、理想变压器次级负载阻抗折合到初级回路的反射阻抗Z1n= n2ZL 。
二、判断下列说法的正确与错误
1、由于线圈本身的电流变化而在本线圈中引起的电磁感应称为自感。 ( ∨ )
2、任意两个相邻较近的线圈总要存在着互感现象。 ( × )
3、两个串联互感线圈的感应电压极性,取决于电流流向,与同名端无关。 ( × )
4、顺向串联的两个互感线圈,等效电感量为它们的电感量之和。 ( × )
5、通过互感线圈的电流若同时流入同名端,则它们产生的感应电压彼此增强。( ∨ )
三、单项选择题
1、符合全耦合、参数无穷大、无损耗3个条件的变压器称为( B )
A、空芯变压器 B、理想变压器 C、实际变压器
2、线圈几何尺寸确定后,其互感电压的大小正比于相邻线圈中电流的 ( C )
A、大小 B、变化量 C、变化率
3、两互感线圈的耦合系数K=( B )

4、两互感线圈顺向串联时,其等效电感量L顺=( C )
![]()
四、简答题
1、试述同名端的概念。为什么对两互感线圈串联和并联时必须要注意它们的同名端?
答:由同一电流产生的感应电压的极性始终保持一致的端子称为同名端,电流同时由同名端流入或流出时,它们所产生的磁场彼此增强。实际应用中,为了小电流获得强磁场,通常把两个互感线圈顺向串联或同侧并联,如果接反了,电感量大大减小,通过线圈的电流会大大增加,将造成线圈的过热而导致烧损,所以在应用时必须注意线圈的同名端。
2、何谓耦合系数?什么是全耦合?
答:两个具有互感的线圈之间磁耦合的松紧程度用耦合系数表示,如果一个线圈产生的磁通全部穿过另一个线圈,即漏磁通很小可忽略不计时,耦合系数K=1,称为全耦合。
3、理想变压器和全耦合变压器有何相同之处?有何区别?
答:理想变压器和全耦合变压器都是无损耗,耦合系数K=1,只是理想变压器的自感和互感均为无穷大,而全耦合变压器的自感和互感均为有限值。
4、何谓同侧相并?异侧相并?哪一种并联方式获得的等效电感量增大?
答:两个互感线圈的同名端两两连在一起与电源相接的方式称为同侧相并,两个异名端两两连在一起与电源相接的方式为异侧相并,同侧相并时获得的等效电感量大。
5、如果误把顺串的两互感线圈反串,会发生什么现象?为什么?
答:两互感线圈顺串时
由两式可看出,顺接时等效电感量大,因而感抗大,电压一定时电流小,如果误把顺串的两互感线圈反串,由于等效电感量大大减小,致使通过线圈的电流大大增加,线圈将由于过热而有烧损的危险。故联接时必须注意同名端
6、判断下列线圈的同名端。



解:图(a)中两线圈的磁场相互增强,因此必为顺串,所以它们相连的一对端子为异名端,如红色圆点所示;图(b)初级线圈的电流在开关闭合一瞬间变化率大于零,所以自感电动势的极性下负上正,阻碍电流的增强,次级电压表反偏,说明互感电压的极性与电压表的极性相反,即上负下正,可判断出同名端如图中红色实心点所示。
五、计算分析题
1、求图5.1所示电路的等效阻抗。

解:两线圈为异侧相并,所以等效阻抗
2、耦合电感
,试计算耦合电感作串联、并联时的各等效电感值。

3、电路如图5.4所示,求输出电压U2。

解:应用回路电流法求解。在图上标出各回路参考绕行方向,对两回路列KVL方程

4、电路如图5.5所示。①试选择合适的匝数比使传输到负载上的功率达到最大;②求1Ω负载上获得的最大功率。


试题库(7)交流电路
一、填空题
1、三相电源作Y接时,由各相首端向外引出的输电线俗称 火 线,由各相尾端公共点向外引出的输电线俗称 零 线,这种供电方式称为 三相四线 制。
2、火线与火线之间的电压称为 线 电压,火线与零线之间的电压称为 相 电压。电源Y接时,数量上
;若电源作Δ接,则数量上![]()
3、火线上通过的电流称为 线 电流,负载上通过的电流称为 相 电流。当对称三相负载作Y接时,数量上
当对称三相负载Δ接,![]()
4、中线的作用是使 不对称 Y接负载的端电压继续保持 对称 。
5、对称三相电路中,三相总有功功率P= 3UpIpcosφ ;三相总无功功率Q= 3UpIpsinφ ;三相总视在功率S= 3UpIp 。
6、对称三相电路中,由于 中线电流IN =0,所以各相电路的计算具有独立性,各相 电流电压 也是独立的,因此,三相电路的计算就可以归结为 一相 来计算。
7、我们把三个 最大值 相等、 角频率 相同,在相位上互差 120 度的正弦交流电称为 对称 三相交流电。
8、当三相电路对称时,三相瞬时功率之和是一个 常量 ,其值等于三相电路的 有功 功率,由于这种性能,使三相电动机的稳定性高于单相电动机。
9、测量对称三相电路的有功功率,可采用 二瓦计 法,如果三相电路不对称,就不能用 二瓦计 法测量三相功率。
二、判断下列说法的正确与错误
1、三相电路只要作Y形连接,则线电压在数值上是相电压的
( × )
2、三相总视在功率等于总有功功率和总无功功率之和。 ( × )
3、对称三相Y接电路中,线电压超前与其相对应的相电压30°电角。 ( ∨ )
4、三相电路的总有功功率
( × )
5、三相负载作三角形连接时,线电流在数量上是相电流的
( × )
6、中线的作用得使三相不对称负载保持对称。 ( × )
7、三相四线制电路无论对称与否,都可以用三瓦计法测量三相总有功功率。( ∨ )
三、单项选择题
1、某三相四线制供电电路中,相电压为220V,则火线与火线之间的电压为( C )
A、220V B、311V C、380V
2、在电源对称的三相四线制电路中,若三相负载不对称,则该负载各相电压( B )
A、不对称 B、仍然对称 C、不一定对称
3、三相对称交流电路的瞬时功率为( B )
A、一个随时间变化的量 B、一个常量,其值恰好等于有功功率 C、0
4、某三相电源绕组连成Y时线电压为380V,若将它改接成Δ形,线电压为( C )
A、380V B、660V C、220V
5、已知![]()
的对称纯电容负载作Δ接,与对称三相电源相接后测得各线电流均为10A,则三相电路的视在功率为( A )
A、1800VA B、600VA C、600W
6、测量三相交流电路的功率有很多方法,其中三瓦计法是测量( C )电路的功率。
A、三相三线制电路 B、对称三相三线制电路 C、三相四线制电路
7、三相四线制电路,已知![]()
则中线电流
为( B )
A、10A B、0A C、30A
8、三相对称电路是指( C )
A、电源对称的电路 B、负载对称的电路 C、电源和负载均对称的电路
四、简答题
1、三相电源作三角形联接时,如果有一相绕组接反,后果如何?试用相量图加以分析说明?
答:三相电源作三角形联接时,如果有一相绕组接反,就会在发电机绕组内环中发生较大的环流,致使电源烧损。相量图略。
2、三相四线制供电系统中,中线的作用是什么?
答:中线的作用是使不对称Y接三相负载的相电压保持对称。
3、为什么实用中三相电动机可以采用三相三线制供电,而三相照明电路必须采用三相四线制供电系统?
答:三相电动机是对称三相负载,中线不起作用,因此采用三相三线制供电即可。而三相照明电路是由单相设备接成三相四线制中,工作时通常不对称,因此必须有中线才能保证各相负载的端电压对称。
4、三相四线制供电体系中,为什么规定中线上不得安装保险丝和开关?
答:此规定说明不允许中线随意断开,以保证在Y接不对称三相电路工作时各相负载的端电压对称。如果安装了保险丝,若一相发生短路时,中线上的保险丝就有可能烧断而造成中线断开,开关若不慎在三相负载工作时拉断同样造成三相不平衡。
5、如何计算三相对称电路的功率?有功功率计算式中的cosφ表示什么意思?
答:第一问略,有功功率编者上式中的cosφ称为功率因数,表示有功功率占电源提供的总功率的比重。
6、一台电动机本来为正转,如果把连接在它上面的三根电源线任意调换两根的顺序,则电动机的旋转方向改变吗?为什么?
答:任调电动机的两根电源线,通往电动机中的电流相序将发生变化,电动机将由正转变为反转,因为正转和反转的旋转磁场方向相反,而异步电动机的旋转方向总是顺着旋转磁场的方向转动的。
五、计算分析题
1、三相电路如图5.1所示。已知电源线电压为380V的工频电,求各相负载的相电流、中线电流及三相有功功率P,画出相量图。
解:各相电流均为220/10=22A,由于三相不对称,所以中线电流


三相有功功率实际上只在U相负载上产生,因此P=222×10=4840W 相量图略
2、已知对称三相电源A、B火线间的电压解析式为
试写出其余各线电压和相电压的解析式。

3、已知对称三相负载各相复阻抗均为8+j6Ω,Y接于工频380V的三相电源上,若uAB的初相为60°,求各相电流。

4、三相对称负载,每相阻抗为6+j8Ω,接于线电压为380V的三相电源上,试分别计算出三相负载Y接和Δ接时电路的总功率各为多少瓦?
(Y接Il=22A![]()
Δ接 Il=66A![]()
试题库(8)暂态电路
一、填空题
1、 暂 态是指从一种 稳 态过渡到另一种 稳 态所经历的过程。
2、换路定律指出:在电路发生换路后的一瞬间, 电感 元件上通过的电流和 电容 元件上的端电压,都应保持换路前一瞬间的原有值不变。
3、换路前,动态元件中已经储有原始能量。换路时,若外激励等于 零 ,仅在动态元件 原始能量 作用下所引起的电路响应,称为 零输入 响应。
4、只含有一个 动态 元件的电路可以用 一阶微分 方程进行描述,因而称作一阶电路。仅由外激励引起的电路响应称为一阶电路的 零状态 响应;只由元件本身的原始能量引起的响应称为一阶电路的 零输入 响应;既有外激励、又有元件原始能量的作用所引起的电路响应叫做一阶电路的 全 响应。
5、一阶RC电路的时间常数τ = RC ;一阶RL电路的时间常数τ = L/R 。时间常数τ的取值决定于电路的 结构 和 电路参数 。
6、一阶电路全响应的三要素是指待求响应的 初始 值、 稳态 值和 时间常数 。
7、二阶电路过渡过程的性质取决于电路元件的参数。当电路发生非振荡过程的“过阻尼状态时,R >
当电路出现振荡过程的“欠阻尼”状态时,R <
当电路为临界非振荡过程的“临界阻尼”状态时,R = 
R=0时,电路出现
等幅 振荡。
8、在电路中,电源的突然接通或断开,电源瞬时值的突然跳变,某一元件的突然接入或被移去等,统称为 换路 。
9、换路定律指出:一阶电路发生的路时,状态变量不能发生跳变。该定律用公式可表示为 iL(0+)= iL(0-) 和 uC(0+)= uC(0-) 。
10、由时间常数公式可知,RC一阶电路中,C一定时,R值越大过渡过程进行的时间就越 长 ;RL一阶电路中,L一定时,R值越大过渡过程进行的时间就越 短 。
二、判断下列说法的正确与错误
1、换路定律指出:电感两端的电压是不能发生跃变的,只能连续变化。 ( × )
2、换路定律指出:电容两端的电压是不能发生跃变的,只能连续变化。 ( ∨ )
3、单位阶跃函数除了在t=0处不连续,其余都是连续的。 ( ∨ )
4、一阶电路的全响应,等于其稳态分量和暂态分量之和。 ( ∨ )
5、RL一阶电路的零状态响应,
按指数规律上升,
按指数规律衰减。 ( × )
6、RC一阶电路的零状态响应,
按指数规律上升,
按指数规律衰减。 ( ∨ )
7、RL一阶电路的零输入响应,
按指数规律衰减,
按指数规律衰减。 ( ∨ )
8、RC一阶电路的零输入响应,按指数规律上升,
按指数规律衰减。 ( × )
三、单项选择题
1、动态元件的初始储能在电路中产生的零输入响应中( B )
A、仅有稳态分量 B、仅有暂态分量 C、既有稳态分量,又有暂态分量
2、在换路瞬间,下列说法中正确的是( A )
A、电感电流不能跃变 B、电感电压必然跃变 C、电容电流必然跃变
3、工程上认为R=25Ω、L=50mH的串联电路中发生暂态过程时将持续( C )
A、30~50ms B、37.5~62.5ms C、6~10ms
4、图3.4电路换路前已达稳态,在t=0时断开开关S,则该电路( C )

A、电路有储能元件L,要产生过渡过程
B、电路有储能元件且发生换路,要产生过渡过程
C、因为换路时元件L的电流储能不发生变化,所以该电路不产生过渡过程。
5、图3.5所示电路已达稳态,现增大R值,则该电路( B )

A、因为发生换路,要产生过渡过程
B、因为电容C的储能值没有变,所以不产生过渡过程
C、因为有储能元件且发生换路,要产生过渡过程
6、图3.6所示电路在开关S断开之前电路已达稳态,若在t=0时将开关S断开,则电路中L上通过的电流
为( A )

A、2A
B、0A
C、-2A
7、图3.6所示电路,在开关S断开时,电容C两端的电压为( A )
A、10V B、0V C、按指数规律增加
四、简答题
1、何谓电路的过渡过程?包含有哪些元件的电路存在过渡过程?
答:电路由一种稳态过渡到另一种稳态所经历的过程称过渡过程,也叫“暂态”。含有动态元件的电路在发生“换路”时一般存在过渡过程。
2、什么叫换路?在换路瞬间,电容器上的电压初始值应等于什么?
答:在含有动态元件L和C的电路中,电路的接通、断开、接线的改变或是电路参数、电源的突然变化等,统称为“换路”。根据换路定律,在换路瞬间,电容器上的电压初始值应保持换路前一瞬间的数值不变。
3、在RC充电及放电电路中,怎样确定电容器上的电压初始值?
答:在RC充电及放电电路中,电容器上的电压初始值应根据换路定律求解。
4、“电容器接在直流电源上是没有电流通过的”这句话确切吗?试完整地说明。
答:这句话不确切。未充电的电容器接在直流电源上时,必定发生充电的过渡过程,充电完毕后,电路中不再有电流,相当于开路。
5、RC充电电路中,电容器两端的电压按照什么规律变化?充电电流又按什么规律变化?RC放电电路呢?
答:RC充电电路中,电容器两端的电压按照指数规律上升,充电电流按照指数规律下降,RC放电电路,电容电压和放电电流均按指数规律下降。
6、RL一阶电路与RC一阶电路的时间常数相同吗?其中的R是指某一电阻吗?
答:RC一阶电路的时间常数τ=RC,RL一阶电路的时间常数τ=L/R,其中的R是指动态元件C或L两端的等效电阻。
7、RL一阶电路的零输入响应中,电感两端的电压按照什么规律变化?电感中通过的电流又按什么规律变化?RL一阶电路的零状态响应呢?
答:RL一阶电路的零输入响应中,电感两端的电压和电感中通过的电流均按指数规律下降;RL一阶电路的零状态响应中,电感两端的电压按指数规律下降,电压事通过的电流按指数规律上升。
8、通有电流的RL电路被短接,电流具有怎样的变化规律?
答:通过电流的RL电路被短接,即发生换路时,电流应保持换路前一瞬间的数值不变。
9、试说明在二阶电路中,过渡过程的性质取决于什么因素?
答:二阶电路中,过渡过程的性质取决于电路元件的参数:当R>
时,电路“过阻尼”;当R<
时,电路“欠阻尼”;当R=![]()
时,电路“临界阻尼”;当R=0时,电路发生“等幅振荡”。
10、怎样计算RL电路的时间常数?试用物理概念解释:为什么L越大、R越小则时间常数越大?
答:RL电路的时间常数τ=L/R。当R一定时,L越大,动态元件对变化的电量所产生的自感作用越大,过渡过程进行的时间越长;当L一定时,R越大,对一定电流的阻碍作用越大,过渡过程进行的时间就越长。
五、计算分析题
1、电路如图5.1所示。开关S在t=0时闭合。则iL(0+)为多大?

F_XORG
解:开关闭合前,iL(0-)=0,开关闭合电路发生换路时,根据换路定律可知,电感中通过的电流应保持换路前一瞬间的数值不变,即iL(0+)=iL(0-)=0
2、求图5.2所示电路中开关S在“1”和“2”位置时的时间常数。
解:开关S在位置“1”时,τ1=0.2/2=0.1ms;开关在位置“2”时,τ2=0.2/(3+2)=0.04ms
3、图5.3所示电路换路前已达稳态,在t=0时将开关S断开,试求换路瞬间各支路电流及储能元件上的电压初始值。

解:uC(0-)=4V,uC(0+)=uC(0-)=4V
i1(0+)= iC(0+)=(6-4)/2=1A i2(0+)=0
、求图5.3所示电路中电容支路电流的全响应。
解:换路后的稳态值:uC(∞)=6V,时间常数τ=RC=2×0.5=1μs
所以电路全响应:uC(t)=uC(∞)+[uC(0+)-uC(∞)]e-t/τ=6-2e-tV
版权声明:本文内容由互联网用户自发贡献,该文观点仅代表作者本人。本站仅提供信息存储空间服务,不拥有所有权,不承担相关法律责任。如发现本站有涉嫌侵权/违法违规的内容,请联系我们,一经查实,本站将立刻删除。
如需转载请保留出处:https://51itzy.com/kjqy/64144.html