目录
1. 控制体表面应力张量
2. 应变率张量与亥姆霍兹速度分解定理
3. 流体的本构方程——应力张量与变形率张量的一般线性关系
1. 控制体表面应力张量
控制体x方向表面压力可见图:
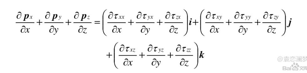
那么作用于单位体积流体的表面压力为:

注意,这里Px, Py, Pz均为向量。则其可分解为:

其中,第一个下标代表应力所在平面的外法线方向,第二个下标代表应力方向。这里,为了描述微元上的应力,将应力张量表示为:

则外法线单位矢量
方向上的表面应力(压力)为:
![\tau_{n} = [\tau_{nx}\ \tau_{ny}\ \tau_{nz}] = \overrightarrow{n}[\tau ]](https://51itzy.com/uploads/202412/23/d8d6e00325d3a7fb.jpg)
则单位体积流体的表面力为:

2. 应变率张量与亥姆霍兹速度分解定理
将速度增量沿三个方向分解得

将系数矩阵进行分解得


令
,
,
称E为流体的应变率张量或变形速率张量,
为流体的转动角速度矢量,则:

其三项分别对应M点平动速度、流体变形速度、绕M中心圆转速度。
关于矩阵
和
,从物理上解释,有:


为相对伸长率;
为平均角变形率,诸如此类推。
则,微团体积相对膨胀率可推得为
, 而对于不可压缩流体,体积膨胀率为0。
为流体微元旋转角速度。对于无旋流动,
。
3. 流体的本构方程——应力张量与变形率张量的一般线性关系
应力与变形速率之间存在线性关系,服从这种线性关系的流体称为牛顿流体。其满足牛顿内摩擦定律。


在边界层内,垂直板方向速度
为0,则

斯托克斯将牛顿内摩擦定律进行推广,即假设

1. 流体连续,其应力张量是变形率张量的线性函数。
2. 流体是各向同性的,即它的性质与方向无关。无论坐标系如何选取,它的应力与变形率的关系是相同的。
3. 当流体静止,即变形率为零,流体中应力就是流体静压力。
之前我们知道:

对于静止流体与运动的无粘流体,不存在切应力分量,则:

负号代表压力方向与微元外表面方向相反。
根据应力张量与变形率张量是线性关系和各向同性假设,应力张量和变形率张量可以写成:
![]()
参照牛顿内摩擦定律,认为
。对于系数b,由于b为标量,它应该由张量
和
的分量中的坐标转换时不变的值组成。对于张量,取其第一不变量(即矩阵的迹)。


![]()
带入上式,则:
![]()
左式的迹与右式的迹相等,则:
![]()
![]()
静止情况下,
值为零,且
,代入上式有:
![]()
使得上式恒成立,有,

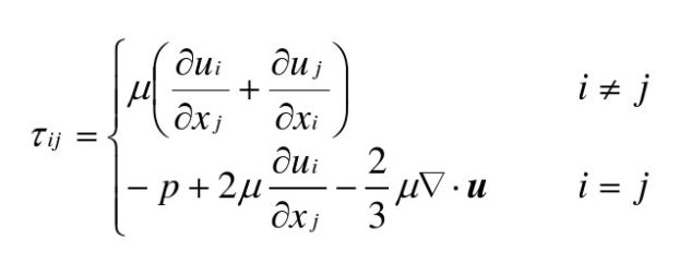
则可认为应力张量与变形率张量之间存在一般线性关系:、

引入平均压强的概念,其一点的压强在各个方向是相等的,其值即为平均法向应力,有:
![]()

令
,成之为膨胀粘性系数,有:
![]()
若以
和
代表速度和位移在 x,y,z 方向的分量,有:

即为可压缩流体的本构方程。虽然公式推导使用了不严格的假定,但其已经被实验广泛证实。
本文内容基本均来源于两个PPT:
https://wenku.baidu.com/view/f5f45506783e0912a3162a45.html
https://max.book118.com/html/2018/0526/168864127.shtm
前者较为通俗易懂,后者则给出了应力张量和应变率张量的详细讨论。如本文有何错误,欢迎指正,谢谢。
版权声明:本文内容由互联网用户自发贡献,该文观点仅代表作者本人。本站仅提供信息存储空间服务,不拥有所有权,不承担相关法律责任。如发现本站有涉嫌侵权/违法违规的内容,请联系我们,一经查实,本站将立刻删除。
如需转载请保留出处:https://51itzy.com/kjqy/57510.html