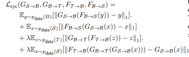
2025年桥接域适应方法 科技前沿 • 2025-01-19 13:39 • 阅读 37 桥接域适应方法1 介绍 Learning Domain Adaptive Features with Unlabeled Domain Bridges 中提出了一种新的方法来学习大间隔的源域和目标域之间的域自适应特征 并使用未标记的域桥 首先 介绍了循环一致性流生成对抗网络 CFGAN 的框架 大家好,我是讯享网,很高兴认识大家。 讯享网 小讯 2025年后仿出现X态原因 上一篇 2025-01-07 22:15 2025年Python和C语言哪个难?零基础学哪个好? 下一篇 2025-03-16 22:49 相关推荐 2025年后仿出现X态原因 1736035200 2025年2022年国内私网IP地址 1736035200 BugkuCTF-WEB题速度要快 1736035200 usb连接不上 艾德克斯电源_艾德克斯 ITECH电源RS232通讯设置简易教程 1736035200 2025年当你出差在外时,怎样轻松访问远程访问企业局域网象过河ERP系统? 1736035200 图的连通分量 1736035200 2025年计算机管理内默认共享,Win10共享默认在哪里关闭 清除默认共享哪种方法比较彻底... 1736035200 2025年smart-doc Java Restful API 文档生成工具 1736035200 2025年热键与快捷键的区别 1736035200 2025年Python和C语言哪个难?零基础学哪个好? 1736035200 Take a walk 走开! 1736035200 TC277的Ovc功能 1736035200 2025年一文带你安装opencv和常用库(保姆级教程少走80%的弯路) 1736035200 啊,嗯,唔,啊,啊,啊,_1 1736035200 2025年不需搜索,只要推荐 第二代网购模式探讨 1736035200 Oracle公司 1736035200 2025年计算机网络学习笔记(1)——ifconfig详解 1736035200 【计算机组成原理】第1章 计算机系统概论-思考题与习题 1736035200 版权声明:本文内容由互联网用户自发贡献,该文观点仅代表作者本人。本站仅提供信息存储空间服务,不拥有所有权,不承担相关法律责任。如发现本站有涉嫌侵权/违法违规的内容,请联系我们,一经查实,本站将立刻删除。如需转载请保留出处:https://51itzy.com/kjqy/55311.html
版权声明:本文内容由互联网用户自发贡献,该文观点仅代表作者本人。本站仅提供信息存储空间服务,不拥有所有权,不承担相关法律责任。如发现本站有涉嫌侵权/违法违规的内容,请联系我们,一经查实,本站将立刻删除。
如需转载请保留出处:https://51itzy.com/kjqy/55311.html