目录
一.简介
二.静态调度
1.SDFG
2.单处理器调度(PASS)
3.多处理器调度(PAPS)
三.SDF应用
一.简介
同步数据流(SDF,Synchronous Data Flow)概念来源于1987年,建议阅读同年论文《Static Scheduling of Synchronous Data Flow Programs for Digital Signal Processing》和《Synchronous Data Flow》。
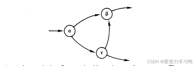
以下是数据流图&同步数据流图的两个简单示例。图中α、β、γ三个节点均代表不同功能,有向边代表的是数据流向。

当每个节点的输入输出数据个数已知时,就是本文主要介绍的同步数据流图。值得注意的是,同步数据流图中的节点并不存在固定的调度顺序(即不存在完全的节点相关,只要某节点调度所需的数据足够,该节点就会被执行execute,或者叫被触发fire)。

二.静态调度
1.SDFG
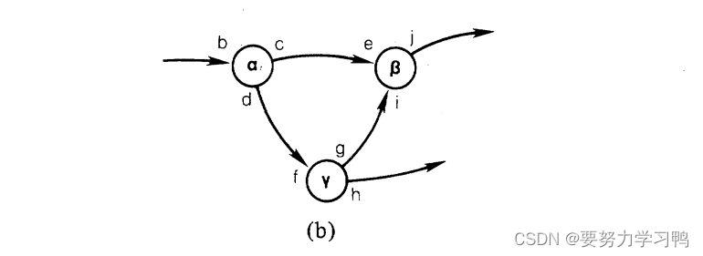
同步数据流图(SDFG,Synchronous Data Flow Graph)可以被表示为一个拓扑矩阵。
如下图所示,矩阵的每一行代表弧,每一列代表节点。图中有三个节点,两条边,则产生的拓扑矩阵为两行三列。矩阵中的每个数值(x,y)代表x节点在y弧上产生或消耗的数据个数。SDF图中的两条弧上的三个长方形代表缓冲区,SDFG中每个周期的调度应该对缓冲区不产生影响,也就是每个最小调度周期结束后,所有节点产生的数据刚好等于消耗的数据。
比如第一行第一列数值为2,表示节点1在弧1上产生了2个数据。
比如第二行第三列数值为-1,表示节点3在弧2上消耗了1个数据。


2.单处理器调度(PASS)
periodic admissible sequential schedule
所求q向量就是最小周期内每个节点最少调度次数。下图中得出v1=1,v2=v3=2.简单计算不难得出,当节点u调度1次,在缓冲区1中产生两个数据;节点mul调度两次,在缓冲区2中共产生两个数据;节点三调度两次,刚好消耗掉所产生的数据。总体满足上述我们提到的所有节点产生的数据刚好等于消耗的数据。
由于同步数据流图仅展示部分功能,所以默认有外部输入数据的节点都是直接可以无限次触发的(可以理解为外部数据无限次供应),图中的节点u和节点mul就是仅需要外部数据就可以触发,所以一直处于可执行状态,而节点add就需要有足够的数据才能触发。

计算出q向量的结果之后,得到的是每个节点的执行次数(1,2,2),但并不是具体的调度次序。采取的方案是执行每个能够执行的节点,首先节点1仅仅只有外部输入数据就可以执行,所以先执行节点1,;然后同理执行节点2,可执行两次;最后执行节点3,可执行两次。得到最终的最小周期调度次序(U,Mul,Mul,Add,Add)。
3.多处理器调度(PAPS)
periodic admissible parallel schedule

上图是一个简单的多处理器调度,J代表的是展开因子,不同的展开因子将会影响并行调度的效率。当J=1时,可以看到处理器2是有空闲的时间片在的;当J=2时,两个处理器都没有空闲时间,这说明处理器得到了最大的利用,是一个完美的调度方案。需要注意的是SDFG中每个节点都是self-loop自循环的,即不允许两个处理器同时执行同一个节点,不允许两个处理器同时访问同一缓冲区。

三.SDF应用
数字信号处理:
应用于音频处理、视频处理、无线电通信等领域,能够有效地处理时变信号,并通过流水线实现高效的并行处理。
图像处理:
实现卷积神经网络、图像分割、目标检测等算法,可以实现基于并行计算的图像处理算法,从而提高算法的效率和性能。
嵌入式系统设计:
SDF常用于嵌入式系统设计中,因为SDF的数据流特性非常适合描述嵌入式系统中的任务并发性和实时性。通过对SDF图的静态分析,可以确保系统中任务的实时性和正确性。

版权声明:本文内容由互联网用户自发贡献,该文观点仅代表作者本人。本站仅提供信息存储空间服务,不拥有所有权,不承担相关法律责任。如发现本站有涉嫌侵权/违法违规的内容,请联系我们,一经查实,本站将立刻删除。
如需转载请保留出处:https://51itzy.com/kjqy/54615.html