倍增技术也叫指针跳跃技术,因为涉及到指针,所以特别适合处理链表或有向有根树之类的数据结构,在图论和涉及链表的算法中有广泛的应用。
每当循环调用倍增技术时,要处理的数据之间的距离就会逐步加倍,经过k次迭代就可以完成2k数据的计算。
下面以最经典的表序问题和求森林的根问题来说明此技术。
1表序问题
问题描述
给定一个包含 n 个元素的链表,每个元素 i 到 i 所指元素的距离用数组 d [ i ] 表示,每个元素指向的下一个元素用数组 p [ i ] 表示,初始化链表从表头指向表尾,规定表尾元素指向自己,距离为 0,d [ n ] = 0;p [ n ] = n。求每个元素 i 到表尾的距离。
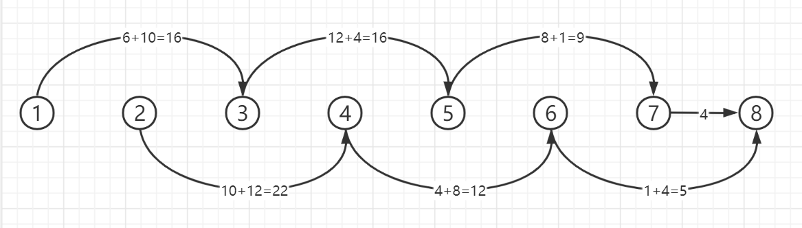
如下图,n=8,距离数组d = [6,10,12,4,8,1,4,0],所指元素数组p = [2,3,4,5,6,7,8,8]。具体地,d [ 1 ] = 6表示元素 1 到所指元素的距离是 6,p [ 1 ] = 2表示元素 1 指向的下一个元素是 2。求所有元素到表尾元素 8 的距离。
讯享网
思想描述
顾名思义,指针跳跃技术,每个元素不需要一步一步计算到表尾的距离,可以根据指针的指示跳过某些元素,直接跨好几步。当所指元素数组 p 全部更新为8时,表示所有元素都直接指向了表尾元素,且指针权值就是各元素到表尾元素的距离。
初始化
d = [ 6 , 10 , 12 , 4 , 8 , 1 , 4 , 0 ] p = [ 2 , 3 , 4 , 5 , 6 , 7 , 8 , 8 ] \begin{aligned} &d=[6,10,12,4,8,1,4,0]\\ &p=[2,3,4,5,6,7,8,8] \end{aligned} d=[6,10,12,4,8,1,4,0]p=[2,3,4,5,6,7,8,8]
步骤1:每一个元素 i 都顺着指针的指示 指向步骤1中元素 i 的下一个元素所指的元素,如因为元素1在步骤1中指向元素2,元素2在步骤1中指向元素3,所以元素1的下一个元素更新为3,距离更新为元素1到元素2的距离+元素2到元素3的距离,对每个元素重复该操作,得到更新后的数组:
d = [ 16 , 22 , 16 , 12 , 9 , 5 , 4 , 0 ] p = [ 3 , 4 , 5 , 6 , 7 , 8 , 8 , 8 ] \begin{aligned} &d=[16,22,16,12,9,5,4,0]\\ &p=[3,4,5,6,7,8,8,8] \end{aligned} d=[16,22,16,12,9,5,4,0]p=[3,4,5,6,7,8,8,8]
更新后的直观图:

步骤2:每一个元素 i 都顺着指针的指示 指向步骤2中元素 i 的下一个元素所指的元素,如因为元素1在步骤2中指向元素3,元素3在步骤2中指向元素5,所以元素1可以直接跳过元素4指向元素5,距离更新为元素1到元素3的距离+元素3到元素5的距离,对每个元素重复该操作,得到更新后的数组:
d = [ 32 , 32 , 25 , 17 , 13 , 5 , 4 , 0 ] p = [ 5 , 6 , 7 , 8 , 8 , 8 , 8 , 8 ] \begin{aligned} &d=[32,32,25,17,13,5,4,0]\\ &p=[5,6,7,8,8,8,8,8] \end{aligned} d=[32,32,25,17,13,5,4,0]p=[5,6,7,8,8,8,8,8]
更新后的直观图:

步骤3:每一个元素 i 都顺着指针的指示 指向步骤3中元素 i 的下一个元素所指的元素,如因为元素1在步骤3中指向元素5,元素5在步骤3中指向元素8,所以元素1可以直接跳过元素67指向元素8,距离更新为元素1到元素5的距离+元素5到元素8的距离,对每个元素重复该操作,得到更新后的数组:
d = [ 45 , 37 , 29 , 17 , 13 , 5 , 4 , 0 ] p = [ 8 , 8 , 8 , 8 , 8 , 8 , 8 , 8 ] \begin{aligned} &d=[45,37,29,17,13,5,4,0]\\ &p=[8,8,8,8,8,8,8,8] \end{aligned} d=[45,37,29,17,13,5,4,0]p=[8,8,8,8,8,8,8,8]
更新后的直观图:

至此,所有的元素都直接指向了表尾元素,指针的权值d就是元素到表尾元素的距离,算法结束。

伪代码
初始化d,p while(数组p中存在非表尾元素的值) for all 元素i 并行do: if (p[i] != p[p[i]]) d[i] = d[i] + d[p[i]] p[i] = p[p[i]] end if end for end while 输出d
讯享网
时间复杂度分析
整个算法只递归了3次就算出了规模为8的表序问题,如果不加倍增技术,时间复杂度需要 O( n ),加了倍增技术的时间复杂度只需要 O( log2n )。
在遗传算法中,走n步可以搜索到2n的搜索空间,就是因为使用了倍增技术。
如果将每一步骤的操作用n个处理器同时并行计算这n个数据的更新,在主处理器串行计算各步骤,计算效率会大大减小,同时计算开销也会由于处理器的增多而增加。
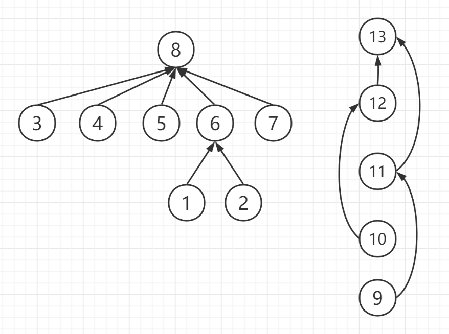
2求森林的根问题
问题描述
给定由一组有根有向树构成的森林F,F包含n个结点,每个结点 i 从下向上指向自己的父结点 j,用 p [ i ] = j 表示,如果 i 是根节点,规定 p [ i ] = i ;求森林的根。
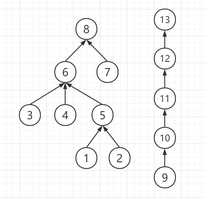
如下图,n=13,初始化数组p = [5,5,6,6,6,8,8,8,10,11,12,13,13]。具体地,p [ 1 ] = 5表示结点 1 的父结点是 5。求森林的根结点。

思想描述
解决该问题的思想与表序问题基本一致,流程如下:
步骤1:

p更新为
p = [ 6 , 6 , 8 , 8 , 8 , 8 , 8 , 8 , 11 , 12 , 13 , 13 , 13 ] p = [6,6,8,8,8,8,8,8,11,12,13,13,13] p=[6,6,8,8,8,8,8,8,11,12,13,13,13]
步骤2:

p更新为
p = [ 8 , 8 , 8 , 8 , 8 , 8 , 8 , 8 , 13 , 13 , 13 , 13 , 13 ] p = [8,8,8,8,8,8,8,8,13,13,13,13,13] p=[8,8,8,8,8,8,8,8,13,13,13,13,13]
至此,对于所有结点 i ,都有 p [ i ] = p [ p [ i ] ] ,算法结束,该森林的根为8和13。
版权声明:本文内容由互联网用户自发贡献,该文观点仅代表作者本人。本站仅提供信息存储空间服务,不拥有所有权,不承担相关法律责任。如发现本站有涉嫌侵权/违法违规的内容,请联系我们,一经查实,本站将立刻删除。
如需转载请保留出处:https://51itzy.com/kjqy/54437.html