常用的模型降阶方法有集结法、摄动法、时间矩匹配法、Pade逼近法、连分式法、Routh逼近法、Pade-Routh逼近法
时间矩匹配法:
该方法基于匹配脉冲响应的时间矩原始模型与那些相同脉冲响应的降解模型相匹配
缺点:匹配后的低阶系统模型的稳定性可能会使原来稳定的系统变为不稳定的系统
clear all
clc
num1=[1 13 40]
den1=[1 13 32 20]
num2=[0.48 2]
den2=[0.5171 1.5144 1]
step(num1,den1)
hold
step(num2,den2,'--')
连分式法:

劳斯表:



clear all clc num1=[10 171 360] den1=[1 71 702 720] num2=[6 15] den2=[1 27 30] step(num1,den1) hold step(num2,den2,'--')
讯享网

如果自己用高阶系统的主导极点去降阶:
将传递函数展开成部分分式,保留最靠近虚轴的所谓‘主导’极点,而舍去那些远离虚轴的极点。主要通过特征方程求根来确定极点,但近似的性能不是特别好。
z1=-2.46,z2=-14.6
p1=-59.4,p2=-1.15,p3=-10.4
所以可以把p1省掉:

s=tf('s')
采用这种方法一点也不准???????
clear all
clc
syms s
num1=[1]
den1=[1 1 1]
G=tf(num1,den1)
step(num1,den1)
G =
1
-----------
s^2 + s + 1----系统的闭环传递函数
Pade近似法:
使原来传递函数和近似传递函数的展开式在一定的项数上一致,近似的极点要由原传递函数的分子和分母式决定,这样稳定的系统,可能会出现不稳定的近似。
劳斯近似法:----参考:高阶系统的降阶近似处理(孙家荣)
首先要判断系统是否稳定,如果原系统稳定,则采用这种方法近似后,系统仍然能够保持其稳定性,不仅适用于单输入单输出系统,还适用于多输入多输出系统。
num1=[1/6 1 5 15]
den1=[1 5 24 60 90]
num2=[2.5 15]
den2=[12 22.5 90]step(num1,den1,'g')
hold on
step(num2,den2,'--')
num1=[1/6 1 5 15]
den1=[1 5 24 60 90]
num2=[2.5 15]
den2=[12 22.5 90]
num3=[10/33 10/11]
den3=[1 40/11 60/11]step(num1,den1,'g')
hold on
step(num2,den2,'--')
hold on
step(num3,den3,'r-')
我觉得还是第一个方法比较近似,论文上的方法不近似。
第一个方法近似:通过分子、分母劳斯表第一列元素来近似,前面两列由分子、分母系数决定,而后面几列都受到前面两行的影响。


分别写出分子构成的劳斯阵列和分母构成的劳斯阵列

降为n-1阶时的传递函数:

将该八阶系统分别降为五阶和二阶系统:

分子列写的劳斯阵列:

分母列写的劳斯阵列:

五阶系统传递函数:

二阶系统传递函数:

num1=[35 1086 13285 82402 27837 ]
den1=[1 33 437 3017 11870 27470 37492 28880 9600]
num2=[55645 ]
den2=[1963 6817 23973 31694 27963 9600]
num3=[ ]
den3=[20124 9600]step(num1,den1,'g')
hold on
step(num2,den2,'--')
hold on
step(num3,den3,'r-')
微分法-模型降阶


对分子、分母分别求导:

在返回去:

等效后要保证稳态值不变:

num1=[1 13 40]
den1=[1 13 32 20]
num2=[1.5 9.23]
den2=[1 4.92 4.62]
step(num1,den1,'g')
hold on
step(num2,den2,'--')

s=tf('s')
G1=10/((s+10)*(s^2+2*s+2))
G2=30/(12*s^2+80*s+60)
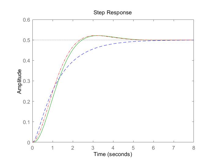
G3=1/(s^2+2*s+2)step(G1,'g')
hold on
step(G2,'--')
hold on
step(G3,'r-.')在不同场合下,采用不同的方法进行降阶,会获得不同的近似性能。
open-loop transfer function:开环传递函数
close-loop transfer function:闭环传递函数
系统模型降阶的应用:
1、用低阶模型预测高阶模型的阶跃响应灵敏度
2、估算高阶模型的动态误差
3、控制系统设计
4、用低阶模型进行自适应控制
5、降阶估计器的设计
6、由低阶模型设计的次最优控制








版权声明:本文内容由互联网用户自发贡献,该文观点仅代表作者本人。本站仅提供信息存储空间服务,不拥有所有权,不承担相关法律责任。如发现本站有涉嫌侵权/违法违规的内容,请联系我们,一经查实,本站将立刻删除。
如需转载请保留出处:https://51itzy.com/kjqy/50583.html