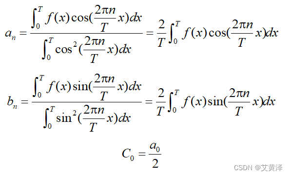
1.傅里叶级数展开
由信号与系统知识:
任意一个周期函数的傅里叶级数构造出来的三角函数展开式形式为:
其中2pi/T是原始信号的角频率,因为n>1,可见分量的角频率必然不小于原始信号的频率,是原始信号频率的整数倍。所以这里的n不是索引序号,而是分量的角频率与原始信号角频率的倍数关系,如果没有某个倍数对应的分量,那么这一项就是0。

锯齿波的傅里叶级数可展开为如下形式:

锯齿波傅里叶级数展开例子
2.DFT与FFT
信号处理算法用以准确分析取样信号的幅值和相位差,为计算阻抗和功率提供依据。对于基波和谐波信号的分析, 在数字信号处理领域通常使用快速傅里叶变换(FFT)用于频谱分析,提取基波和各次谐波的频率、幅值及相位差。
DFT运算公式为:

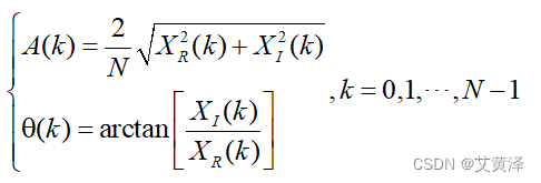
此处不复述DFT与FFT原理,直接写出FFT结果,对于一个点数为N的离散信号序列,经过 FFT 处理后得到的是N点的复数结果为:
![]()
其中k是N点的复数结果中的第k个值的序号,对应频谱中的第k条谱线,
分别表示复数结果中X(k)的实部和虚部。根据X(k)可以计算得到每条谱线的幅值A(k)和相位θ(k):

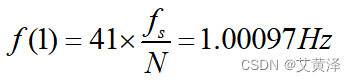
设采用频率为fs,则FFT频谱中第k条谱线对应的频率为:
![]()
其中∆f 称为FFT的频率分辨率,它反映了FFT频谱中谱线之间的频率间隔。
此时根据FPGA的设置采样点数N与ADC采集频率,便可推算出对应频率的k值,从而得到需求频率处的幅值A(k)和相位θ(k),用于后续的数据处理。
3.Matlab仿真实验
假设连续信号为5*sawtooth(w.*t+pi);w=2*pi
即被采样信号为锯齿波
的周期信号,周期为1Hz。
则其傅里叶级数展开可表示为:

所以其基波幅值为10/π。
采用Matlab模拟FPGA实际采集情况:采样频率为50MHz,被采集信号为1MHz的锯齿波,(简化运算量,Matlab中设置为50Hz与1Hz,故角频率w=2πf=2π(rad/s),采样点数为N=2048。采用离散傅里叶变换函数DFT/FFT对信号进行采集并绘制5*sawtooth(w.*t+pi)与2.5*sawtooth(w.*t+pi)振幅与相位特性:

锯齿波FFT仿真结果
对5*sawtooth(w.*t+pi)的频谱分析,由前式知想获取基波幅值与相位信息,则距离基频1Hz最近的谱线为:

可计算基波幅值相位:

考虑采用比值校正法对频谱泄露问题进行改善,比值校正法的实质是在FFT计算得到的频谱的基础上,根据所选用的窗函数计算归一化的频率校正量∆k,并使用∆k对信号峰值谱线所对应的幅值、相位和频率进行补偿。

得到校正后的基波的幅值相位频率:

可见通过比值校正后其幅值相位频率均得到了有效的改善;与锯齿波傅里叶级数展开式比较,其基波幅值相等,符合理论计算。
4.FPGA调用IP核实现锯齿波FFT计算
硬件平台:博宸精芯ZYNQ_MINI,主控芯片为xc7z010clg400-1。(如果只是仿真方案合理性不需要硬件平台)。
首先为了保证Matlab中的锯齿波采样序列与FPGA送入FFT的采样序列保持完全一致,前规定好Matlab中采样序列为xn1=500*sawtooth(w.*t)+500; w=2*pi; 此处加了500的直流偏置,是为了在FPGA中简化程序。此时锯齿波采样序列如下图,其在0点采样值为0,49点采样值为980。(此处的图像展示省略了100~2047采样点)。

500*sawtooth(w.*t)+500锯齿波采样序列

4.1 配置IP核
接下来在Vivado中调用并配置IP核:(可参考官方文档https://docs.xilinx.com/internal/api/webapp/print/a36e63a0-2c43-4d40-8f3d-2b84ea4974cb)
以及该文章Vivado IP核:FFT实验 - 知乎 (zhihu.com)
工程组成包括一个fft_top顶层文件,以及一个fft_tb仿真文件:

IP核设置:



4.2顶层代码编写
首先可以在IP Sources中找到xfft_0.veo中的端口例子,将其复制到自己的主程序:

首先来看看fft模块的端口参数意义:

(1)第一个部分是配置FFT的信息,我们通过控制这些输入信号,来控制FFT的运作方式。
.aclk(clk),//输入端口:输入时钟(根IP核设置保持一致);
.s_axis_config_tdata(8'd1),//输入端口:配置数据,给1为FFT,0为IFFT;
.s_axis_config_tvalid(1'd1),//输入端口:1则开始进行FFT配置,0停止;
.s_axis_config_tready(),//输出端口:当FFT配置好时,会给标志。
(2)第二部分是FFT信号输入模块
.s_axis_data_tdata({20'd0,ad_ch1}), //输入端口:(输入数据,高n位为虚部,低n位为实部)
需要注意的是,高16位为虚部,低16为是实部。这里我的输入数据是12位的实数,需要令高20位为0,再把它们拼接起来;
.s_axis_data_tvalid(dat_valid),//输入端口:1则开始进行FFT计算,0停止;
.s_axis_data_tready(),//输出端口:准备好数据输入通道的输出标志;
.s_axis_data_tlast(dat_last),//输入端口:最后一个数据标志位,便于结束FFT。
(3)第三部分FFT计算后输出模块
.m_axis_data_tdata(fft_out),//输出端口:FFT的输出值 高n位为虚部,低n位为实部
.m_axis_data_tuser(fft_user),//输出端口:FFT输出数据的地址
.m_axis_data_tvalid(out_valid),//输出端口:当FFT开始输出时,该标志位一直置1,计算结束后,该位置0(用该标志来将此次FFT运算结果存入RAM后续进行处理)
.m_axis_data_tready(1'd1),//输入端口:表示它能够提供示例数据。一直置1即可
.m_axis_data_tlast(),//输出端口:最后一个输出数据标志位 可用于判断此次FFT运算是否已经结束(不用可不连)
(5)顶层代码fft_top.v
1. module fft_top( 2. input [11:0]ad_ch1, 3. input clk, 4. input dat_last, 5. input dat_valid, 6. 7. output out_valid, 8. output [15:0]out_user, 9. output [23:0]out_im, 10. output [23:0]out_re 11. ); 12. 13. wire [47:0]fft_out; 14. wire [15:0]fft_user; 15. xfft_0 fft_test( 16. 17. .aclk(clk),//输入端口:输入时钟(根IP核设置保持一致) 18. .s_axis_config_tdata(8'd1),//输入端口:配置数据,给1为FFT,0为IFFT 19. .s_axis_config_tvalid(1'd1),//输入端口:1则开始进行FFT配置,0停止 20. .s_axis_config_tready(),//输出端口:当FFT配置好时,会给标志 21. 22. .s_axis_data_tdata({20'd0,ad_ch1}), //输入端口:(输入数据,高n位为虚部,低n位为实部) 23. .s_axis_data_tvalid(dat_valid),//输入端口:1则开始进行FFT计算,0停止 24. .s_axis_data_tready(),//输出端口:准备好数据输入通道的输出标志 25. .s_axis_data_tlast(dat_last),//输入端口:最后一个数据标志位,便于结束FFT 26. 27. .m_axis_data_tdata(fft_out),//输出端口:FFT的输出值 高n位为虚部,低n位为实部 28. .m_axis_data_tuser(fft_user),//输出端口:FFT输出数据的地址 29. .m_axis_data_tvalid(out_valid),//输出端口:当FFT开始输出时,该标志位一直置1,计算结束后,该位置0(用该标志来将此次FFT运算结果存入RAM后续进行处理) 30. .m_axis_data_tready(1'd1),//输入端口:表示它能够提供示例数据。一直置1即可 31. .m_axis_data_tlast(),//输出端口:最后一个输出数据标志位 可用于判断此次FFT运算是否已经结束(不用可不连) 32. 33. //事件端口 暂时不用可不连接 34. .event_frame_started(), 35. .event_tlast_unexpected(), 36. .event_tlast_missing(), 37. .event_status_channel_halt(), 38. .event_data_in_channel_halt(), 39. .event_data_out_channel_halt() 40. 41. ); 42. assign out_re = fft_out[23:0]; //FFT输出实部 43. assign out_im = fft_out[47:24];//FFT输出虚部 44. assign out_user=fft_user;//地址 45. 46. endmodule
讯享网
4.3 仿真文件代码fft_tb.v(需在自己的路径下创建相应的txt文件,且路径改为自己电脑的。)
讯享网`timescale 1ns / 1ps module fft_tb(); reg [11:0]ad_ch1; reg clk; reg dat_last; reg dat_valid; wire [23:0]out_im; wire [23:0]out_re; wire [15:0]out_user; wire out_valid; reg [23:0]reg_out_im; reg [23:0]reg_out_re; integer i;//数据输入变量 integer fid_out_re;//存放数据文件路径 integer fid_out_im;//存放数据文件路径 always #10 clk <= ~clk; //生成时钟50MHz fft_top fft_top_inst(//例化代码 .ad_ch1(ad_ch1), .clk(clk), .dat_last(dat_last), .dat_valid(dat_valid), .out_valid(out_valid), .out_user(out_user), .out_im(out_im), .out_re(out_re) ); /// initial begin clk <= 1'd1; ad_ch1 <= 12'd0; dat_valid <= 1'b0; dat_last <= 1'b0; fid_out_re = $fopen("C:/Users/AHZ/Desktop/fft_test/data/out_re.txt","w"); fid_out_im = $fopen("C:/Users/AHZ/Desktop/fft_test/data/out_im.txt","w"); #10; for(i=0;i<=2047;i=i+1)begin dat_valid <= 1;//dat_valid置1 表示数据开始输入给FFT if(i!=0)begin ad_ch1 <=ad_ch1+20;//锯齿波的 第一个采样点是0 后续每次加20 模拟了1MHz锯齿波被50MHz的ADC采集 从0~1000的情况 end if(ad_ch1==980)begin//如果采集到980 则代表一个周期采集完毕 ad_ch1置0 (xn1=500*sawtooth(w.*t)+500; w=2*pi*1MHz; ) ad_ch1<=0; end #20;//采样率50MHz 所以每两个采集点间隔位20ns end dat_last <= 1;//dat_last置1 表示数据输入结束 ad_ch1 <= 12'd0; #; end always @ (posedge clk) begin $fwrite(fid_out_re,"%d\n",$signed(reg_out_re[23:0])); //reg_out_re数据保存在txt文本中 $fwrite(fid_out_im,"%d\n",$signed(reg_out_im[23:0])); //reg_out_im数据保存在txt文本中 end always @ (posedge clk) begin //fft输出结果到寄存器中保存,使数据更稳定 reg_out_im <= out_im; reg_out_re <= out_re; end always @ (posedge clk) begin //如果输出标志位out_valid置0 则代表FFT数据输出结束 把reg_out_re reg_out_im置0 if(!out_valid) begin reg_out_re <= 24'd0; reg_out_im <= 24'd0; end end endmodule
4.4实验结果

(1)Dat_valid置1时,ad_ch1数据开始累加,并送入FFT;dat_last置1时数据输入完毕。
(2)数据输入结束后大约延迟250us后FFT的out_im和out_re开始输出。输出时out_valid置1。
(3)out_user代表输出的谱线序号,从0~2047累加为止,例如0谱线对应
。
后续在Matlab中进行数据处理:
将txt文件中out_im和out_re结果取出先放入excel进行转置操作,然后粘贴入Matlab的变量中:

定义fpga_y=fpga_im+i*fpga_re,则此时fpga_y表示FPGA的FFT输出的2048个复数。比较Matlab与FPGA的FFT输出幅度曲线随序列点的关系,两者一致:

同一锯齿波信号 Matlab与FPGA的FFT处理结果
Matlab仿真代码:
frequency=1;%基波频率 N=2048;%采样点数 fc=50; %采样频率 w=2*pi;%被采信号频率 n=[0:N-1];%采样序列 t=n/fc;%采样时间 k1=0;%离散频谱校正幅值1次大值序号 k1plus=0;%离散频谱校正幅值1最大值序号 k2=0;%离散频谱校正幅值2次大值序号 k2plus=0;%离散频谱校正幅值2最大值序号 xn1=500*sawtooth(w.*t)+500;%被采信号1序列 xn2=250*sawtooth(w.*t);%被采信号2序列 t=cputime; y1=fft(xn1,N);%被采信号1序列FFT变换 y2=fft(xn2,N);%被采信号1序列FFT变换 Time_fft=cputime-t; Mag1=2/N*abs(y1);%被采信号1幅值序列 Mag2=2/N*abs(y2);%被采信号2幅值序列 Mag_fpga=2/N*abs(fpga_y);%被采信号 FPGA测试 幅值序列 此处需要先从excel导入 [k1,k1plus]=ratio_correction(Mag1,frequency,fc,N); [k2,k2plus]=ratio_correction(Mag2,frequency,fc,N); Phase1=angle(y1);%被采信号1相位序列 Phase2=angle(y2);%被采信号1相位序列 f=n*fc/N;%各次谐波频率 figure(1)%500*sawtooth(w.*t)+500与250*sawtooth(w.*t)FFT结果 subplot(3,2,1) stem(n,xn1,'.K','LineWidth',2);axis([0,100,0,1000]) title('500*sawtooth(2pi*t)原信号序列') xlabel('信号1序列点'); ylabel('幅值');grid on; subplot(3,2,2) stem(n,xn2,'.K','LineWidth',2);axis([0,100,-250,250]) title('250*sawtooth(2pi*t)原信号序列') xlabel('信号2序列点'); ylabel('幅值');grid on; subplot(3,2,3),plot(n,Mag1,'K','LineWidth',2); title('信号1振幅与相位特性'); xlabel('信号1序列点'); ylabel('振幅');grid on; subplot(3,2,4),plot(n,Mag2,'K','LineWidth',2); title('信号2振幅与相位特性'); xlabel('信号2序列点'); ylabel('振幅');grid on; subplot(3,2,5),plot(n,Phase1,'K','LineWidth',2); xlabel('信号1序列点'); ylabel('相位');grid on; subplot(3,2,6),plot(n,Phase2,'K','LineWidth',2); xlabel('信号2序列点'); ylabel('相位');grid on; figure(2) stem(n,xn1,'.K','LineWidth',2);axis([0,2048,-500,500]) subplot(2,1,1),plot(n,Mag_fpga,'K','LineWidth',2); title('FPGA振幅特性'); xlabel('信号1序列点'); ylabel('振幅');grid on; subplot(2,1,2),plot(n,Mag1,'K','LineWidth',2); title('Matlab FFT振幅特性'); xlabel('信号1序列点'); ylabel('振幅');grid on; %%离散频谱校正-比值校正法 ratio1 = Mag1(k1)/Mag1(k1plus); delta_k1=-1/(1+ratio1); if(abs(delta_k1+1)>0.01)%如果采样谱线不在需求频率处(离散频谱校正) Amp1_Cor=pi*delta_k1*Mag1(k1)/sin(pi*delta_k1) frequency1=(k1-1-delta_k1)*fc/N Angle1=Phase1(k1plus)+pi*delta_k1; else %如果采样谱线刚好在需求频率处 Amp1_Cor=Mag1(k1plus) frequency1=frequency Angle1=Phase1(k1plus) end ratio2 = Mag2(k2)/Mag2(k2plus); delta_k2=-1/(1+ratio2); if(abs(delta_k2+1)>0.01)%如果采样谱线不在需求频率处(离散频谱校正) Amp2_Cor=pi*delta_k2*Mag2(k2)/sin(pi*delta_k2) frequency2=(k2-1-delta_k2)*fc/N Angle2=Phase2(k1plus)+pi*delta_k2; else %如果采样谱线刚好在需求频率处 Amp2_Cor=Mag2(k2plus) frequency2=frequency Angle2=Phase2(k2plus) end angle_dif=(Angle1-Angle2)/pi*180 %求相位差

版权声明:本文内容由互联网用户自发贡献,该文观点仅代表作者本人。本站仅提供信息存储空间服务,不拥有所有权,不承担相关法律责任。如发现本站有涉嫌侵权/违法违规的内容,请联系我们,一经查实,本站将立刻删除。
如需转载请保留出处:https://51itzy.com/kjqy/50478.html