原理
结构方程模型(Structural Equation Modeling,SEM)就是一种将两个或多个结构模型联合起来,以实现对多元关系进行建模的统计框架,其可以解决相关性分析中无法得到的因果关系以及区别直接和间接作用,是非常重要的多元数据分析工具。

讯享网

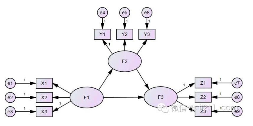
F1-F3为潜变量,X Y Z为显变量,e1-e9为误差变量。
e1-e3、x1-x3和F1构成的是测量模型,F1-F3构成的是结构模型。
在模型中包括两类变量:
(1)观测变量,是可以通过访谈或其他方式调查得到的,用长方形表示;比如图中的x1-x3,就是观测获取的变量。
(2)结构变量,是无法直接观察的变量,又称为潜变量,用椭圆形表示;如图中的F1-F3
(3)误差变量,观测变量无法完全解释结构变量,总会存在误差,这反映在结构方程模型中就是误差变量。用圆形表示;如图中的e1-e9
(4)外生变量 是指那些在模型或系统中,只起解释变量作用的变量。它们在模型或系统中,只影响其他变量,而不受其他变量的影响。在路径图中,只有指向其他变量的箭头,没有箭头指向它的变量均为外生变量。如图中的F1 F2;
(5)内生变量 是指那些在模型或系统中,受模型或系统中其它变量包括外生变量和内生变量影响的变量,即在路径图中,有箭头指向它的变量。它们也指向其他变量。如图中的F3。
路径系数检验,验证变量之间的关系是否显著,若p>0.05, 两个变量之间影响不明显,可以将不显著的路径删除。
将消费者社会经济属性、商业空间属性、消费偏好作为外生潜变量,消费时空行为作为内生潜变量,并对每个潜变量设定观测变量,构成包含 4 类潜变量、31个观测变量的商业中心消费时空行为影响因素的结构方程模型。

运行初始概念模型,发现大多数假设路径P值(限制性概率值)小于0.001,其余路径的P值也大多小于0.05。但有部分路径P值大于0.05,临界比率值的绝对值小于1.96,故不通过显著性检验,因此需对假设模型进行修正。删除以上不通过检验的关系箭头并逐次检验,增加 e4 与 e6、e4 与 e29、e6 与 e7、e7 与 e26、e14 与 e15、e16 与 e19、e16 与 e20、e19与e20的相关关系,得出通过检验的各指标的因子负荷。



除了H1、H2两个假设不成立 (P>0.05),即消费者的社会经济属性不会对商业空间属性的感知、以及消费时空行为有直接的显著影响,H3、H4、H5、H6的路径参数的C.R值 (临界比值)都大于 1.96,P<0.05,故这 4 个假设都可以得到验证。
观测变量方面,剔除 a2、a5、 a8、a22、a23、a24、a25这6个变量后(P>0.05),其余变量都可以通过路径检验。运用各项适配指标来评价反复修正后的模型拟合度(表4),得到最终模型的卡方值(Chi-square)为586.173,自由度为 (Degrees of freedom) 240,卡方值和自由度的比值等于2.442,最终模型理想可接受;进一步分析模型的拟合指标,均达到或接近理想值,可见经修正得到了一个比较理想的模型,能很好地拟合样本数据。
实现方法

链接: [1]傅辰昊,周素红,闫小培,柳林,陈蔚珊.广州市零售商业中心的居民消费时空行为及其机制[J].地理学报,2017,72(04):603-617.
新开通了本人的公众号,欢迎关注:燕南路GISer ,专注GIS干货分享,不定期更新。
主要兴趣:GIS、时空数据挖掘、python、机器学习深度学习
CSDN的部分内容会重写再搬迁到公众号,欢迎关注!

版权声明:本文内容由互联网用户自发贡献,该文观点仅代表作者本人。本站仅提供信息存储空间服务,不拥有所有权,不承担相关法律责任。如发现本站有涉嫌侵权/违法违规的内容,请联系我们,一经查实,本站将立刻删除。
如需转载请保留出处:https://51itzy.com/kjqy/45133.html