一、信号的分类
确定性信号:能够以确定的时间函数表示的信号,信号在任何时刻的取值都是固定的,信号的取值都是可以通过表达式算出来的。
随机信号:称为不确定信号或随机过程,不是时间的确定函数,没有确定的表达式,只能通过观察去得到它的样本。
例如,观察室外今天一天的温度,得到时间温度曲线,这是今天观察到的一个数据样本,但明天的室外温度曲线并不是按照上次的曲线那样变化的。
随机信号分为平稳随机信号和非平稳随机信号。
平稳随机信号:该信号的变化是随机的,但其统计特性(信号的平均值,方差)是确定的。
非平稳随机信号:该信号的变化是随机的,但其统计特性(信号的平均值,方差)也是随机的。

二、随机变量
随机变量是指变量X的取值由每次随机试验的结果决定。
如果每次随机试验的结果不是一个数,而是一个随时间变化的函数xi(t),则所有可能的这些函数的集合,称为该随机试验的随机过程(随机信号),表示为x(t),x(t)是一个集合。
随机信号不是一次的变化过程,而是所有可能变化的集合。

随机变量的取值没有确定的表达式,一般通过概率分布函数描述。

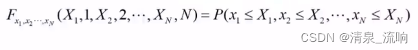
N个随机变量的联合概率分布函数为

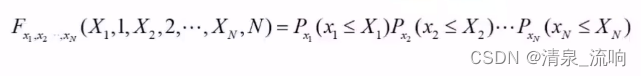
如果下式成立,N个随机变量是相互独立的。

概率密度函数

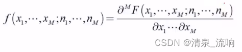
M个随机变量的联合概率密度函数为

随机变量的统计描述

几种特殊随机变量的概率密度

三、随机信号
实际应用中,常常把取值随时间变化而变化的信号,称为随机信号。
随机信号定义:一个随机信号X(t)是依赖时间t的一族随机变量,或者说它是所有可能的样本函数的集合。

随机信号的特点:
1、在任何时间的取值都是随机的(不能确切已知)
2、取值服从概率分布规律(统计特性确定,但未知)

如果对随机信号X(t)进行等间隔采样,或者说将X(t)进行时域离散化,得到随机变量X(t1),X(t2),X(t3),...,所构成的集合称为时域离散随机信号。
用n取代tn,随机序列用X(n)表示,即随机序列是随n变化的随机变量序列。


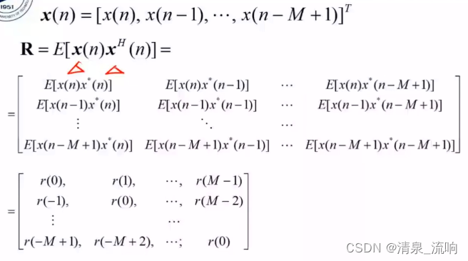
随机信号的统计描述

上述两式只描述随机序列在某一时刻n的统计特性,而对于随机序列,不同n的随机变量之间并不是孤立的。










相干信号:信号y和x满足上面的等式关系,即y和x相差一个延迟时间τ0,并且x和y相差一个幅度系数。作用:加强有用信号,去掉干扰信号。





参考视频:
https://www.bilibili.com/video/BV1wS4y1D7ng/?spm_id_from=333.337.search-card.all.click&vd_source=77c874a500ef21dfdada737

版权声明:本文内容由互联网用户自发贡献,该文观点仅代表作者本人。本站仅提供信息存储空间服务,不拥有所有权,不承担相关法律责任。如发现本站有涉嫌侵权/违法违规的内容,请联系我们,一经查实,本站将立刻删除。
如需转载请保留出处:https://51itzy.com/kjqy/44920.html