摘要:对平板太阳能集热器相变储热系统进行了能量和火用分析。将CaCl2.6H2O作为相变材料应用于蓄能系统。所设计的集热器集太阳能集蓄于一体。PCM存储在收集器下方的存储罐中。采用一种特殊的传热流体将集热器的热量传递到PCM。采用基于热力学第二定律的(火用)分析和基于第一定律的能量分析方法对系统充热效率进行了评估。分析在10月的第3天进行。结果表明,平均净能量效率为45%,火用效率为2.2%。
一.研究背景和意义
太阳能的储存是一个重要的问题,因为太阳辐射是一个时间依赖性的能源,即具有间歇性的特点。因此,系统的能源和供热需求不匹配。太阳能可以存储为显热(水和岩石)、潜热(水/冰和盐水合物)、反应热或这些热的组合。包括所需储存期、经济可行性或操作条件在内的参数对这些方法的选择是有效的。本研究采用相变材料(PCM)作为相变蓄热材料。这一选择的原因是,在太阳能加热系统中使用相变材料储能(TES)在文献中受到了相当大的关注。相变材料可以储存大量的热,使相从固态转变为液态。在潜热TES系统中,除了PCM的传热机制外,PCM的确定也起着重要作用。
本研究的主要目的是对一个装有相变材料的平板太阳能集热器进行能量和火用分析。上面给出的详细回顾清楚地表明,很少有关于PCM太阳能集热器的信息。因此,这项工作将有助于太阳能集热器制造商和用户的工业和家庭应用。
二.研究内容
对PCM太阳能集热器的系统效率进行了能量和火用分析。示意性结构如图1所示,显示了控制容积和入口和出口参数。在此基础上进行了能量和火用计算。
实验装置包括一个太阳能集热器和一个充满PCM的水箱,如图2所示。反射器安装在它的侧面,用来收集太阳能集热器上的阳光。这个集热器采用工业级“地板垫泡沫隔离器”绝缘良好。其厚度为40mm,导热系数为0.028w/mK。换热器采用铜管,外径为10 mm,厚度为1mm。PCM温度的测量是通过11个热电偶(T型铜)测量的,这些热电偶位于30mm的间隔内。三个热电偶也被用来测量导热油的温度和铜管内的进出液温度,如图3所示。


图4(a)–(c)显示了白天不同时间的储能和测量太阳辐射的变化。图4(a)显示了10月7日的结果。太阳辐射的变化在早晨几乎不变,一直持续到中午。它在中午有一个下降的过程。然而,除了在早晨,由于温差和太阳辐射较小,储存的能量也表现出类似的变化。在10月12日,获得了储存能量的钟形变化。太阳辐射也显示出类似的变化与储存的能量,直到中午。在正午时分,它又有一个下降的过程,如前面的图所示。


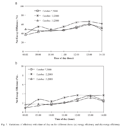
图5显示了2000年10月3天充热期间的净能量和火用效率。图5(a)显示了LHS装置在充热期间的热耗率和热能率随时间的变化。净能量效率随换热流体入口温度的升高而提高。净能源效率在38%到59%之间变化。10月12日,除了早晨,净能源效率均高。而且,中午的结果非常接近。从图中可以看出,10月12日的日平均净能源效率为45%,10月7日和15日为42%。图5(b)显示2000年10月3天净火用效率随时间的变化。随着时间的推移,这些值几乎没有增加。净火用效率在1.5%~3.3%之间变化。最大火用效率值在10月12日得到。结果表明,在充热过程中,平均火用效率仅为2.2%。结果表明,从火用效率的角度来看,这个平均火用效率值是不够的。当与净能量效率比较时,系统的净火用效率全天低于净能源效率。预计净能源效率将高于(火用)效率。由于在计算净能量效率时考虑了净能量转移的质量,所以忽略了能量转移的质量。

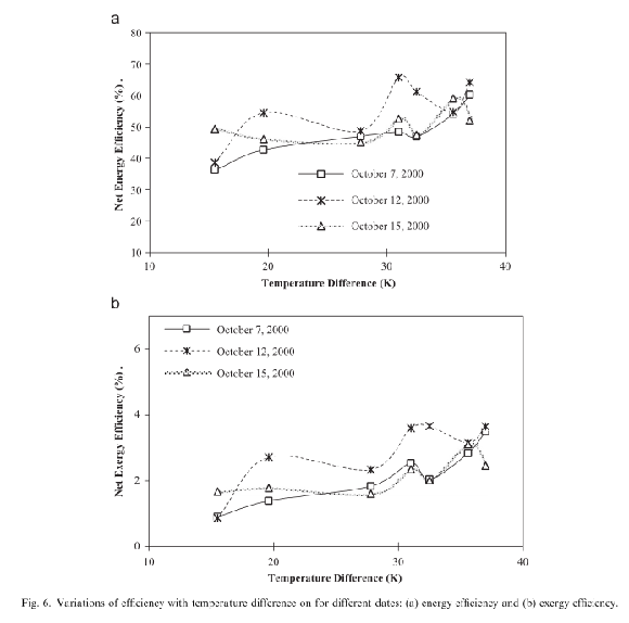
图6(a)和(b)显示了在三个不同的天数内,PCM太阳能集热器入口和出口处传热流体的温差对净能量效率(图6(a))和净(火用)效率(图6(b))的影响。太阳能集热器的净能量和(火用)效率均随集热器温差的增大而增大,这使得温差成为一个有效的参数。温差的变化也与时间有关。随着时间的推移,如图4(a)–(c)所示,由于太阳辐射减少,温差值减小。这个温差值(28K)是在中午时分得到的。对于较高的温差,能量效率和火用效率都呈锯齿形变化。所得到的收集器LHS单元的最高温差为37K。

三.结论
1.储存的太阳能和瞬时太阳辐射在白天都呈现钟形变化。
2.能量和火用的计算结果有显著差异。净能量效率高于(火用)效率。实验数据和计算结果表明,相变储热系统的火用效率很低。
3.集热器表面面积小于PCM表面积。因此,虽然获得了较低的出口温度,但增加了潜热储存系统的成本。
文本:周昊,仲东
编辑:周昊


版权声明:本文内容由互联网用户自发贡献,该文观点仅代表作者本人。本站仅提供信息存储空间服务,不拥有所有权,不承担相关法律责任。如发现本站有涉嫌侵权/违法违规的内容,请联系我们,一经查实,本站将立刻删除。
如需转载请保留出处:https://51itzy.com/kjqy/43167.html