1.集合是具有某种特定性质,具体的或抽象的对象汇集的总体
2.集合的表示有枚举法和描述法
3.集合有三个性质——确定性,无序性,互异性
4.集合S的所有元素都属于集合T,称S是T的子集
5.如果S是T的子集,T中存在至少一个元素不属于S,称S是T的真子集
6.空集是一个元素都没有的集合,它是所有集合的子集,是所有非空集合的真子集
7.区间一般是实数的子集
8.集合的运算有四种——并、交、差、补
9.集合运算满足交换律、结合律、分配律和对偶律
10.由n个非负整数的元素构成的集合称为有限集,不是有限集的集合称为无限集
11.若无限集的元素可按某种规则排成一列,则称该集合是可列集
12.任一无限集包含可列子集,无限集不一定是可列集
13.可列个可列集之并也是可列集
14.有理数集合Q是可列集
从今天开始,我们正式进入数学基础第一个模块——数学分析的学习,从【集合论】开始吧,废话不多说,进入正题。
- 集合的定义

集合是具有某种特定性质,具体的或抽象的对象汇集的总体

- 集合的表示
集合的表示有两种方式,第一种是枚举法,就是把所有元素列举出来。
比如说光的基色的集合,可以表示为{红,绿,蓝};

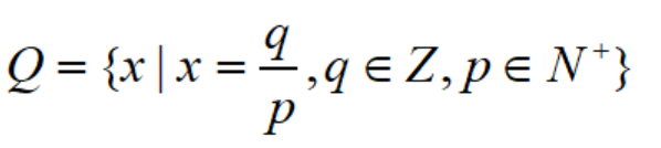
集合表示的第二种是描述法,它是指具有某种性质的元素的集合。

比如有理数集合Q用描述法表示为:

最后来介绍一下空集的概念。空集,顾名思义,是指没有一个元素的集合,用∅来表示:


- 集合性质
集合的性质有三个——元素唯一确定,元素之间无次序关系,重复元素没有意义。
集合的第一个性质也被称为确定性,它是指元素唯一确定,即给定一个集合和一个元素,该元素要么属于该集合,要么不属于该集合。

集合的第二个性质也被称为无序性,它是说任意两个集合的元素仅排列方式不同,那么这两个集合相同。比如

集合的第二个性质也被称为互异性,它是说一个集合的相同元素只出现一次。比如


子集与真子集
- 定义
对于集合S、T,若S的所有元素都属于T,则称S是T的子集

若S是T的子集,我们记作(有些书本记号可能不尽相同,阅读文献时注意区别):

很显然,下面的关系成立:


符号“⇒”表示蕴含的意思。
相对的,我们可以定义非子集:
对于集合S、T,若S中至少有一个元素不属于T,则不S是T的子集

若S不是T的子集,我们记作:

注:S不是T的子集,并非意味着S的所有元素都不属于T.
进一步,我们可以定义真子集:
若S是T的子集,在T中存在一个元素x不属于S,则称S是T的真子集

若S是T的真子集,我们记为:

这里要提一下空集∅,空集表示一个元素也没有。对于一个非空集合T,那么任意一个不属于T的元素,也就不属于∅。即命题


所以,空集∅是任意集合的子集。
进一步,给定一个非空集合,存在一个元素属于该集合而不属于空集,因此,空集∅是任一非空集合的真子集.

简便计算公式是2的n次方(n是集合元素个数)。
我们常见的区间一般是实数的子集。比如开区间(a,b):


有了子集的概念,我们可以得到证明两个集合相同的方法。先看集合相同的定义:
若S与T的所有元素完全相同,则称两集合相同,记为S=T


注:“⇔ ”符号表示等价、相互蕴含、当且仅当的意思.
要证明两个集合相同,可以证明其互为子集即可。

集合的运算
集合的基本运算有四种——并、交、差、补
- 并集与交集

集合S与T的并集,指属于S或属于T的元素的集合,用记号∪表示;
集合S与T的交集,指属于S且属于T的元素的集合,用记号∩表示.

并集与交集满足以下三个定律。
- 交换律

- 结合律

- 分配律

这三条定律都是可以证明的,我们选择分配律的第二条来证明。要证明两个集合相等,只需要证明互为子集。分两步走。
第一步:

第二步:

- 差集与补集

集合S与T的差集,是指属于S但不属于T的元素的集合,记为S\T或S-T;

根据定义,我们可以推出:

集合的运算还有一个对偶律,也称德摩根公式(De Morgan公式):


无限集与可列集
定义:
若集合S由n个元素组成(n是非负整数),则称S是有限集.不是有限集的集合称为无限集;
如果无限集中的元素可按某种规则排成一列,则称该集合为可列集


比如整数集合N+就是一个可列集,再比如满足sinx=0的x取值也构成一个可列集:

关于无限集与可列集,有如下命题成立:
- 任一无限集包含可列子集
- 无限集不一定是可列集合
比如实数集合R是无限集,但不是可列集(收敛准则第五条,这个以后证明)。
再比如整数集合Z是可列集。我们证明这一点,取


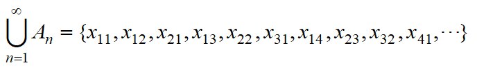
定理1:可列个可列集之并也是可列集
证明这个定理的核心是这些可列集合的并集可以排成一列,并且保证元素既不重复也不遗漏。我们证明这一点。
设每个可列集排列规则如下:

它们的并集按照如下规则排列(康托尔对角线法):

这样排列保证了元素不遗漏,其次遇到重复元素删除即可,这就证明了可列个可列集的并集依然是一个可列集。
根据这个定理可以得到第二个定理:

定理2:有理数集合Q是可列集
证明的关键是所有的有理数排成一列:


笛卡尔集合
定义:

特别的:


版权声明:本文内容由互联网用户自发贡献,该文观点仅代表作者本人。本站仅提供信息存储空间服务,不拥有所有权,不承担相关法律责任。如发现本站有涉嫌侵权/违法违规的内容,请联系我们,一经查实,本站将立刻删除。
如需转载请保留出处:https://51itzy.com/kjqy/42699.html