目录
Z1.5冲激函数
1.定义
2.冲激函数和阶跃函数关系
3.作用:冲激函数可以描述间断的导数。
Z1.6 冲激函数的广义函数定义*
1.广义函数定义
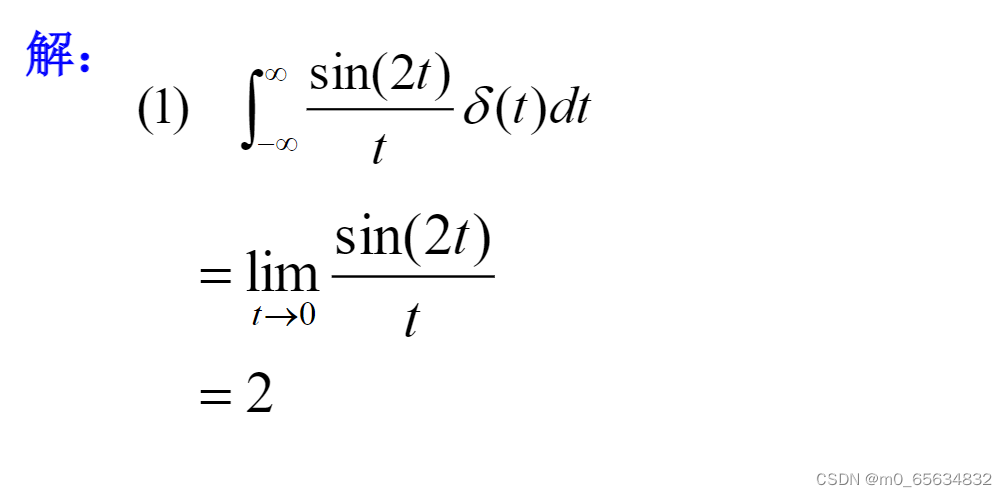
Z1.7 冲激函数的取样性质
1.f(t)乘以δ(t)
2.f(t)乘以δ(t-a)
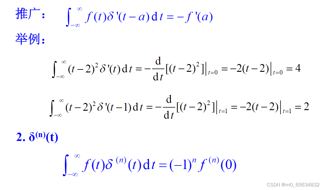
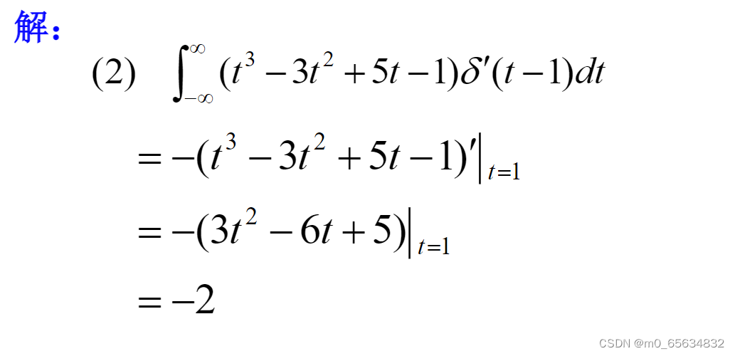
Z1.8 冲激函数的导数
1.δ'(t)(也称冲击偶)
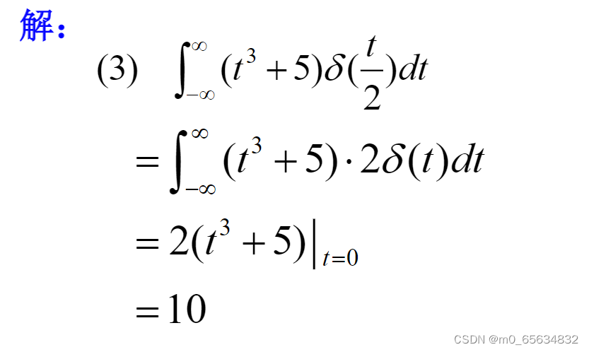
Z1.9 冲激函数的尺度变化
1.δ(at)的定义
2.推广结论
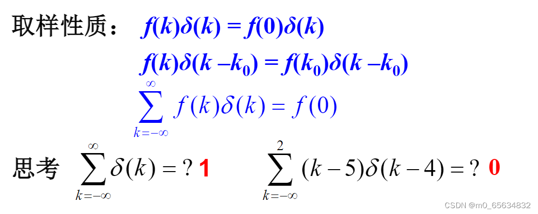
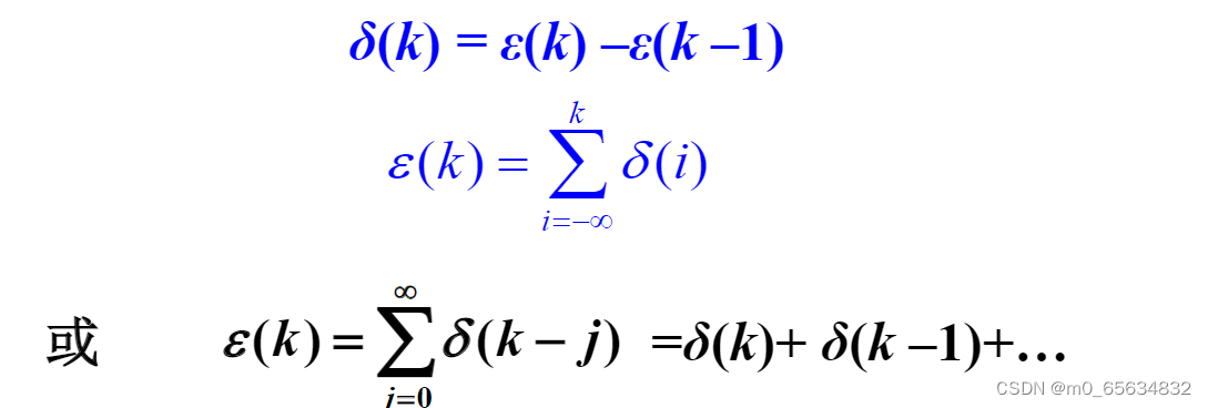
Z1.10 单位脉冲序列与单位阶跃序列
1.单位脉冲序列δ(k)
2.单位阶跃序列ε(k)
3.ε(k)与δ(k)的关系
Z1.5冲激函数
1.定义
单位冲激函数:是奇异函数,它是对强度极大,作用时间极短的物理量的理想化模型(狄拉克提出)。
理解:高度无穷大,宽度无穷小,面积为1的对称窄脉冲。
2.冲激函数和阶跃函数关系

3.作用:冲激函数可以描述间断的导数。

Z1.6 冲激函数的广义函数定义*
1.广义函数定义
*普通函数
:是将一维空间的数t经过f所规定的运算映射为一维实数空间的数y。
*广义函数
:选择一类性能良好的函数
作为检验函数(相当于自变量),一个广义函数g(t)对检验函数空间中的每个函数
赋予一个数值N的映射,记为:


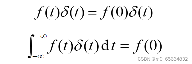
Z1.7 冲激函数的取样性质
1.f(t)乘以δ(t)

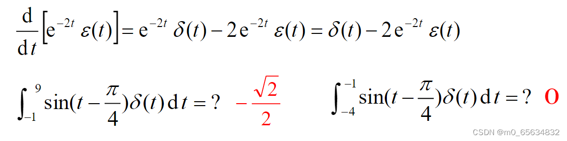
注意:积分区间要包含冲激所在的时刻t=0。

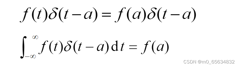
2.f(t)乘以δ(t-a)

注意:积分区间要包含冲激所在的时刻t=a。

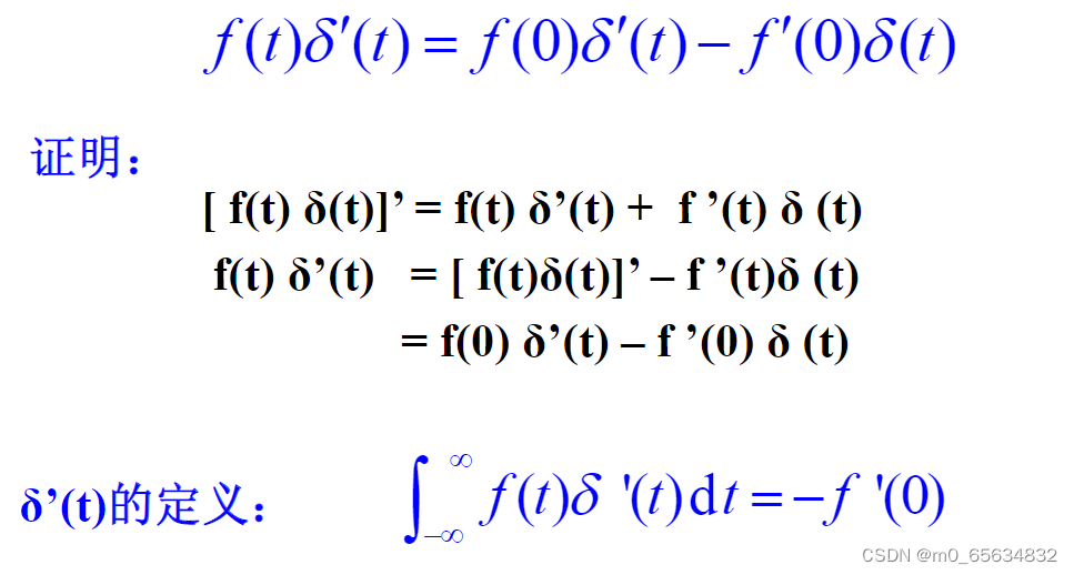
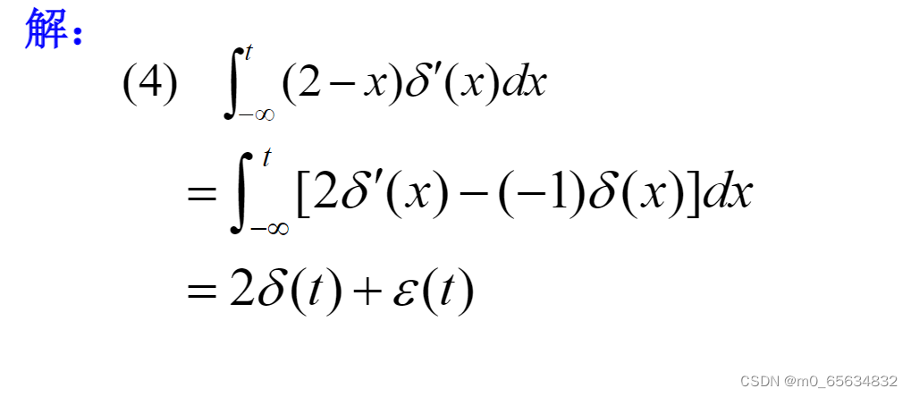
Z1.8 冲激函数的导数
1.δ'(t)(也称冲击偶)


Z1.9 冲激函数的尺度变化
1.δ(at)的定义


被压缩
被拓展

2.推广结论







Z1.10 单位脉冲序列与单位阶跃序列
1.单位脉冲序列δ(k)



2.单位阶跃序列ε(k)


3.ε(k)与δ(k)的关系



版权声明:本文内容由互联网用户自发贡献,该文观点仅代表作者本人。本站仅提供信息存储空间服务,不拥有所有权,不承担相关法律责任。如发现本站有涉嫌侵权/违法违规的内容,请联系我们,一经查实,本站将立刻删除。
如需转载请保留出处:https://51itzy.com/kjqy/40198.html