择时策略一:LLT模型
趋势跟踪是接近交易本质的一种朴实的交易思想,但是传统趋势线MA在平滑性与延迟性上无法做到很好的兼顾,基于二阶低通滤波器的低延迟趋势线LLT模型可以很大程度上解决该问题。
自2005年至2013年的实证表现看,20/30参数下,传统均线累计收益率分别为348%、324%,而LLT模型可以达到528%、1076%,收益得到大幅改善。过去10年LLT在沪深300指数上均为正收益,其中最近两年,2015年126.6%、2016年19.8%。
LLT模型在各市场指数上的最新信号方向如下:
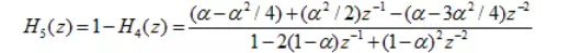
看多:上证指数、沪深300、深证成指、上证50、创业板指
看空:中小板指
1. LLT模型逻辑与方法
何谓LLT? LLT即是低延迟趋势线,模型的基本思想是趋势跟踪,一种朴实的交易思想。
跟随市场趋势是一种简单有效的投资方式,在市场处于上升趋势时,投资者可以买入并持有;当市场转为下降趋势时,投资者可以选择卖空或空仓。 跟随趋势最简单的办法是采用移动平均(Moving Average)线
其中Price一般选择收盘价, MA即为T日的N日均线指标。对于MA指标, N越大,趋势线的平滑性越好。

A指标可以很好地刻画指数或股票价格趋势,但其最大的问题在于存在延迟。例如图1所示的指数日K线及MA均线系统,蓝色、橙色、紫色、绿色分别代表5日、10日、30日和60日均线。可以看出,随着均线周期的增加,趋势跟随也出现了越来越高的延迟。
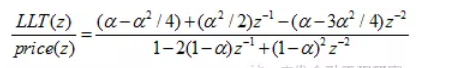
LLT模型通过一个二阶低通滤波器构造得出,首先一个二阶低通滤波器的传输函数可以写作
![]()
从下图的频率响应曲线可以看到,该低通滤波系统的低频分量在截止频率附近小幅放大(这是高阶滤波的特点之一),但又没有过分失真;同时,二阶低通滤波后的低频信号整体大于EMA指标,低频输出信号更为显著。

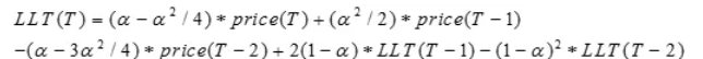
由此我们可以构建低延迟趋势线指标。由传输函数的定义(输出信号Z变换与输入信号Z变换的比值)以及低延迟趋势线的传输函数式,可以得到

结合Z变换的时位移性质,我们就可以计算得到低延迟趋势线LLT。

对比传统MA均线指标、EMA指标、修正EMA指标,以及低延迟趋势线LLT指标,如图3所示,可以看出,相对其他趋势线指标,LLT具有更显著的拐点和更低的延迟。

2. LLT交易择时策略实证
由于LLT趋势线与其他趋势系统类似,在一定的参数条件下具有较好的平滑性,因此我们可以将该趋势线近似看作一条处处可微的曲线。通过向前差分计算,我们可以在每个交易日结束后得到LLT趋势线在该点处切线的斜率K,当K>0时,看多市场;当K<0时,看空市场;当K=0时,维持之前的方向判断。

低延迟趋势线LLT交易策略与普通均线交易策略比较改善效果如何呢?下表LLT在提高了累计收益的同时,大幅降低最大回撤,收益回撤比大幅提升。

3. LLT择时模型最新表现与市场观点
过去10年LLT在沪深300指数上均为正收益,其中最近两年,2015年126.6%、2016年19.8%。


择时策略二:希尔伯特波浪模型
传统的波浪理论在业界被广泛应用,但是在数浪过程中存在参数不稳定的问题,但我们认为通过主升浪或主跌浪判断市场趋势值得深入进行量化研究。
自2005年至2016年的实证表现看,信号次数为156次,平均每次预测周期为18个交易日,累计收益为1136.52%,年化收益率为28.15%,盈亏比达3.23。
希尔伯特波浪择时模型在今年8月12日对A股市场发出看多信号,直至今日,仍然认为市场处于上升趋势,建议继续买入并持有股票。
1. 希尔伯特波浪模型逻辑与方法
传统的波浪理论被技术分析大师广泛应用,但是在数浪过程中,难以避免碰到参数不稳定的问题,比如数多少浪、如何确定波浪等。数浪是否有效先不置可否,但我们认为通过主升浪或主跌浪判断市场趋势的思路很好。
我们希望通过严谨的数量化方法判定主升浪或主跌浪。具体来说,将指数看做波浪形态,若当前指数点位相比波动一个周期前的位置高,我们认为市场处于主升浪位置,指数趋势向上,看多;若当前指数点位相比波动一个周期前的位置低,我们认为市场处于主跌浪位置,指数趋势向下,看空。

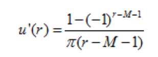
那么如何判断当前的波动周期成为算法的核心。由于股票指数的波动是非周期性的,所以需要估计当前点位的瞬时周期。计算瞬时周期在信号处理理论中有很多估计方法,我们这里采用希尔伯特变换进行分析计算。希尔伯特变换与常见的时频积分变换(如傅里叶变换、拉普拉斯变换、小波变换等)不同之处在于,它是一种从时域到时域的积分变换,其定义如下

变换前的函数,称为同相分量;变换后的函数,称为正交分量。对于指数时间序列,希尔伯特变换的离散形式为

其中当r=M+1时,u’(r)=0,其他情况u’(r)=0满足

这里M为截断参数。
希尔伯特变换后的正交分量和之前的同相分量可以构成二维空间中的一些点,这些点的轨迹正是股票指数在二维空间运动的形式。

对于上图中指数的运动轨迹,我们可以估计每个交易日运动的瞬时周期

这里我们定义瞬时角速度为当前相邻两个相量相角的差值

由此,我们可以在每个交易日收盘计算当天的瞬时周期,并比较收盘价和一个瞬时周期前的收盘价,判断市场处于主升趋势还是主跌趋势。
2. 希尔伯特波浪择时策略实证
作为择时策略,我们测算了希尔伯特波浪模型在指数择时中的效果。根据上述规则,每个交易日收盘后可以计算市场的单周期波动变化△(n)。按照如下规则

判断市场方向,给出择时信号。



择时策略三:GFTD模型
GFTD是广发金工一种基于TD模型开发的趋势跟踪择时策略,而TD模型源自美国技术分析大师TomDemark,自成一派,颇受关注,利用K线的高低价格特征,达到某些条件的K线来进行计数,计数达到13的时候对应下跌或上升趋势的衰竭的。
广发金工在通透研究TD模型之后,在A股市场进行了相应的大样本验证,由于A股的趋势波动特别强,TD13的位置在强趋势中往往不能终结,我们将TD的条件进行若干修改,使之成为趋势跟踪思想下的择时模型。
GFTD模型全样本胜率54.5%,赔率3.73,过去11年中,只有2014年略亏,2016年由于市场波动大幅萎缩,模型效果打折扣,但市场能量在震荡中积蓄,看好四季度模型表现。
GFTD模型在各市场指数上的最新信号方向为
看多:上证指数、深证成指、上证50、中小板指、创业板指
看空:沪深300
1. GFTD模型逻辑与方法
何谓GFTD? GFTD是广发金工一种基于TD模型开发的趋势跟踪择时策略,TD源自美国技术分析大师Tom DeMark,其1971年入行以来,为大量知名对冲基金提供投资建议,其开创的TD择时分析体系自成一派,颇受关注。
DeMark的TD模型本质上利用K线的高低价格特征,达到某些条件的K线来进行计数,计数达到13的时候对应下跌或上升趋势的衰竭的,进而抓取市场左侧高低点。Bloomberg里内嵌了TD分析方法,但是收费服务。

广发金工在通透研究TD模型之后,在A股市场进行了相应的大样本验证,由于A股的趋势波动特别强,TD13的位置在强趋势中往往不能终结,实证结果差强人意,我们将TD的条件进行若干修改,信号发出条件改变使之成为趋势跟踪思想下的择时模型,具体为

图1为买入信号发出的示例,买入启动形成之后买入计数达到4便为买入信号。

以上模型中介绍中需要重点解释计数取消机制,所谓计数取消机制指的是当新的买入启动形成后对原有未到达计数4的正在计数过程中的买入计数全部清零,再重最新买入启动后面开始新的计数,当新的卖出启动形成后对原有未达到计数4的正在计数过程中的卖出计数全部清零,再最新卖出启动后面开始新的计数。
从如下两图可以看到,2013年4月15日模型形成买入启动,即出现了连续四根K线,使得每一根的收盘价低于T-4那个K线的收盘价,同时市场出现了好转迹象,买入计数达到了,但是我们可以看到随后市场继续大幅下跌,在2013年5月3日再次形成买入启动,那么这个时候之前出现的2个买入计数将全部作废,买入计数再重新开始从零开始计,如上即所谓的计数取消机制,卖出计数的情况类似。


择时策略四:相位指标择时
相位指标是一个短线择时指标,就是在同步指标的基础之上构造一个领先指标。在处理指数时应该先把长期趋势剥离掉,所以相位指标只能对指数短期波动涨跌进行判断,是辅助做波段交易的短线择时神器。
1. 相位指标逻辑与方法
在上周希尔伯特波浪择时的介绍中,我们用到了信号处理理论中的希尔伯特变换。希尔伯特变换是一种时域到时域的变换,变换后输出的信号和之前的输入信号(指数时间序列)可以构成一个二维空间,每个代表点给出了指数在二维空间中的位置。

确定了指数在二维空间中的位置,也就确定了指数的相角(纵坐标与横坐标比值的反正切函数),相角的正弦函数sinθ在趋势上与指数的波动方向应该是同步的。我们可以令相位提前一些,比如π/4,构造另外一个函数sin(θ+π/4)。由于sin(θ+π/4)领先sinθ有π/4个相位,因此在sinθ出现拐点之前π/4时,sin(θ+π/4)会提前出现拐点,并与sinθ相交在提前信号拐点π/16个相位的地方。在这个交点位置,就可以形成买入或者卖出信号。这里我们举输入信号为正弦函数的一个例子,如下图所示。

相位指标做的事情很简单,就是在同步指标的基础之上构造一个领先指标。
相位指标是一个短线择时指标,原因是希尔伯特变换要求时间序列是窄带随机过程,因此在处理指数时应该先把长期趋势剥离掉,所以相位指标只能对指数短期波动涨跌进行判断,是辅助做波段交易的短线择时神器。
风险提示:
量化模型胜率并非100%,市场环境改变等因素可能使得模型失效,历史表现也不能代表未来,请特别注重风险,谨慎投资!
来源:广发金工

版权声明:本文内容由互联网用户自发贡献,该文观点仅代表作者本人。本站仅提供信息存储空间服务,不拥有所有权,不承担相关法律责任。如发现本站有涉嫌侵权/违法违规的内容,请联系我们,一经查实,本站将立刻删除。
如需转载请保留出处:https://51itzy.com/kjqy/34756.html