一、球差的基本概念
由光轴上一点发出的光线经球面折射后所得到的截距
讯享网,与入射光线与光轴夹角
或入射光线在球面上的入射点高度
相关。所以轴上点发出的同心光束经光学系统各个球面折射后,将不再是同心光束。相对近轴像点(理想像点)偏离程度就叫轴向像差,简称球差(Spherical aberration),用
表示
其中
表示实际入射光线的像方截距,
表示近轴光线的截距。
球差
是沿光轴方向的度量,是一种轴向像差,所以也称之为轴向像差。

可以看出不同的角度入射的光线经过光学系统后并不会聚焦于理想像点
,当用一个光屏沿光轴移动时,屏上所得像为一弥散斑圆。这种现象是由球差引起的,其半径称为垂轴球差,用
表示


绝大多数光学系统具有圆形入瞳,轴上点的成像光束是关于光轴对称的,所以只要讨论含轴平面位于光轴的一侧的光线即可了解整个光学系统的球差。
二、单个折射球面的球差
光学系统的球差是由每个面的产生的球差值,也就是每个折射面所产生的球差值对总球差值得“贡献量”累计而得。因此,在光学设计中要观察各个面的球差,避免单个面球差过大。
光学系统中任意一折射面如图所示,其前面各面产生的球差为
,是折射面的物方球差,经过折射面后产生像方球差
。
不能认为就是该折射面本身产生的球差,其中包含前几个面的球差贡献,也不能认为该球差是前几个面球差简单相加得到的。实际上该球差由两个部分组成,一部分是该折射面本身所产生的球差
,另一部分是折射面的物方球差乘以该面的转面倍率和轴向放大倍率。可得
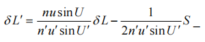
![]()

考虑实际光线的影响,采用下面的转面倍率
单个折射球面的球差表示式
S称为表面的球差分布系数。
三、球差的表示:
球差是与入射高度和孔径角有关的函数,可以由二者的幂级数进行表示。由于球差具有轴对称性,当h和U变号时,不存在他们的奇数项,当h或U为零时,像方截距
,即
,所以展开式中没有常数项;球差是轴上像差,与视场无关,故展开式中没有
或
项,所以球差可以表示为
![]()
其中展开式的第一项为初级球差,二级以上为高级球差。大部分光学系统二级以上的球差很小,可以忽略。当孔径较小时,主要存在初级球差,当孔径较大时,高级球差增大。


四、球差的校正:
如果把单正透镜和负透镜分别看做由无数个不同楔角的光楔组成的,由光楔的偏向角公式
可知,对于单正透镜,边缘光线的偏向角比靠近光轴的光线偏向角大,所以,边缘光线的像方截距
比近轴光线的像方截距
小。所以单正透镜产生负球差,单负透镜产生正球差。因此,对于共轴球面系统,单透镜本身不能校正球差,正、负透镜组合才有可能校正。
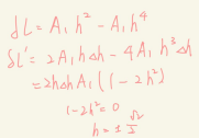
利用初级球差和二级球差的平衡,可以对一个孔径带校正球差,此时在其他带上必具有剩余球差。当对边缘光线校正球差后,首先以光线的相对高度表示展开式![]()
当对
的边缘光消球差时,有
。为求得球差的极值,将上式对h微分,并令其为零,可以得到![]()

这一带光线,通常称为带光,具有最大的剩余球差,其值是边缘光为平衡高级球差所需要的初级球差的四分之一。若高级球差为正,则带球差一定为负。光学系统的高级球差越大,带球差也就越大;反之,已对边光消球差的系统,带球差大的,高级球差也大。实际计算表明,结构式一定的光学系统,在修改结构参数的过程中,高级球差变化甚微。同时经过推导表明,一个面产生的高级球差与初级球差的比值和折射面的相对孔径(h/r)的平方成比例。因此一般而言,光学系统各折射面的半径应大些,以使其具有小的相对孔径。一般h/r<0.5,一定型式的系统,为使带球差不超过容限,其相对孔径不可以任意增大。相对孔径或数值孔径很大的系统必须要有比较复杂的结构。
如图所示可以绘制出球差曲线,更为直观反映出球差的性质和校正情况。初级球差曲线为一条直线,且与高级球差曲线相切与原点。显然,高级球差越大,初级球差曲线也就越远离纵坐标轴。可以在此图中看出在0.5带有大球差,也说明带球差表征了高级球差。

对于单个折射球面,有几个特殊的物点位置,不管球面的曲率半径如何,均不产生球差。
(1)L=0,此时有
,
,物点和像点均位于球面顶点。
(2)
,表示物点和像点均位于球面的曲率中心,
,
(3)
,因为
故可以得出
,
,不管孔径角U多大,均不产生球差,由上两式可得出
,则
^2
上述三对共轭点称作不晕点或齐明点,常利用齐明点的特性来制作齐明透镜,以增大物镜的孔径角,用于显微物镜或照明系统中。
版权声明:本文内容由互联网用户自发贡献,该文观点仅代表作者本人。本站仅提供信息存储空间服务,不拥有所有权,不承担相关法律责任。如发现本站有涉嫌侵权/违法违规的内容,请联系我们,一经查实,本站将立刻删除。
如需转载请保留出处:https://51itzy.com/kjqy/29876.html