什么是脑灌注成像?
CT灌注(CTP)是一种功能成像技术,可提供有关脑实质毛细血管水平血流动力学的重要信息,在评估急性中风、血管痉挛和其他神经血管疾病方面是对非增强CT和CT血管造影优势的自然补充。CTP在确定不可逆性脑梗死组织(梗死“核心”)和严重缺血但可能可挽救的组织(“半暗带”)的范围方面至关重要。这是通过生成脑血流量、脑血容量和平均传输时间的参数图来实现的.

缺血半暗带指临床上可以被挽救的脑组织。CTP在检测缺血性脑损伤及区分梗死灶和缺血半暗带上准确性很高。CTP检测脑缺血和梗死灶的敏感度最低为67%。
灌注成像的应用
灌注成像在急性脑卒中和肿瘤中应用最为广泛。在脑卒中的诊断中,灌注成像的目的是识别受影响组织的程度,并描绘可再灌注的缺血组织。在肿瘤学中,灌注成像有助于识别由于新生血管的产生而改变局部组织灌注的血管生成肿瘤。
急性脑卒中
缺血性脑卒中的半影(penumbra)缺血半暗带,是指局部跨膜电位、离子梯度和组织结构尚正常,但相应区域由于缺血导致生物电活动停止的脑组织。如果获得适当的灌注,半影组织可挽救。

脑肿瘤
评价颅内肿块性病变时CBV是最有用的参数。

CTP和MRP的区别
由于MR成像和CT计算灌注参数(如CBF、CBV和MTT)的一般原则是相同的,因此使用这两种技术进行灌注成像的总体临床适用性是相似的。
- 成像原理:CTP使用X射线扫描获得图像,而MRP使用磁共振成像技术。
- 对比剂:CTP使用静脉注射的对比剂,通常是含碘的造影剂。MRP使用静脉注射的对比剂,通常是乱盐(Gadolinium)的磁共振对比剂。
- 时间分辨率:CTP可以提供更高的时间分辨率,通常每秒获取一张图像。MRP的时间分辨率较低.通常每几秒或几十秒获取一张图像。
- 空间分辨率:CTP通常具有较高的空间分辨率,可以显示更细微的血管结构。MRP的空间分辨率较低,可能无法显示较小的血管。
CTP的一个缺点是覆盖范围相对有限,而MRP能够在一次注射中覆盖整个大脑。
脑灌注成像相关血流动力学参数
- 平均通过时间(MTT):造影剂从颅内的动脉侧到静脉侧所需要的时间,所有通过时间的平均值(s)。
- 脑血流量(CBF):以每100g脑组织内每分钟的血流毫升数[ml/ (100 g .min) ],
- 脑血容量(CBV):每100克脑组织中的血液容量[mL/100g]
- 达峰时间(TTP):从造影剂到达成像脑区的主要动脉时开始,至造影剂达到最大量的时间(s)。Core:在手术中通常被定义为CBV病变体积
- Penumbra:作为MTT或CBF病变体积
- Mismatch:通常定义为Core和Penumbra两者之间的差异
根据血管动力学建立理论模型
组织水平微循环模型
为了计算组织灌注,我们假设了组织血液供应的生理模型。图2显示了该模型,由覆盖器官特异性实质、间隙和毛细血管床的感兴趣Vvoi体积组成。实质和间隙的体积用V * voi表示,而毛细管床的体积用Vcap表示。整个感兴趣的体积Vvoi = V * voi + Vcap应由单一动脉入口供血,并相应由单一静脉出口排出

示踪剂动力学理论
示踪剂动力学理论指出,如果知道一个体素的示踪剂的输入和输出,就可以确定分布的体积(即血管体积分数)和清除率(即单位组织体积的流量)。
血管体积分数f:

其中,Vvasc,Vinterstitium Vcells 分别为血管间隙、间质和细胞所占的体积。跟上述组织水平微循环模型的构造是一致的,只是名字有不同叫法。
组织中的对比剂浓度:Ctissue和血管内浓度 Cvasc的关系:

通过动脉输送到组织的造影剂的总量: 根据质量守恒原理,这个总量必须等于离开组织的量,即CBF与Cvasc(t)积分的乘积。

从上述公式可以得出:

量化脑血管容积(CBV)
要量化脑血管容积(CBV),通常使用动态对比增强成像技术.如动态CT (CTP)或动态磁共振成像(DSC-MRI)。对于动态CT,首先需要通过静脉注射对比剂,然后进行连续的CT扫描,以跟踪对比剂在脑血管中的动态分布。获得的图像序列可以用来计算CBV。

计算CBV的一种常见方法是使用积分法,根据如图,对比剂浓度-时间曲线(TAC)计算区域的曲线下面积。通过选择感兴趣的脑区域(如灰质或白质),测量该区域内对比剂的浓度.并计算曲线下面积。最终得到的数值表示该脑区域的血管容积。
CBV等于两条曲线下的面积之比,分别是Ctissue和Carterial。这可以近似为两条曲线接近稳态时HUtissue/HUarterial的比值。
考虑脑组织衰减ρ和校正因子CH(毛细血管的血细胞比容明显低于动脉血细胞比容;因此,需要引入CH来量化CBV)来调整动脉和毛细血管红细胞比容的差异,CBV计算如下:

碘处理引起的衰减变化与其浓度成正比;因此,具体地说,CBV可以以每100克组织的毫升数表示如下:

其中Vvoxel为体素体积,N为100g组织中计算的体素数
指示剂(示踪剂)稀释理论
指标剂稀释理论的基本原理是,在血流通过组织或器官时,将一定量的指标剂注入循环系统中。指标剂随着血液流经目标组织或器官而被稀释。通过测量指标剂在时间上的浓度变化,可以推断出血流量。
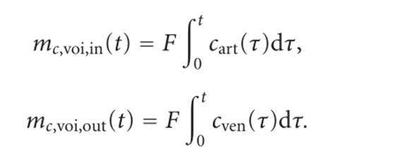
在时间间隔[0,t]内进入和离开感兴趣体积的造影剂的累积质量分别为

利用质量守恒原理,我们可以计算出在目标体积t时刻造影剂的质量Mc,voi(t):

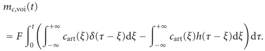
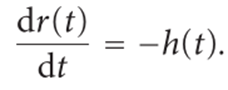
静脉出口造影剂浓度Cven(t)可由动脉入口造影剂浓度Cart(t)与概率密度函数h(t)卷积得到。因此我们得到

(概率密度函数 h(t) 描述了血液在该区域内的通过时间分布情况)
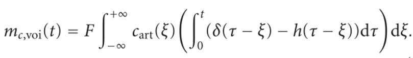
利用上述两个公式,可以得到:


当t>=0:

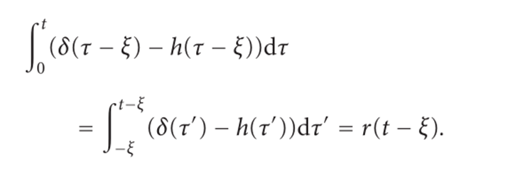
令τ‘= τ−ξ,考虑当t < 0时h(t) = 0 ,我们得到:

因此式子最终为:

我们引入脑血流量(CBF)作为由体积Vvoi的质量归一化的血容量流量:

将该定义插入Mc,voi(t)的公式:


我们定义感兴趣体积Vvoi内造影剂浓度Cvoi(T)为:

最终导致了以下指标稀释理论的表述:

其中*表示卷积算子
CBF和MTT计算
计算CBF和MTT的两种主要数学方法是基于反卷积和非反卷积的方法。反卷积技术在技术上要求更高,涉及更复杂和耗时的处理,而非反卷积技术更直接,但依赖于对潜在血管结构的简化假设。
反卷积方法

上述公式,变量Cart(t)和Cvoi(t)可以测量,并且具有已知值,而CBF、r(t)和ρvoi的值是未知的。为了计算CBF以及其他与诊断相关的组织灌注参数,我们首先需要引入一个中间变量,即流量缩放残差函数k(t)

结合上述公式,Cvoi(t)可以表述为:

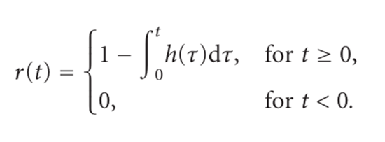
因此,k(t)可以用反卷积的方法从测量数据Cart(t)和Cvoi(t)中得到。由于残差函数r(t)的一个基本性质是r(0) = max(r(t)) = 1,因此我们可以确定CBF为:

这里使用max(k(t))代替k(0)具有特殊的实际优势:(由于函数k(t)在t = 0时可能为0(由于造影剂延迟),因此建议将CBF估计为k(t)的最大值(比较(19)),而不是k(t)在时间t = 0时的值。)
当t > 0时,有:

残差函数r(t):

MTT) 是描述血流灌注性能的一个重要参数。它是指考虑区域内血液通过的平均时间。这个参数可以通过计算血流通过时间的概率密度函数 h(t) 的一阶矩来定义。概率密度函数 h(t) 描述了血液在该区域内的通过时间分布情况,而 MTT 则代表了该分布的平均值。通过计算 MTT,我们可以评估血液在特定区域内的平均通过时间,从而了解该区域的血流灌注状态。


反卷积方法在实际实现中的注意事项
在实际实现中,我们要考虑造影剂延迟和造影剂扩散的问题:
在实际测量中,无法直接在体积Vvox的动脉入口处局部测量浓度cart(t),而是常常选择在大动脉血管中选择全局动脉输入函数(AIF)。例如,在脑灌注成像中,通常选择前脑动脉。
这种方法导致了造影剂从AIF测量点到测量cvoi(t)的组织体积的运行时间,我们将其称为造影剂延迟。另一个需要考虑的物理效应是造影剂扩散。在从远离AIF测量点到cvoi(t)测量点的流动过程中,造影剂的形状会发生扩散。
造影剂延迟有两个影响。首先,曲线cvoi(t)的上升时间不同于cart(t)的上升时间。这两个时间点之间的差异可以定义为造影剂到达时间(BAT),它可以被视为额外的灌注参数。

另一种定义BAT的方法是将其定义为扫描开始和Cvoi(t)开始上升的时间间隔,如图所示。使用这种替代定义得到的结果与使用第一种定义得到的结果仅相差一个常数值。
其次,流量缩放残留函数k(t)在t = 0到t = BAT的时间段内等于0。此外,由于造影剂扩散,k(t)在t = BAT时不会立即达到最大值,而是有一个有限的上升时间。流量缩放残留函数的到达最大值的时间。
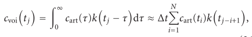
在实践中,时间-浓度曲线cart(t)和cvoi(t)在离散时间点采样。我们将这些时间点记为tj = (j−1)·Δt,其中j = 1,…N.采样周期Δt的典型值为1s。我们可以离散化 Cvoi(t)=(Cart*k)(t)为:

通过使用矩阵向量表示法重写该表达式,我们得到:

即:

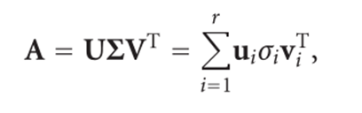
求解k的标准方法是使用A的奇异值分解(SVD)。对于矩阵A∈RN×N,其r =秩(A)行、列线性无关,定义为:

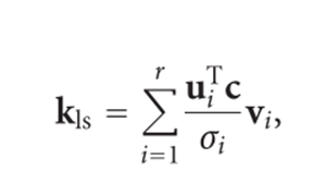
Kls的最小二乘解为:

求Kls等价于最小化如下平方欧几里得残差范数:

这种方式有个问题,AK=C其实是一个病态的矩阵,即使C的变化很小都会使k产生很大的变化。 原因:
U i T C / σ i U^{T}_iC/σ_i UiTC/σi违反了离散皮卡德条件
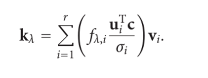
解决方法:加正则化参数,j解决上述权重因子绝对值较大的影响。

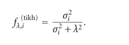
fλ,i的定义:滤波器因子fλ,i (tsvd)对应于截断奇异值分解(tsvd)方法,并在λ处定义一个尖锐的阈值:

第二种滤波因子:

用了第二种滤波因子的k等价于如下:

替代反卷积的方法:
傅里叶变换
采用正交多项式进行反卷积的方法。
基于SVD的反卷积方法有多种软件包[67-69],实现起来比较简单,可以认为是目前灌注图像分析的标准方法。
无论是CT成像还是MR成像,时间-浓度曲线cart(t)和cvoi(t)都不能直接测量。相反,测量是来自组织本身和造影剂的信号的叠加。因此需要将信号转换为造影剂浓度
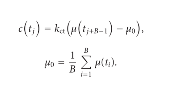
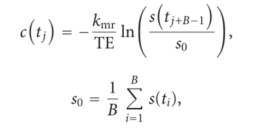
CT的转换:

μ0可以通过在对比剂注入动脉输入函数之前的B个时间帧内计算μ(tj)的平均值来得到。kct是一个常数,用于将X射线衰减值(以Hounsfield单位表示)转换为对比剂浓度(以克/毫升表示)。它的值通常设定为1 g/mL/HU,以简化计算和分析过程。该常数是根据实验和经验确定的
MR的转换:

Kmr与Kct类似
非反卷积法
最大斜率法计算灌注参数
脑组织体素中的对比度累积质量Q(T):在一段时间内,脑组织体素在注射造影剂期间(用生理盐水“追踪器”)完全洗入和洗出造影剂的时间内,等于CBF与动静脉造影剂浓度差的时间积分的乘积:

假设在上述时间段内,静脉浓度为零。(这个假设只有在T = 1.4 - 6秒时才有效),上式可简化为:

这被称为Mullani-Gould公式或单室公式
写成导数形式:

可见,造影剂积累速率在动脉浓度最大时达到峰值。(原因:动脉血流是造影剂注射后首先到达的区域,因此动脉浓度最大。随着时间的推移,造影剂会从动脉进入脑组织的毛细血管床。在初始注射后的一段时间内,造影剂的浓度会逐渐增加,直到达到动脉浓度的峰值。)

因此,CBF是Q(t)的最大斜率与最大动脉浓度之比。这类似于Mullani-Gould公式中关于时间的微分,被称为“最大斜率法”。最大斜率法的主要优点是计算灌注值的简单性和速度。然而,需要非常高的造影剂注射速率-通常至少10ml /s -以满足无静脉流出假设。这些比率不能在临床实践中常规达到。
灌注CT的金标准一直是用稳定的氙气作为造影剂成像[7,15]。这种方法包括吸入稳定的氙气和氧气的混合物,然后进行CT扫描。
版权声明:本文内容由互联网用户自发贡献,该文观点仅代表作者本人。本站仅提供信息存储空间服务,不拥有所有权,不承担相关法律责任。如发现本站有涉嫌侵权/违法违规的内容,请联系我们,一经查实,本站将立刻删除。
如需转载请保留出处:https://51itzy.com/kjqy/24015.html