第3课 : 关于离散随机变量的更多信息
Probability generating functions (pgf, 概率生成函数)
假设X是一个离散型随机变量,只取非负整数值。X的概率生成函数(pgf)为:
注:G(
) 是X的概率质量函数(概率分布函数)G(
)=
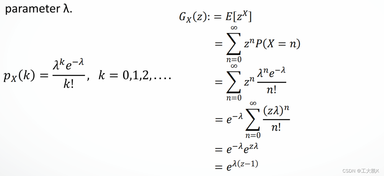
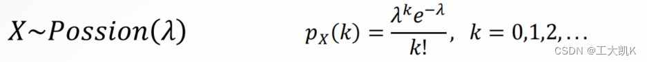
泊松分布的概率生成函数:
泊松分布概率生成函数 pgf :

概率生成函数的重要性质:
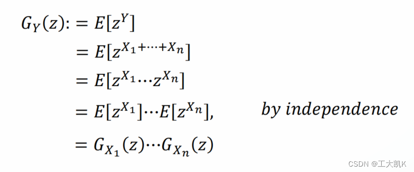
1: 独立随机变量之和的概率生成函数pgf 等于 各个独立随机变量概率生成函数pgf 的 乘积 。(因分解特性factorization property)

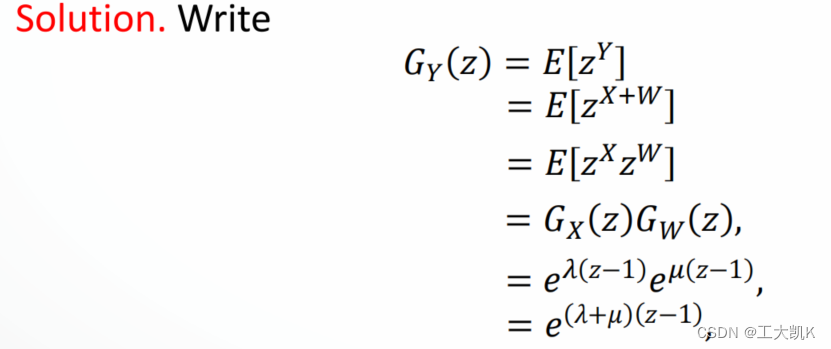
重要性质的相关例子:
X (参数为
) 和 W(参数为
)是相互独立的泊松分布随机变量 Y = X+Y ,求Y的概率生成函数

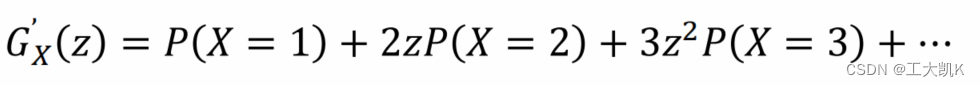
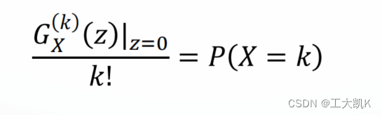
从概率生成函数pgf 恢复 概率质量函数(概率分布函数)
1. 概率生成函数的一般展开式


![]()

![]()





binomial random variable(二项式随机变量)
二项分布的概率质量函数(概率分布函数)



当n很大、p很小的时候,二项分布可以近似看成以参数
=np的泊松分布

二项分布概率生成函数pgf: 



因为我们可以通过概率生成函数恢复概率质量函数(概率分布函数)(使用求导 z=0的方法),所以若两个随机变量的概率生成函数近似的话,可以得出两个随机变量的概率分布也是近似的。

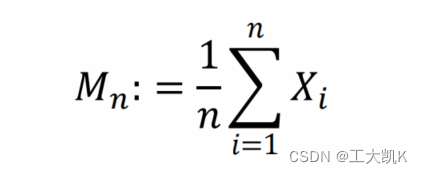
弱大数定理(The weak law of large numbers)WLLN

版权声明:本文内容由互联网用户自发贡献,该文观点仅代表作者本人。本站仅提供信息存储空间服务,不拥有所有权,不承担相关法律责任。如发现本站有涉嫌侵权/违法违规的内容,请联系我们,一经查实,本站将立刻删除。
如需转载请保留出处:https://51itzy.com/kjqy/22921.html