逻辑回归最经典的分类算法
有监督机器学习
线性回归:预测一个连续的值
逻辑回归:预测一个离散的值
逻辑回归的引入
良性肿瘤 and 恶性肿瘤
有一家医院希望我们能开发出一款分类器,可以通过数据分析出一块肿瘤到底是良性的,还是恶性的。

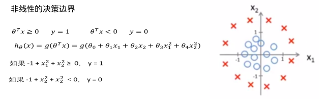
讯享网

当我们要做二分类的时候,我们一般只希望得到两个值 y = 0 或 1。但是, 线性回归得到的值是在一个范围内的连续值,而且可能远 > 1 或远 < 0。这样会给分类带来困难。






熵的引入
熵的意义:
热力学上:熵是一种测量分子不稳定的指标,分子运动越不稳定,熵就越大
信息论(香农):熵是一种测量信息量的单位,信息熵,包含的信息越多,熵就越大。
机器学习:熵是一种测量不确定性的单位,不确定性越大,概率越小,熵就越大!


SoftMax
有一种逻辑回归的一般形式,叫做Softmax回归,能让你在试图识别某一分类中做出预测,或者说多分类的一种,不只是识别两个分类。C表示你的输入会被分入的类别总个数。

逻辑回归和SoftMax的区别。
逻辑回归主要是用来做二分类的,Softmax主要是用来做多分类的。
SoftMax回归将logistic激活函数推广到C类,而不仅仅是两类,如果C=2,那么softmax实际上就是逻辑回归。
评估指标 K折交叉验证

正例和负例
对于二分类问题,可将样例根据其预测结果分为正例(Positive)和负例(Negative)
真例和假例(便于理解)
对于二分类问题,可将样例根据其预测类别(预测的对不对)分为真例(True)和假例(False)
查准率和查全率

做一个逻辑回归的例子
代码实现如下:
import numpy as np from sklearn import datasets from sklearn.linear_model import LogisticRegression from sklearn.model_selection import train_test_split,GridSearchCV import matplotlib.pyplot as plt iris=datasets.load_iris() X=iris['data'] Y=iris['target'] X_train,X_test,Y_train,Y_test=train_test_split(X,Y,test_size=0.2) # X_train=iris['data'][:120] # Y_train=iris['target'][:120] # X_test=iris['data'][120:] # Y_test=iris['target'][120:] param_grid={'tol':[1e-4,1e-3,1e-2], 'C':[0.4,0.6,0.8] } log_reg=LogisticRegression(multi_class="ovr",solver= "sag",max_iter=10000) # log_reg.fit(X_train,Y_train) grid_search=GridSearchCV(log_reg,param_grid,cv=3,iid=True) grid_search.fit(X_train,Y_train) print("train_score:",grid_search.score(X_train,Y_train)) print("test_score:",grid_search.score(X_test,Y_test)) # Y_train_predict=log_reg.predict(X_train) # print("train_score",log_reg.score(X_train,Y_train)) # print("text_score",log_reg.score(X_text,Y_text))
讯享网

我们训练集的分数和测试集分数都还是比较高的。

版权声明:本文内容由互联网用户自发贡献,该文观点仅代表作者本人。本站仅提供信息存储空间服务,不拥有所有权,不承担相关法律责任。如发现本站有涉嫌侵权/违法违规的内容,请联系我们,一经查实,本站将立刻删除。
如需转载请保留出处:https://51itzy.com/kjqy/22926.html