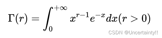
伽马函数

讯享网
第一种形式
例子:
∫ 0 + ∞ 3 x 3 e − 3 x d x = 1 27 ∫ 0 + ∞ ( 3 x ) 4 − 1 e − 3 x d ( 3 x ) = Γ ( 4 ) 27 = Γ ( 3 + 1 ) 27 = 3 ! 27 = 2 9 \int_{0}^{+\infty}3x^3e^{-3x}dx=\frac{1}{27}\int_{0}^{+\infty}(3x)^{4-1}e^{-3x}d(3x)=\frac{\Gamma(4)}{27}=\frac{\Gamma(3+1)}{27}=\frac{3!}{27}=\frac{2}{9} ∫0+∞3x3e−3xdx=271∫0+∞(3x)4−1e−3xd(3x)=27Γ(4)=27Γ(3+1)=273!=92
第二种形式
例子:
常用到的 Γ \Gamma Γ函数的性质



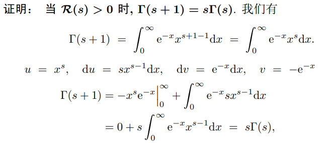
1.1 伽马函数方程


1.2 伽马函数方程与阶乘函数的关系

1.3 余割等式

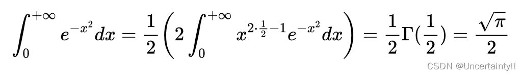
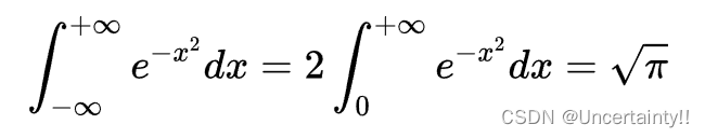
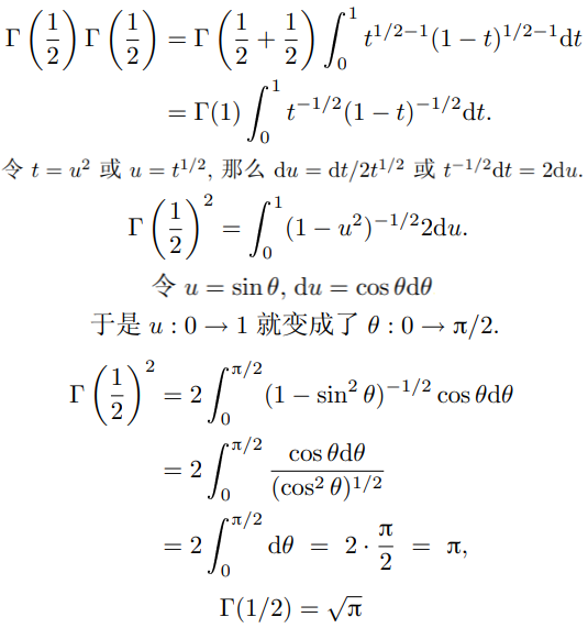
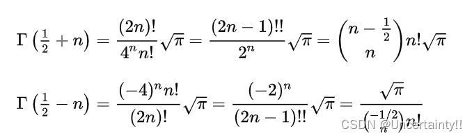
计算 Γ ( 1 2 ) \Gamma(\frac{1}{2}) Γ(21)

利用余割等式计算 Γ ( 1 2 ) \Gamma(\frac{1}{2}) Γ(21)
Γ ( 1 2 ) Γ ( 1 − 1 2 ) = π sin ( π 1 2 ) = π Γ ( 1 2 ) = π \Gamma(\frac{1}{2})\Gamma(1-\frac{1}{2})=\frac{\pi}{\text{sin}(\pi\frac{1}{2})}=\pi\\ ~\\ \Gamma(\frac{1}{2})=\sqrt{\pi} Γ(21)Γ(1−21)=sin(π21)π=π Γ(21)=π
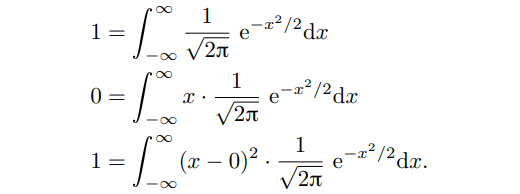
1.4 正态分布与伽马函数
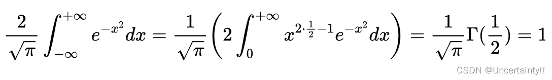
与标准正态分布( μ = 0 、 σ 2 = 1 \mu=0、\sigma^2=1 μ=0、σ2=1)相关的重要积分


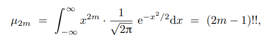
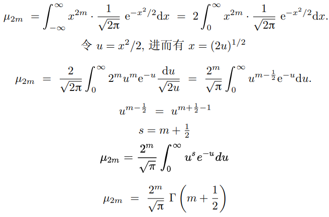
2m阶矩(偶数阶矩)
双阶乘的意思是取遍相差二的项直至取到 2 或 1 为止(例如:5!! = 5 · 3 · 1、6!! = 6 · 4 · 2)
不考察奇数阶矩, 因为它们都等于 0

证明

下面公式来自:Gamma function

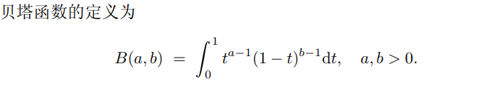
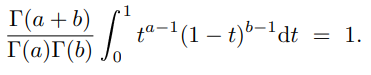
1.5 贝塔函数和贝塔分布


两端同时乘 Γ ( a + b ) Γ ( a ) Γ ( b ) \frac{\Gamma(a+b)}{\Gamma(a)\Gamma(b)} Γ(a)Γ(b)Γ(a+b)



版权声明:本文内容由互联网用户自发贡献,该文观点仅代表作者本人。本站仅提供信息存储空间服务,不拥有所有权,不承担相关法律责任。如发现本站有涉嫌侵权/违法违规的内容,请联系我们,一经查实,本站将立刻删除。
如需转载请保留出处:https://51itzy.com/kjqy/21295.html