

01
新药研发的流程:
1. 要确证和选择疾病相关的靶标,建立生物活性评价方法。
2. 筛选或者设计与靶标相结合的苗头化合物或者先导化合物。
3. 先导物经优化设计与逐级评价,筛选出高效低毒的候选药物。
4. 临床前研究,主要包括制备工艺、质量标准、药效、毒理和药代等项目。
5. 临床研究,分为四个阶段,完成I期(人体耐受性和药代动力学评价)、II期(治疗作用初步评价)和III期(治疗作用确证)临床试用评价后,提交新药注册申请(new drug application, NDA),经药政部门审评批准后即可上市。新药上市后需要进行IV期临床评价,经大范围人群验证后,疗效确切、无明显毒副作用的方可转为正式药物。
02
药物研发策略:
一是首创类(First-in-Class)药物,针对新靶点全新设计。
二是模仿型(”Me-too”和”Me-better”)药物,基于首创类药物进行结构优化。该类新药研发方法风险小、投资少、周期短、成功率高。
03
药物合成:
药物合成是新药研发的物质基础。一个完美的药物分子设计方案,最终还是要能够合成出来。如果不能通过化学方法合成得到,那么新药发现也只是纸上谈兵。
1.经典有机合成反应,是药物合成设计的理论基础,大约有 500 多个,可以通过网络和有关书籍获得。
2.特殊有机合成反应,需要实践积累,及时跟踪新的文献进展,或者根据目标分子的合成需求发展新反应。
04
药物合成设计策略:
反合成分析设计法:药物合成设计的第一步,考察目标分子化学结构,找出关键结构特征。一般主要考察结构的对称性、重复性、化学稳定性、化学反应性、特殊的母核或基团。以化学反应原理和规律为依据,把结构复杂的目标化合物分步切割成为结构更简单、原料更易得的试剂,逐步逆向推演出合成起始原料。
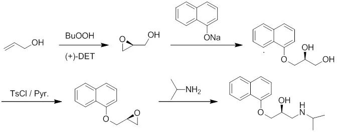
例如:****的反合成分析和合成路线。
▲图 ****的反合成分析
▲图 ****的合成路线
反向合成分析法被广泛应用于合成路线的设计,并且逐渐实现了自动化,现已发展成为计算机辅助合成路线设计。
▲图 计算机辅助合成路线设计的工作原理
《药物合成——路线设计策略和案例解析》
张万年、盛春泉 主编
书号:978-7-122-35688-8
出版时间:2020-05
定价:188.00
▲长按识别 即可优惠购买本书
第 1 部分概要介绍了药物合成技术的发展历程、主要任务和策略、新技术和未来发展趋势,重点对目标分子考察进行了分析。
第 2 部分详细介绍了药物合成路线设计的基本策略,包括反合成分析策略、手性合成设计策略、选择性控制策略、合成路线的评价和选择等,并且对后期官能团化策略、计算机辅助合成路线 设计和药物合成新技术等前沿领域也进行了深入阐述。
第 3 部分为药物合成案例解析。详细介绍了 70 余个典型药物的合成设计实例,使读者通过这些实例的研读获得药物合 成设计的感性认识与经验。
目录预览
▲长按识别 即可优惠购买本书
*以上内容包含广告
发货说明:商品付款后,工作日48小时内发货,节假日不发货,顺延至工作日正常发货。
发票说明:药渡书店图书下单7天内可以提供开票服务,下单时备注下发票抬头、税号及接收邮箱信息,则可在确认收货无误后我方提供增值税电子版普通发票。

版权声明:本文内容由互联网用户自发贡献,该文观点仅代表作者本人。本站仅提供信息存储空间服务,不拥有所有权,不承担相关法律责任。如发现本站有涉嫌侵权/违法违规的内容,请联系我们,一经查实,本站将立刻删除。
如需转载请保留出处:https://51itzy.com/kjqy/204881.html