

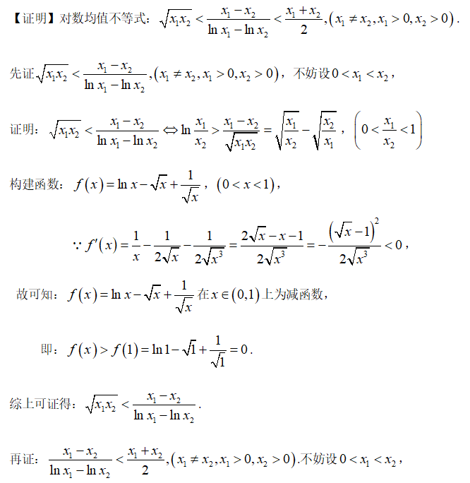
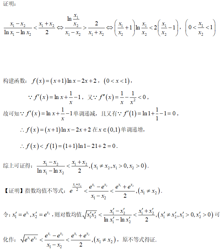
上述也可以先构建函数证明指数均值不等式之后换元证明对数均值不等式.
【高考母题】:




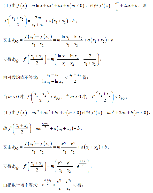
【母题证明】:


母题可以得出结论:1、上述模型的极值点偏移(左移或右移)由对数或指数前系数的正负决定,与二次项、一次项系数无关;2、二次函数图象上任意两点的连线与这两点横坐标中值对应点的切线平行.

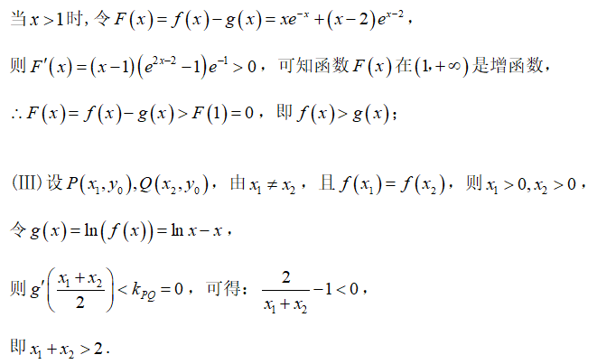
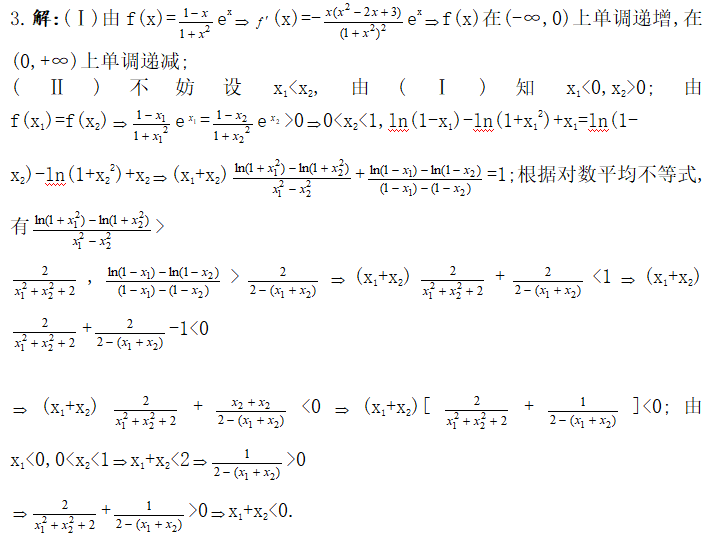
【高考案例】 1.对数模型


2.指数模型


3.切线背景


4.子题系列:


5.子题详解:




2025届103个微专题(word解析版)
指数与对数的转换公式例题(指数与对数如何转换)上述也可以先构建函数证明指数均值不等式之后换元证明对数均值不等式 高考母题 母题证明 母题可以得出结论 1 上述模型的极值点偏移 左移或右移 由对数或指数前系数的正负决定 与二次项 一次项系数无关 2 二次函数图象上任意两点的连线与这两点横坐标中值对应点的切线平行 高考案例 nbsp nbsp 1 对数模型 2 指数模型 3 切线背景


上述也可以先构建函数证明指数均值不等式之后换元证明对数均值不等式.
【高考母题】:




【母题证明】:


母题可以得出结论:1、上述模型的极值点偏移(左移或右移)由对数或指数前系数的正负决定,与二次项、一次项系数无关;2、二次函数图象上任意两点的连线与这两点横坐标中值对应点的切线平行.

【高考案例】 1.对数模型


2.指数模型


3.切线背景


4.子题系列:


5.子题详解:




2025届103个微专题(word解析版)
版权声明:本文内容由互联网用户自发贡献,该文观点仅代表作者本人。本站仅提供信息存储空间服务,不拥有所有权,不承担相关法律责任。如发现本站有涉嫌侵权/违法违规的内容,请联系我们,一经查实,本站将立刻删除。
如需转载请保留出处:https://51itzy.com/kjqy/199374.html