一、串联谐振
如图1所示为RLC串联电路,输入阻抗可表示为
讯享网,可以看出,电感L和电容C的频率特性不仅相反(感抗与ω成正比,而容抗与ω成反比),而且直接相减(电抗角差180°)。

可以肯定一定存在一个角频率ω0使感抗和容抗相互完全抵消,即X(jω0)=0。因此,阻抗Z(jω)以ω0为中心,在全频域内随频率变动的情况分为3个频区如下:
| ω<ω0 X(jω)<0,ψ(jω)<0 容性区R<∣Z(jω)∣ |
ω=ω0 X(jω)=0,ψ(jω)=0 电阻性∣Z(jω)∣= R |
ω>ω0 X(jω)>0,ψ(jω)>0 感性区R>∣Z(jω)∣ |
阻抗随频率变化的频响曲线如下图所示

当ω=ω0时,X(jω0)=0,电路的工作状况将出现以下重要特征:
1) ψ(jω0)=0,所以I(jω0)
与Us(jω0)
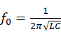
同相,工程上将电路的这一特殊状况定义为谐振,由于是在RLC串联电路中发生的谐振,又称为串联谐振。由以上分析可知,发生谐振的条件为:Im[Z(jω0)]=X(jω0)= ω0L-1/ω0C。这只有在电感、电容同时存在时,上述条件才能满足。由以上各式可知电路发生谐振的角频率ω0和频率f0为ω0=1LC
,f0=12πLC
可以看出,RLC串联电路的谐振频率只有一个,而且仅与电路中L、C有关,与电阻R无关。ω0或(f0)称为电路的固有频率。因此,只有当输入信号us的频率与电路的固有频率f0相同时,才能在电路中激起谐振。如果电路中L、C可调,改变电路的固有频率,则RLC串联电路就具有选择任一频率谐振(调谐),或避开某一频率谐振(失谐)的性能。
2) Zjω0=R
为最小值,谐振时的电流为极大值
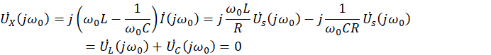
3) 电抗电压Ux(jω0)=0,即有

UXjω0=jω0L-1ω0CIjω0=jω0LRUsjω0-j1ω0CRUsjω0=ULjω0+UCjω0=0
因此,L、C串联端口相当于短路,但ULjω0
、UCjω0
都不等于零,两者模值相等且反相,相互完全抵消。根据这一特点,串联谐振又称为电压谐振。
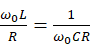
此外,工程上将式中的比值ω0LR=1ω0CR
定义为谐振电路的品质因数Q,即
Q=ω0LR=1ω0CR=1RLC
UL(jω0)=UC(jω0)=QUS(jω0)。显然,当Q>1时,电感和电容两端将分别出现比US(jω0)高Q倍的过电压。在高电压的电路系统中(如电力系统),这种过电压非常高,可能会危及系统的安全,必须采取必要的防范措施。但在低电压的电路系统中,如无线电接收系统中,则要利用谐振时出现的过电压来获得较大的输入信号。
4)Q(jω0)=0,即电路吸收的无功功率等于零,有
Qjω0=QLjω0+QCjω0=ω0LI2jω0-1ω0CI2jω0=0
上式表明,电感吸收的无功功率等于电容发出的无功功率,但各自不等于零。电路中储存的电磁能在L和C之间以两倍于谐振频率的频率做周期性的交换,相互完全补偿,自成独立系统,与外源无能量交换。储存的电磁能的总和为一常数,可根据i或us的最大值求得,即
Wjω0=WLjω0+WCjω0=12LI2mjω0=12CU2cmjω0=CQ2U2sjω0
二、并联谐振
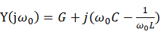
并联谐振的定义与串联谐振的定义相同,即端口上的电压与输入电流同相时的工作状况称为谐振。由于发生在并联电路中,所以称为并联谐振。分析方法与RLC串联电路相同,并联谐振的条件为:Im[Y(jω0)]=0

因为Yjω0=G+j(ω0C-1ω0L)
,可得谐振时的角频率和频率为:
ω0=1LC
,f0=12πLC
并联谐振时,输入导纳最小,或者说输入阻抗最大,所以谐振时端电压达最大值:Uω0=Z(jω0)IS=RIs![]()
并联谐振时有IL+IC=0
,所以并联谐振又称为电流谐振
ILω0=-j1ω0LU=-j1ω0LGIs=-jQIs
ICω0=jω0CU=jω0CGIsjQIs
并联谐振电路的品质因数Q=IL(ω0)Is=Ic(ω0)Is=1ω0LG=ω0CG=1GCL
并联谐振时电路无功功率为0,电感的磁场能量与电容的电场能量彼此相互交换,完全补偿
版权声明:本文内容由互联网用户自发贡献,该文观点仅代表作者本人。本站仅提供信息存储空间服务,不拥有所有权,不承担相关法律责任。如发现本站有涉嫌侵权/违法违规的内容,请联系我们,一经查实,本站将立刻删除。
如需转载请保留出处:https://51itzy.com/kjqy/18892.html