大厂技术 坚持周更 精选好文
本次分享大概分为下面几个方面
- 背景
- 贝塞尔曲线讲解
- 实现和探索过程
背景
近期在 X 业务测评报告页有一个需求,用户可以左右拖动滑块来查看各个等级的信息。
讯享网
在之前的野种中是通过切换图片的方式,会有卡顿的现象。由于 X 业务中等级区分比较少,等级间距更大,所以卡顿感会更大。
所以为了能够体现更丝滑的效果,使用svg画出贝塞尔曲线,动态控制实线和虚线的切换以及空心小球的位置。
svg中的path标签
<svg> <path stroke="red" fill="none" d="M 4,130 C 12.85,129.1 45.3,126.7 63,124 C 80.7,121.3 104.3,116.5 122,1 12 C 139.7,107.5 163.3,100.3 181,94 C 198.7,87.7 222.3,78.001 240,70 C 257.7,61.9 281.3,49.0006 299,40 C 316.7,30.1 349.15,9.0004 358,4"></path> </svg>
讯享网
M- moveto - 从一点移到另一点.(作为起点)
L- lineto -创建一条线.
H- horizontal lineto - 创建一条水平线.
V- vertical lineto - 创建一条竖线.
C- curveto - 创建(三阶)贝塞尔曲线到.
S- smooth curveto - 创建一条平滑曲线
Q- quadratic Bezier curve - 创建一个二次贝塞尔曲线
T- smooth quadratic Bezier curveto - 创建一个平滑二次贝塞尔曲线.
A- elliptical Arc - 创建一个椭圆弧.
Z- closepath - 关闭路径
上述命令使用大写字母,代表绝对路径,如果使用小写字母,则使用相对路径。
d="M 4,130 C 12.85,129.1 45.3,126.7 63,124".
贝塞尔曲线
贝塞尔曲线,由“线段”和节点组成,节点是可拖动的支点,表示曲线的趋向,“线段”像可伸缩的橡皮筋。它抽象了线段和曲线,通过控制路径上的四个点(起始点、终止点、两个中间点)来编辑图形;其中中间点和端点的连线称为控制线,这是一条虚拟的线段;两端的端点用来改变曲线的曲率;移动中间点来改变曲线运动轨迹。
一阶贝塞尔曲线
公式:B(t) = P1 + (P2 − P1)t = P1(1−t)+ P2t, t∈[0,1]
二阶贝塞尔曲线
在平面内选3个不同线的点P1、P2、P3并且依次用线段连接,P1,P3为固定点,P2为支点(控制点)
公式:
M = P1(1-t)+P2t
N = P2(1-t)+P3t
B(t) = M(1-t)+Nt
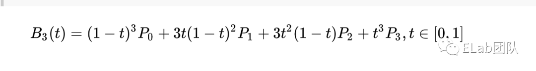
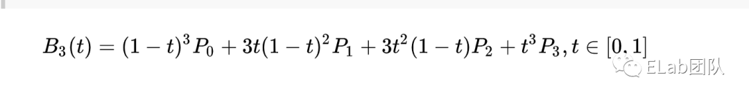
三阶贝塞尔曲线
公式:
X(t) = P(1)(1 - t) + P(2)t
Y(t) = P(2)(1 - t) + P(3)t
Z(t) = P(3)(1 - t) + P(4)t
M(t) = X(1 - t) + Yt
N(t) = Y(1 - t) + Zt
B(t) = M(1 - t) + Nt
,
N阶贝塞尔曲线
在三阶贝塞尔曲线中,如何确定控制点
方向:越是高阶可导函数曲线越是光滑,在只要保证曲线函数试一阶导数连续,换句话说只要保证曲线的切线斜率连续,那么我们很容易确定CP(control point)点的所在直线的斜率。
长度: 长度决定了曲线弧度的大小(宽窄),有一种计算方式可以使曲线弧度很自然。
AC的长度 * smoothing, smoothing = 0.15比较光滑
对于第一个点A,和最后一个点D的控制点,可以简单把AB的方向看作是A点的切线方向,长度为AB*smoothing。同理可知道点D附近的控制点

实现动效的难点
- 跟手变化的时候,实线和虚线的切换
- 空心小球在曲线上跟手移动
- 松手后,小球和曲线的动画
SVG基础
stroke-dasharray 和 stroke-dashoffset
- stroke-dasharray:用于创建虚线

- 如:stroke-dasharray = '10, 5' 表示:虚线(Dash)长10,间距(Gap)5,然后重复 虚线长10,间距5
- 如:stroke-dasharray = '20, 10, 5' 表示:虚线长20,间距10,虚线长5,接着是间距20,虚线10,间距5,之后开始如此循环
- stroke-dashoffset:offset:偏移的意思
- 这个属性是相对于起始点的偏移,正数偏移x值的时候,相当于往左移动了x个长度单位,负数偏移x的时候,相当于往右移动了x个长度单位。需要注意的是,不管偏移的方向是哪边,要记得dasharray 是循环的,也就是 虚线-间隔-虚线-间隔。这个属性要搭配stroke-dasharray才能看得出来效果,非虚线的话,是无法看出偏移的。
如:https://codepen.io/Josh_byte/pen/MWQVWKK[1]
Offset-path和offset-distance css属性
- 通过css属性offset-path可以指定元素不规则的动画路径
- offset-distance,是运动的距离,可以是数值或者百分比单位,如果是100%则表示正好把所有的路都跑完了。
如:https://codepen.io/Josh_byte/pen/PoQzjON[2]
参考:https://zhuanlan.zhihu.com/p/[3]
兼容性
实现过程
step1 画贝塞尔曲线图
BC直线的斜率 与x1x2直线的斜率一致
算圆心点坐标&把手坐标
讯享网//动态计算出的圆心坐标 const PointArray = [ [4, 130], [63, 124], [122, 112], [181, 94], [240, 70], [299, 40], [358, 4] ] //算出当前点前一个点和后一个点的角度 const line = (pointA: number[], pointB: number[]) => { const lengthX = pointB[0] - pointA[0]; const lengthY = pointB[1] - pointA[1]; return { length: Math.sqrt(Math.pow(lengthX, 2) + Math.pow(lengthY, 2)), angle: Math.atan2(lengthY, lengthX), }; }; //求每两个圆心坐标之间的两个把手 const controlPoint = (current: number[], previous: number[], next: number[], reverse: boolean) => { const p = previous || current; const n = next || current; const l = this.line(p, n); const angle = l.angle + (reverse ? Math.PI : 0); const length = l.length * BezierCurveAndCirclePoint.smoothing; const x = current[0] + Math.cos(angle) * length; const y = current[1] + Math.sin(angle) * length; return [x, y]; }; const getBezierCurvePointArray = () => { const array: Point[][] = []; pointArray.forEach((item, i) => { if (i === 0) { return; } const cps = this.controlPoint(this.pointArray[i - 1], this.pointArray[i - 2], item, false); const cpe = this.controlPoint(item, this.pointArray[i - 1], this.pointArray[i + 1], true); array.push([ { x: pointArray[i - 1][0], y: pointArray[i - 1][1], }, { x: cps[0], y: cps[1], }, { x: cpe[0], y: cpe[1], }, { x: item[0], y: item[1], }, ]); }); return array; };
绘制三条三阶贝塞尔曲线
观察发现
绿色实线变绿色虚线的过程可以看成,绿色实线往左偏移的过程(stroke-dashoffset)
灰色实线变绿色虚线的过程,可以看成,灰色实线往右偏移的过程。
绿色虚线,在最底层,没有变化。变化的是绿色和灰色实线
案例 https://codepen.io/Josh_byte/pen/bGLvKYM[4]
step2 求曲线弧长
如何判断stroke-dashoffset的距离?跟手移动2px,绿色实线或灰色实线移动多少?
stroke-dasharray的初始值设置为多少?
如何求三阶贝塞尔曲线函数的坐标
P0 是起始点坐标
P1,P2是控制点
P3是终点坐标
t是百分比(在曲线位置的百分比)
const calculateCirclePoint = (t: number, PointArray: Point[]) => { const p0 = PointArray[0]; const p1 = PointArray[1]; const p2 = PointArray[2]; const p3 = PointArray[3]; const temp = 1 - t; const x = p0.x * temp * temp * temp + 3 * p1.x * t * temp * temp + 3 * p2.x * t * t * temp + p3.x * t * t * t; const y = p0.y * temp * temp * temp + 3 * p1.y * t * temp * temp + 3 * p2.y * t * t * temp + p3.y * t * t * t; return { x, y, }; }; //举个例子,第一段曲线 const curvePoint = [{x: 122, y: 112}, //起始点 {x: 139.7, y: 107.5}, //把手一 {x: 163.3, y: 100.3}, //把手二 {x: 181, y: 94}]。//终点 calculateCirclePoint(0.5,curvePoint)
如何求弧长
采样大概估算弧长,一段曲线中等间距采点60个,每两个点计算的间距求和
讯享网const cubicBezierLength = (PointArray: Point[], sampleCount?: number) => { const ptCount = sampleCount || 40; let totDist = 0; let lastX = PointArray[0].x; let lastY = PointArray[0].y; let dx; let dy; for (let i = 1; i < ptCount; i++) { const pt = this.calculateCirclePoint(i / ptCount, PointArray); dx = pt.x - lastX; dy = pt.y - lastY; totDist += Math.sqrt(dx * dx + dy * dy); lastX = pt.x; lastY = pt.y; } dx = PointArray[3].x - lastX; dy = PointArray[3].y - lastY; totDist += Math.sqrt(dx * dx + dy * dy); return Math.floor(totDist); };
完成以上两步,就可以实现曲线跟手移动的变化还有松手时候的动效了。
step3 实现空心小球跟手移动
由于offset-path属性在ios上不支持,只能实时求空心小球的实时坐标
step4 实现空心小球松手后的吸附动效
SVG SMIL animation
- <animateMotion/>
<circle opacity={circleAnimationPointOpacity ? '1' : '0'} r="3" fill="#ffffff" strokeWidth="2" stroke="#43E077" > <animateMotion ref={circleAnimationRef} path={cirlceAnimationPath} //运动路径 dur="200ms" //持续时间 keySplines="0.25 0.1 0.25 1" //动画时间曲线 fill="freeze". //结束后在原位置 begin="indefinit". //无限等待 开始用circleAnimationRef.current.beginElement() repeatCount="1". //执行一次 /> </circle>
案列 https://codepen.io/Josh_byte/pen/oNEYpjO[5]
- 有两个空心绿色小球,一个小球是跟手移动的空心小球,还有一个是实现松手后动画的空心小球。
参考资料
[1]
https://codepen.io/Josh_byte/pen/MWQVWKK: https://codepen.io/Josh_byte/pen/MWQVWKK
[2]https://codepen.io/Josh_byte/pen/PoQzjON: https://codepen.io/Josh_byte/pen/PoQzjON
[3]https://zhuanlan.zhihu.com/p/: https://zhuanlan.zhihu.com/p/
[4]https://codepen.io/Josh_byte/pen/bGLvKYM: https://codepen.io/Josh_byte/pen/bGLvKYM
[5]https://codepen.io/Josh_byte/pen/oNEYpjO: https://codepen.io/Josh_byte/pen/oNEYpjO
- END -❤️ 谢谢支持
以上便是本次分享的全部内容,希望对你有所帮助^_^
喜欢的话别忘了 分享、点赞、收藏 三连哦~。
欢迎关注公众号 趣谈前端 收货大厂一手好文章~

从零设计可视化大屏搭建引擎
基于Koa + React + TS从零开发全栈文档编辑器(进阶实战
点个在看你最好看

版权声明:本文内容由互联网用户自发贡献,该文观点仅代表作者本人。本站仅提供信息存储空间服务,不拥有所有权,不承担相关法律责任。如发现本站有涉嫌侵权/违法违规的内容,请联系我们,一经查实,本站将立刻删除。
如需转载请保留出处:https://51itzy.com/kjqy/18762.html