一:压杆稳定的概念
在材料力学中,衡量构件是否具有足够的承载能力,要从三个方面来考虑:强度、刚度、稳定性。
稳定性 — 构件在外力作用下,保持其原有平衡状态的能力。

Fcr越大表示杆件越不容易失稳。
当压力等于临界力时:

当压杆的材料、尺寸和约束情况已经确定时,临界压力是一个确定的值。因此可以根据杆件的实际工作压力是否大于临界压力来判断压杆是稳定还是不稳定。解决压杆稳定的关键问题是确定临界压力。
二:两端铰支细长压杆的临界压力

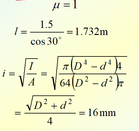
例题:

三:其他支座条件下细长压杆的临界压力

1: 一端固定,一端自由

2:两端固定与一端固定一端铰支


3:两端铰支
总结:

四:欧拉公式的适用范围 经验公式
1:临界应力
引入惯性半经i还有柔度λ
得到临界应力的表达式


2:欧拉公式试用范围
在拉伸和压缩实验中我们知道材料受到外力时变形,当外力卸去后变形完全消失的性质叫做弹性。
而这也就是稳定性,σp为比例极限。

σs为屈服极限。

总结:
五:稳定较核

例题1:

AB为两端铰支
i由其截面积以及他的惯性矩求得


例题2:


例题3:



六:提高压杆稳定性的措施




版权声明:本文内容由互联网用户自发贡献,该文观点仅代表作者本人。本站仅提供信息存储空间服务,不拥有所有权,不承担相关法律责任。如发现本站有涉嫌侵权/违法违规的内容,请联系我们,一经查实,本站将立刻删除。
如需转载请保留出处:https://51itzy.com/kjqy/16581.html