一:质点运动学。
1:圆周运动(求切向加速度,法相加速度,总加速度)

讯享网
阿尔法为角加速度。
例题:

注:
切向加速度=角加速度*R
这里面:贝塔=欧米伽

这里面的阿尔法就是角加速度(贝塔)。
2:相对运动。

绝对速度:大自然的例风…
相对速度:人或人骑自行车等的运动。
牵连速度:人感觉到风的速度。
二:质点动力学。
1:保守力。

关于木块拉动的题:
动量,冲量,动量定理的题:
弹簧的题:
能量守恒,动量守恒的题:
三:刚体力学。
1:角加速度,角速度

n为转速。
例题:
2:转动惯量:J

注:M为力矩。M总=J乘以角加速度。M=FR ; M总=F1R1+F2R2…
例题:
注:角加速度等于切向加速度除以半径。即切向加速度= 半径®乘以角加速度。
再来一道题:
注:M=FR。M为力矩。M总=J乘以角加速度。M=FR ; M总=F1R1+F2R2…
四:气体动理论。(m/M=物质的量(n))
理论知识:


注:其中的 n=N/V(即单位体积分子得个数)

常见元子的自由度:
(1)单原子分子:如氦He、氖Ne、氩Ar等分子只有一个原子,可看成自由质点,所以有3个平动自由度 i = t =3
( 2)刚性双原子分子如氢 、氧 、氮 、一氧化碳CO等分子,两个原子间联线距离保持不变。就像两个质点之间由一根质量不计的刚性细杆相连着(如同哑铃),确定其质心O’的空间位置,需3个独立坐标(x,y,z);确定质点联线的空间方位,需两个独立坐标(如α,β),而两质点绕联线的的转动没有意义。所以刚性双原子分子既有3个平动自由度,又有2个转动自由度,总共有5个自由度 i = t + r =3 + 2 = 5。
(3)刚性三原子或多原子分子:如 H2O 、氨 等,只要各原子不是直线排列的,就可以看成自由刚体,共有6个自由度,i = t + r = 3 + 3 = 6。
(4) 对于非刚性分子,由于在原子之间相互作用力的支配下,分子内部还有原子的振动,因此还应考虑振动自由度(以S 表示)。如非刚性双原子分子,好像两原子之间有一质量不计的细弹簧相连接,则振动自由度 S = 1。
一般在常温下,气体分子都近似看成是刚性分子,振动自由度可以不考虑。


u就是质量。
例题:
1:
:2:
注:此题应为pv=m/M*RT=nRT
总结:公式
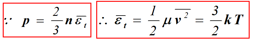
压强:






内能:
速率:
五:热力学基础。
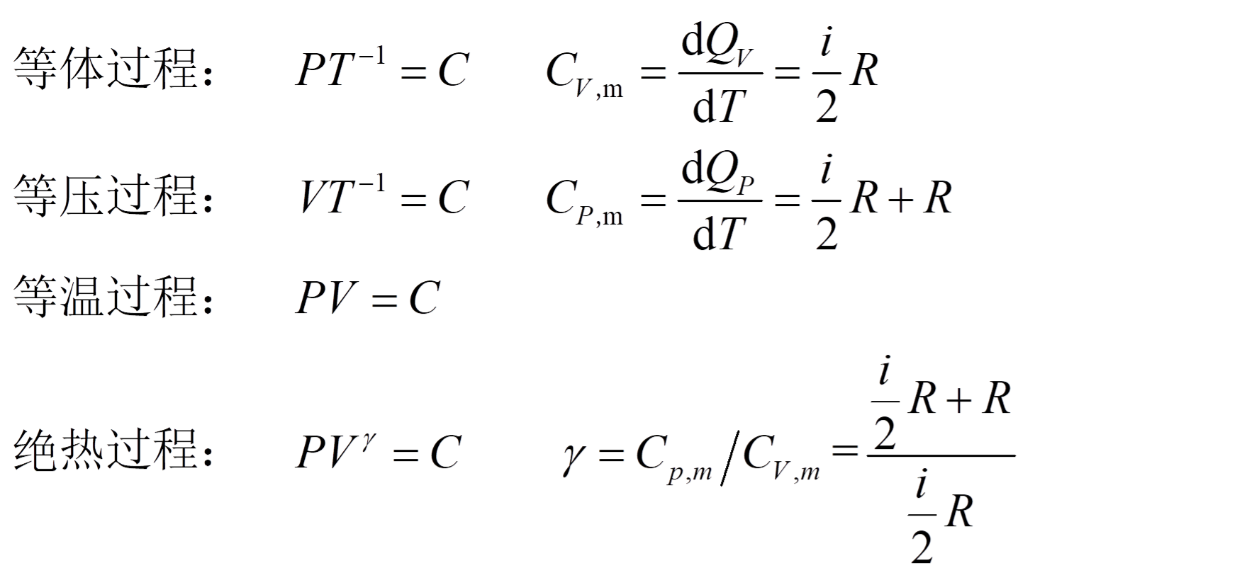
公式:
:




例题:
1:

v=n(物质的量)
物态方程式:
pv=nRT
2:

理想气体等温膨胀时:
pV=nRT为定值,所以p=nRT/V,W=积分pdV=nRTln(V’/V)
注:上面的公式应为:
WAB=PAVA*LN(VB/VA)
3:
释:

公式应为:
TD=TA(VA/VD)的嘎码减1次方。
六:静电场。







例题:
1:

释:E=q/(4π依科西弄 r方)
2:
释:
扇形弧长L=R角度
3:
版权声明:本文内容由互联网用户自发贡献,该文观点仅代表作者本人。本站仅提供信息存储空间服务,不拥有所有权,不承担相关法律责任。如发现本站有涉嫌侵权/违法违规的内容,请联系我们,一经查实,本站将立刻删除。
如需转载请保留出处:https://51itzy.com/kjqy/15764.html