前言
本文以2020年的国赛A题为例,给出自己的一些思考和见解,若有不妥还请指点啦~。话不多说,上题。
题目
在集成电路板等电子产品生产中,需要将安装有各种电子元件的印刷电路板放置在回焊炉中,通过加热,将电子元件自动焊接到电路板上。在这个生产过程中,让回焊炉的各部分保持工艺要求的温度,对产品质量至关重要。目前,这方面的许多工作是通过实验测试来进行控制和调整的。本题旨在通过机理模型来进行分析研究。
回焊炉内部设置若干个小温区,它们从功能上可分成4个大温区:预热区、恒温区、回流区、冷却区(如图1所示)。电路板两侧搭在传送带上匀速进入炉内进行加热焊接。

讯享网
某回焊炉内有11个小温区及炉前区域和炉后区域(如图1),每个小温区长度为30.5 cm,相邻小温区之间有5 cm的间隙,炉前区域和炉后区域长度均为25 cm。
回焊炉启动后,炉内空气温度会在短时间内达到稳定,此后,回焊炉方可进行焊接工作。炉前区域、炉后区域以及小温区之间的间隙不做特殊的温度控制,其温度与相邻温区的温度有关,各温区边界附近的温度也可能受到相邻温区温度的影响。另外,生产车间的温度保持在25ºC。
在设定各温区的温度和传送带的过炉速度后,可以通过温度传感器测试某些位置上焊接区域中心的温度,称之为炉温曲线(即焊接区域中心温度曲线)。附件是某次实验中炉温曲线的数据,各温区设定的温度分别为175ºC(小温区1-5)、195ºC(小温区6)、235ºC(小温区7)、255ºC(小温区8-9)及25ºC(小温区10-11);传送带的过炉速度为70 cm/min;焊接区域的厚度为0.15 mm。温度传感器在焊接区域中心的温度达到30ºC时开始工作,电路板进入回焊炉开始计时。
实际生产时可以通过调节各温区的设定温度和传送带的过炉速度来控制产品质量。在上述实验设定温度的基础上,各小温区设定温度可以进行±10ºC范围内的调整。调整时要求小温区1-5中的温度保持一致,小温区8-9中的温度保持一致,小温区10-11中的温度保持25ºC。传送带的过炉速度调节范围为65-100 cm/min。
在回焊炉电路板焊接生产中,炉温曲线应满足一定的要求,称为制程界限(见表1)。

请你们团队回答下列问题:
问题1 请对焊接区域的温度变化规律建立数学模型。假设传送带过炉速度为78 cm/min,各温区温度的设定值分别为173ºC(小温区1-5)、198ºC(小温区6)、230ºC(小温区7)和257ºC(小温区8-9),请给出焊接区域中心的温度变化情况,列出小温区3、6、7中点及小温区8结束处焊接区域中心的温度,画出相应的炉温曲线,并将每隔0.5 s焊接区域中心的温度存放在提供的result.csv中。
问题2 假设各温区温度的设定值分别为182ºC(小温区1-5)、203ºC(小温区6)、237ºC(小温区7)、254ºC(小温区8-9),请确定允许的最大传送带过炉速度。
问题3 在焊接过程中,焊接区域中心的温度超过217ºC的时间不宜过长,峰值温度也不宜过高。理想的炉温曲线应使超过217ºC到峰值温度所覆盖的面积(图2中阴影部分)最小。请确定在此要求下的最优炉温曲线,以及各温区的设定温度和传送带的过炉速度,并给出相应的面积。

问题4 在焊接过程中,除满足制程界限外,还希望以峰值温度为中心线的两侧超过217ºC的炉温曲线应尽量对称(参见图2)。请结合问题3,进一步给出最优炉温曲线,以及各温区设定的温度及传送带过炉速度,并给出相应的指标值。
摘要
本文针对回焊炉的最优炉温曲线问题进行研究,通过蒙特卡洛法,追赶法,牛顿降温定律,建立目标规划模型,旨在得出回焊炉的最优炉温曲线。
针对问题一,本文将三维热传导方程降维得出仅在x轴上的传热方程:

依据该表达式,通过差商法将二阶偏导转化为代数方程组,通过最小二乘法估计热扩散率a。利用追赶法得出炉温曲线方程,通过95%置信区间判断精度较高。将更新之后的各区域温度数据代入,得出小温区3,6,7中点以及小温区8结束处焊接区域中心的温度依次为:130.0142℃,167.4561℃,188.9475℃和223.7278℃。
针对问题二,本文以温度大于217℃的时间和上升过程中在150℃到190℃内的时间为限制条件,以速度为目标函数,建立目标规划模型。通过追赶法拟合出升温过程的曲线可表示为:
y=-2.417810-9x5+1.665810-6x4-3.8147*10-4x3+0.028x2+1.3379x-13.1325
通过Matlab计算出通过的最大速度为82.51cm/min。
针对问题三,本文以围成面积最小为目标函数,以温度上升斜率、温度大于217℃时间、150℃到190℃内的时间为限制条件,建立目标规划模型:

在求解时采用蒙特卡洛法,根据变化区间随机生成数字作为各大温区的温度和过炉速度,重复进行试验。得出面积最小时,小温区1至5、小温区6、小温区7、小温区8和9的温度分别为165.4812℃,185.3781℃,225.4168℃,261.4732℃,传送带的速度为84cm/min。
针对问题四,本文结合问题一的降温过程和牛顿冷却定律得出冷却模型。引入判断指标Q值以评价最优化的炉温曲线,当峰值温度两边大于217℃的曲线完全对称时,满足Q=0。结合问题三的目标规划模型,通过引入权重,将关于最小面积和最小判断指标的双目标规划模型转化为单目标规划模型:

在Matlab中利用追赶法确立炉温曲线,根据蒙特卡洛法通过重复试验,得出最优炉温曲线时,从左至右四个大温区温度分别为183.4786℃,191.3215℃,227.4156℃,264.7584℃,传送带的速度为89.45cm/min。
问题分析
对于问题一的分析
问题一要求得出改变条件后的部分小温区温度和对应炉温曲线,并求出每隔0.5秒的中心温度。本文将附件中的数据作为目标结果,通过选择热传递方式,结合空间内的热传导方程,建立随时间变化的炉温模型。在模型建立后将附件中数据代入模型得出拟合曲线,并与实际炉温曲线进行比较,判断改模型的拟合效果。在拟合效果较好的情况下,结合新条件,计算各小温区的温度,绘制相应的炉温曲线。
对于问题二的分析
问题二要求得出改变各大温区温度后,允许传送带通过的最大过炉速度。本文对题目进行分析,将温度大于217℃的时间和上升过程中在150℃到190℃内的时间作为限制条件,以确定最大速度。求解时利用追赶法确立拟合炉温曲线,从而得出升温过程中的方程。代入问题一的炉温曲线模型,结合限制条件,得出最大速度。
对于问题三的分析
问题三要求得出超过217ºC到峰值温度所覆盖的面积最小情况下的最优炉温曲线,本文结合高数中积分的思想,表示出所围成的面积。依据题目中的温度上升下降斜率、峰值温度和温度大于217℃的时间范围,确立约束条件,建立关于求解最小面积的方程。求解时可以利用蒙特卡洛法将函数概念计算转化为数值计算,以减少计算难度,通过多次重复试验得出最小覆盖面积和此时的各区间温度。
对于问题四的分析
问题四要求在问题三的基础上结合制程条件,尽量满足以峰值温度为中心线,超过217℃的炉温曲线尽量对称。本文对降温过程进行单独分析,结合附件中所给出的降温过程,分析其特点并推广至一般情况,从而和上文炉温曲线模型相关联。同时引进一个判断指标,对求解最优炉温曲线的方程进行精度判断。此时求解时会有最小面积的方程和最小判断指标两个目标,通过引入权重将多目标转化为单目标。
问题假设
结合本题的实际,为确保模型求解的准确性和合理性,本文排除一些因素的干扰,提出以下几点假设:
1.假设温度传递时垂直传递;
2.假设单个小温区内的热源均为均匀热源;
3.假设小间隙处的温度与两边小温区具有线性关系;
4.假设在热传递过程中炉内温度沿水平方向传递且具有连续性。
模型的建立与求解
经过以上的分析和准备,本文将逐步建立以下数学模型,进一步阐述模型的实际建立过程。
问题一的建立与求解
要得出各小温区的温度和每隔0.5秒的焊接区域中心温度,核心在于得出中心温度关于时间的变化模型。对于该问,本文按照如下流程进行分析:

本文首先对热传递的三种方式进行筛选,得出适合回焊炉的传递方式。依据传递方式,查阅基于该种传播方式的方程,结合题目原始条件建立变化模型。建立模型后,代入时间,将模型求解的结果与附件的结果进行对比,判断模型精度。最后结合问题一参数,得出小温区3、6、7中点及小温区8结束处焊接区域中心的温度,绘制炉温曲线。
确立传递方式和传递方程
从物理学的角度来看,热量的传递方式可以划分为热传导、对流传热和辐射传热三种方式。导热传热是通过物质内部的分子间的碰撞来进行传热,与回火炉的传热比较吻合。在对流换热与辐射换热两种情况下,前者来自于颗粒间的宏观相对移动,而后者来自于电磁波。将这两种传热方法排除在外,而将导热方法选为该题目的传热方法。
在确立传递方程式,为减少外界因素对拟合的影响,本文在假设中以忽略间隙处对温度的影响。同时在全过程中,本文是整体变化过程是一个连续的曲线。通过查阅资料,确立在三维条件下的热传导方程应满足:

曾文平.三维热传导方程的一族两层显式格式[J].应用数学和力学
其中,
表示温度随时间的变化,
,
,
表示温度随着各轴向位置的变化,a表示热扩散率,
表示内部热源的影响,c为比热容(即为空气比热容),
表示密度(对于本题即表示空气密度)。本题在进行研究时,仅选择了一个截面作为研究对象,故可以不用考虑其他维度的传热,将上式化简为:

确立该种模型情况下的热传导模型后,在该平面建立平面直角坐标系。对于每个小温区的间隙,本文将他们计入相邻的小温区范围。若是直接舍去小温区的宽度,于整体而言会损失50cm的总长。以下为回焊炉的截面示意图。

对于该截面,本文将炉前区域的最前点设为坐标原点o点,沿着传送带的方向为x轴正方向。焊接区域的厚度为0.15mm,小温区的长度为30.5cm,间隙为5cm,炉前和炉后区域均为25cm,故整个传送全长为30.5×11+5×10+25×2=435.5cm。依据上述条件,建立回焊炉截面图的一维坐标系如下:

依据上图的坐标图,将最左端的初始状态温度,当t=0时的温度记为 ,记为:

建立目标规划模型
焊接区域的温度传导过程可以视为一维非稳态热传导,在传导过程中,各点的温度随时间增长而发生改变,故可以得出热传递的微分方程可以表示为:

由于此时参与的变量仅为x,故可以把对x的偏导转化为对x的微分,以便于统一计算同时依据牛顿冷却定律可得,对于两个相邻区域的温度变化斜率为:
郭文传.牛顿冷却定律及其实际应用[J].中国新通信,2019,21(15):244.


其中,
代表在某一个范围内温度的变化斜率,k为冷却系数,
为第i秒的测量温度,
为第i秒的计算温度。但对于本题的冷却系数k和热扩散率a均为未知量,本文通过最小二乘法的估计模型。结合上文的边界条件进行求解:
李蓓蕾. 多次自适应最小二乘曲线拟合方法及其应用[D].长江大学,2014.

其中,
表示第n个大温区的测量温度,
表示i时刻的测量温度。结合上述限制条件,建立关于温度T的炉温曲线目标规划方程组为:

在求解中偏微分导数的求解较为复杂,无法求出解析解,本文采用数值解法——差分法进行计算。差分法核心在于用差商代替导数,从而将微分方程转化为代数方程组[8]。将电路板上温度
在空间上取步长
,满足
,同理取时间步长h,满足
,建立差分方程为:
张蕾.几类偏微分方程非标准有限差分格式的研究[D].哈尔滨工业大学,2014.

式中下标n表示间隙的尾端各点。根据简化差分方程模型构建非其次线性方程组AX=B,B表示上一时间点温度的空间分布,X表示下一时间点的温度空间分布,其中:
李晓文,苏新宇,李聪毅,等.基于有限差分法的专用服装温度分布模型[J].实验科学与技术,2020,18(04):7-11+32.


利用追赶法对一时间点上各位置的温度,得出结果如下图。

图中蓝色线为追赶法计算结果,橙色线为基于计算结果的拟合方程。而原关于时间t在每一个点处的偏导数可进行微分转化,调整方程组为:

结合差分方程,求出每时刻的温度值。为提高模型在局部中的精度,本文将全过程分为5个阶段进行拟合计算,绘制炉温曲线如下:

由上图可得,炉温在1-5小温区时间内,温度增长速度先增快后减小,在第6和第7个小温区增长速度略有增长,到8-9小温区时增长速度逐渐减缓至0,当到10-11小温区时温度开始下降。
判断模型精度
为确保所建立的炉温曲线方程组具有较好的精度,本文将理论炉温曲线与实际观测值进行对比,引入95%置信区间作为判断标准。

整体拟合图

局部拟合图
通过对比图可以得出,理论炉温曲线与实际测量曲线重合度较好,且全部位于95%置信区间内,因此认为该模型具有较好的精度。
对各小温区温度的计算和炉温曲线
依据建立的炉温曲线模型,将各温区的设定值更新为173ºC(小温区1-5)、198ºC(小温区6)、230ºC(小温区7)和257ºC(小温区8-9)。对于模型中的参数,无关于温度变化的参数为冷却系数k和热扩散率a。依据公式先算出定量k和a的值,结合更新后的传送带速度78cm/min,计算出t值。
代入模型进行求解,绘制出的炉温曲线如下:

其中,小温区3,6,7中点和小温区8结束处焊接区域中心的温度依次为:130.0142℃,167.4561℃,188.9475℃和223.7278℃。
问题二的建立与求解
要确立允许通过的最大传送带过炉速度,本文先依据各温区的设定值,结合问题一所给模型绘制炉温曲线,计算各阶段的温度情况。结合温度上升过程中在150ºC-190ºC中的时间范围和峰值温度,以速度最大为目标函数,建立目标优化模型求解。
建立目标规划模型
对题目进行分析,得出随着速度的增大,温度大于217℃的时间和上升过程中在150℃到190℃内的时间会受到影响。以速度为目标函数,建立目标规划模型:


同样利用问题一的追赶法,用Matlab计算出结果,并对结果进行拟合,此时的炉温曲线为:

图中蓝色线表示通过追赶法得出的结果,橙色线表示依据计算结果进行拟合的结果。本文对其进行5次项拟合,得出升温过程的方程为:y=-2.417810-9x5+1.665810-6x4-3.8147*10-4x3+0.028x2+1.3379x-13.1325。经Matlab算出速度最大值为82.51cm/min。
问题三的建立与求解
为表示炉温曲线、217℃温度线和回流区与冷却区分界线所围成的面积,本文采用积分的方式进行表示。结合温度上升下降斜率、峰值温度和温度大于217℃的时间范围,确立约束条件,建立目标规划模型,得出各温区的设定温度和传送带速度。
确立目标规划模型
理想炉温曲线要求超过217℃到峰值温度所覆盖的面积最小,本文通过积分的方法对该部分面积进行表示。

先对超过217℃的炉温曲线划分为时间无限小的多个区域,再将这些区域进行累加得出面积,建立的目标优化模型表示为:

其中,d为一开始达到217℃的时间,e为达到峰值温度的时间。
限制条件
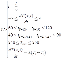
假设温度到达150℃的时间为t1,到达190℃的时间为t2,第一次到达217℃的时间为t3,第二次到达217℃的时间为t4,结合各小温区的温度限制,得出全程限制条件为:

同时,假设升温过程中四个阶段的温度分别为 ,则对于不同的温度大区间,还应该满足变化范围:

求解目标规划模型
对于以上模型,本文选择蒙特卡洛法进行求解。记初始围成面积为S0,按照如下流程进行求解:
(一)假设一开始的面积S0有无穷大,确立生成10000次模拟实验。
(二)从[165,185][185,205][225,245][245,265]这4个区间内随机生成数字作为各大温区的温度,在[65,100]内随机生成速度。
(三)通过生成的温度和速度计算炉温曲线方程
(四)判断生成方程是否满足全程限制条件,若满足则继续步骤5;否则,返回步骤2。
(五)求出温度超出217℃到峰值温度所围成的面积S。若S<S0,则记录该值,令S= S0,返回步骤2;否则,继续步骤6。
(六)模拟次数结束时,输出此时各温区的温度和速度。
通过Matlab计算,此时的炉温曲线为:

此时的阴影部分为406.208,小温区1-5、小温区6、小温区7、小温区8-9的温度分别为165℃,185℃,225℃,261℃,传送带的速度为84cm/min。
问题四的建立与求解
本文对于问题四,在问题三的基础上继续作延伸研究。在讨论时,将降温过程看作为一个独立的过程,有且仅有峰值温度对降温过程造成影响。基于附件中的表格给出一般情况下的降温方程。引入一个误差值作为评定两边对称情况的指标。最后依据评价指标,结合问题中的限制条件,确立最优炉温曲线。
对降温曲线的研究
结合问题一的牛顿冷却定律,本文对降温过程进行单独分析。将附件中从295.5秒到373秒的温度筛选出,绘制散点图并对其进行拟合如下:

其中在拟合时,本文依次选择2次,3次,4次拟合,得出的结果如下表:

在选择拟合函数时,若选择4次作为拟合函数,R2的值为1,该种情况下的拟合函数存在过拟合的情况,故舍去。而对于2次拟合和3次拟合,两者的R2均大于0.99,而考虑到二次函数具有更好的对称性,更为符合题目情况,本文选择二次拟合结果。结合峰值温度,可以得出冷却方程为:

确立模型精度的评价
要确保以峰值温度为中心线的两侧超过217℃的炉温曲线尽量对称,本文引入一个判断指标Q值,其计算表达式为:

对于该判断指标,当关于峰值温度两侧的温度曲线越趋近于对称时,Q值越小。当完全对称时,Q=0。
确立最优炉温曲线
结合问题三,建立多目标规划模型:

为便于统一计算,本文将多目标规划模型转化为单目标规划模型,引入权重系数,把原两个目标函数作为自变量,引入新目标W建立模型为:

对于权重的确定,结合先保证面积S最小再进行优化的过程,令
,将权重值代入单目标规划模型:


同样依据Matlab利用逐步法确立炉温曲线,结合蒙特卡洛法重复10000次实验,得出此时的阴影部分为504.12,小温区1-5、小温区6、小温区7、小温区8-9的温度分别为183.4786℃,191.3215℃,227.4156℃,264.7584℃,传送带的速度为89.45cm/min。该种情况下得到的最优炉温曲线如下图:

依据图像,可以得出在峰值温度两边大于217℃的炉温曲线大致呈对称分布,此时的阴影面积最小为504.12,在升温过程按照区间缓步上升。
模型的评价及改进
模型的评价
模型的优点
1.问题一通过追赶法计算理论值再模拟,计算较方便;
2.在计算热传导方程二阶偏导时,通过差商法转化计算,简化了计算过程;
3.在计算各区间温度和速度时,利用蒙特卡洛法生成数值进行重复计算,结果更为准确;
4.问题四中将基于面积和对称度的多目标规划模型,通过引入权重将原目标变为自变量,建立单目标规划模型,模型精度较高,结果更为准确,保证了整体性。

版权声明:本文内容由互联网用户自发贡献,该文观点仅代表作者本人。本站仅提供信息存储空间服务,不拥有所有权,不承担相关法律责任。如发现本站有涉嫌侵权/违法违规的内容,请联系我们,一经查实,本站将立刻删除。
如需转载请保留出处:https://51itzy.com/kjqy/13307.html