频域反射法(FDR)
FDR通过发送特定频带的扫频测试信号,在导体阻抗不匹配处会产生较强的和发射信号同样频率但不同时段的反射信号,通过傅立叶转换方式分析这些信号,并且通过量测反射信号峰值的频率换算出到线路障碍点的距离。频域反射法(FDR)利用电磁脉冲原理,根据电磁波在土壤中传播频率来测试土壤的表观介电常数,来得到土壤容积含水量FDR 的探头主要由一对电极组成一个电容,其间的土壤充当电介质,电容与振荡器组成一个调谐电路。传感器电容量与两级间被测介质的介电常数成正比关系。当土壤中的水分增加时,其介电常数相应增大,测量电容值也随之上升,导致测量频率也会发生变化,由此测得土壤的含水量。其基本逻辑关系如图 1-1 所示:
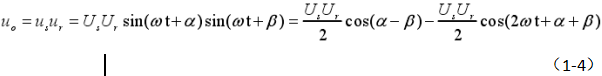
这两个信号通过乘法器相乘的结果为:
式(1-4)中前一项为乘法器输出信号的直流分量,后一项为交流分量,其频率为乘法器输入信号的 2 倍,通过低通滤波器可将直流分量滤掉,则乘法器的输出变为:
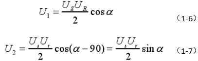
当参考电压幅值 Ur一定时,乘法器的输出Uo是 α 与 Us的函数。通过设置参考电路的相位角 β,使其依次等于 0 和 π/2,代入式(1-5)可得:
F—振荡频率;
L—电感;
C—总电容;
π—常数。
通过探头测量空气和水,可以得到介质为空气和水的感应频率。归一化频率 SF为:
F0—空气中所测得的频率;
FS—土壤中所测得的频率;
FW—水中所测得的频率。
体积含水量于不同土壤含水量中的归一化频率 SF 有如下指数关系:
θ—土壤体积含水量;
a、b—待定系数,由土壤样本标定确定。
FDR 土壤水分传感器无论从成本上还是从技术的实现难度上都较 TDR 低;在电极的几何形状设计和工作频率的选取上也有更大的自由度。FDR 无需严格的校准,操作简单,受土壤容重、温度的影响较小,并且其探头可与传统的数据采集器相连,从而实现自动连续监测。
1976 年,Topp 和 Davis 首先将时域反射法引入土壤水分快速测量的研究,并于 1980 年应用统计数学中数值逼近理论的理论分类法找出了不同种类土壤含水量 θ 与介电常数 ε 间的多项式关系的经验方程:
θ—土壤容积含水量;
ε—介电常数
ε 的电磁波频率为 1MHz~1GHz 时,与电磁波在电极(长度l )中往复的传播速度 V 呈如下关系:
式中:θ—土壤容积含水量;
ε—介电常数;
ρ—土壤容重;
clay—土壤粘粒含量;
org.mat—土壤有机质含量。
Herkelrath(1991)等研究认为表明在一定的含水量范围内土壤含水量与介电常数的平方根呈线性相关关系,并提出以下通用关系式:
式中:a、b—校正参数。
1993 年,Hilhorst 等人设计开发出了一种用于 FDR 土壤水分传感器的专门芯片 ASIC(Application Specific ntegrated Circuit),提高了 FDR 土壤水分传感器的可靠性,且大大地降低了生产成本,使 FDR 土壤水分传感器走向生产推广阶段。
为探究土壤含盐量和温度对 FDR 土壤水分传感器的含水量测量结果的影响规律,本文主要研究内容如下:
(1)选取神木黄绵土、安徽砂土和绥德黄绵土三种土壤,配置 NaCl 添加在(0%~1%)之间,土样含水量在(3.82%~22.02%)之间的土样,在 5~50℃间每 5℃的温度条件下进行实验。
(2)测量两个 FDR 土壤水分传感器在在不同含水量、含盐量和温度下对传感器输出信号的影响规律。并得到传感器对含盐量的敏感区间。
(3)采用响应曲面法对实验数据进行多元回归分析,建立并验证模型。
本文总体技术路线如 1-3 图所示。
图 1-3 技术路线图
响应曲面法(Response surface methodology,RSM)是以回归方法作为函数工具,对多因素进行分析的算法。和其他一些比如 SPSS(Statistical Product and Service Solutions),SAS(Statistical Analysis System),Minitab 等数理统计分析软件相比,它是一个专注于实验设计及模型分析的工具软件,使用简单直接,易于上手,不需要编程和数理统计相关知识,就可以用这款软件设计出高效的试验方案,并对实验数据做业的分析,给出全面、可视的模型以及优化结果
BBD,是响应曲面法的一种。本研究建立的模型和方差分析采用响应曲面法中的 BBD 方法(Box and Behnken 1960),使用的软件 Design Expert 8.0是一款专门面向实验数据统计建模、实验设计以及相关分析的软件
最后通过实验数据表明:
(1)三种土均在不同含水量和含盐量下,土壤温度越高,传感器输出信号越大。
(2)通过对 NaCl 添加在(0%~1%)之间的土壤的测试,发现 NaCl 添加在0.4%~0.7%之间传感器的输出变化规律不明显。因此设置二次实验,测试 Na Cl 添加(0%~0.7%)之间传感器的变化规律。最终得到,土壤 NaCl 添加在 0.4%以下时,测量结果均随含盐量增大而增大;在 0.4%~0.7%之间时,输出信号先增大后减小,其最大值出现在 0.6%处;在 0.7%~1%时,测量结果受其影响不大。
FDR 土壤水分传感器检测模型的建立与验证
采用 Design Expert 8.0 软件进土壤含盐量、含水量、温度及传感器输出信号的回归拟合,建立数学模型并进行验证。
2.1 TM-100Y 型土壤水分传感器模型的建立与验证
2.1.1 神木黄绵土和安徽砂土测量模型的建立
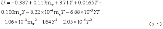
利用 Design-Expert8.0 软件从 TM-100Y 的 500 组数据中均匀地选取的 350 组土壤样品实验数据进行多元回归拟合。
TM-100Y 土壤湿度传感器的拟合公式如式(2-1)示。
式中:U—传感器含水率端口的输出电压,V;
mw—样品质量含水量,%;
Y—样品的含盐量,%;
T—样品温度,℃。
对式(2-1)进行方差分析,结果见表 2-1,可以看出式(2-1)的 P 值小于 0.0001,表明模型极显著。模型的决定系数 R2=0.7492,说明传感器的输出电压与样品的温度、含水率、含盐量间具有较好的相关性。同时式(2-1)中除了 mw2、YT、T 和 T2项外,其余各项均对模型有极显著的影响。
表 2-1 回归模型(2-1)的方差分析表
图 2-1 回归模型式(2-1)
图 2-1 表明,测量电压和计算电压值基本分散在 45º线的两侧。计算电压值与测量电压值的绝对误差在-2.138~2.056V 之间,说明在已知土壤样品的含水量、温度和土壤含盐量的条件下,式(2-1)可以计算出输出电压。 由于上述实验中在 Na Cl 添加 0.4%至 0.7%之间,实验结果出现变化趋势不规律,最值点不明确,因此使用绥德黄绵土进行了二次实验,主要针对 0.4%至 0.7%区间内的土壤进行分析建模
2.1.3 绥德黄绵土测量模型的建立
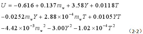
利用 Design-Expert8.0 软件从 TM-100Y 以绥德黄绵土为研究对象的 250 组实验数据中均匀地选取 150 组土壤样品实验数据进行多元回归拟合。
TM-100Y 土壤湿度传感器的拟合公式如式(2-2)示。
式中:U—传感器含水率端口的输出电压,V;
mw—样品质量含水量,%;
Y—样品的含盐量,%;
T——样品温度,℃。
对式(2-2)进行方差分析,结果见表 2-2。表 2-2 说明,式(4-2)的 P 值小于0.0001,表明模型极显著。模型的决定系数 R2=0.9670,说明传感器的输出电压与样品的温度、含水率、含盐量间具有较好的相关性。同时式(2-2)中除了 T、mw和 T2项外,其余各项均对模型有极显著的影响。表 2-2 回归模型(2-2)的方差分析表
2.2 DSW-T2 型土壤水分传感器模型的建立与验证
2.2.1 神木黄绵土和安徽砂土测量模型的建立
利用 Design-Expert8.0 软件从 DSW-T2 的 500 组数据中均匀地选取的 350 组土壤样
品实验数据进行多元回归拟合。
DSW-T2 土壤湿度传感器的拟合公式如式(2-3)示。
I——传感器含水率端口的输出电流,m A;
mw——样品质量含水量,%;
Y——样品的含盐量,%;
T——样品温度,℃。
对式(2-3)进行方差分析,结果见表 2-3。表 2-3 说明,式(2-3)的 P 值小于0.0001,表明模型极显著。模型的决定系数 R2=0.7146,说明传感器的输出电流与样品的温度、含水率、含盐量间具有较好的相关性。同时式(2-3)中除了 mw2、YT、Y2和T2项外,其余各项均对模型有极显著的影响。
表 2-3 回归模型(2-3)的方差分析表
图 2-3 回归模型(2-3)验证
图 2-3 表明,测量电流和计算电流值基本分散在 45º线的两侧。计算电压值与测量电压值的绝对误差在-1.917~2.132m A 之间,说明在已知土壤样品的含水量、温度和土壤含盐量的条件下,式(2-3)可以计算出输出电压。
由于上述实验中在 Na Cl 添加 0.4%至 0.7%之间,实验结果出现变化趋势不规律,最值点不明确,因此使用绥德黄绵土进行了二次实验,主要针对 0.4%至 0.7%区间内的土壤进行分析建模。
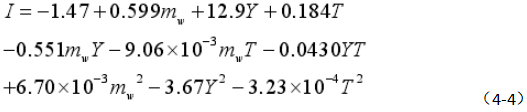
4.2.3 绥德黄绵土测量模型的建立
利用 Design-Expert8.0 软件从 TM-100Y 以绥德黄绵土为研究对象的 250 组实验数据中均匀地选取 150 组土壤样品实验数据进行多元回归拟合。
DSW-T2 土壤湿度传感器的拟合公式如式(4-4)所示。
式中:I——传感器含水率端口的输出电流,m A;
mw——样品质量含水量,%;
Y——样品的含盐量,%;T——样品温度,℃。
对式(2-4)进行方差分析,结果见表 2-4。表 2-4 说明,式(2-4)的 P 值小于0.0001,表明模型极显著。模型的决定系数 R2=0.8262,说明传感器的输出电流与样品的温度、含水率、含盐量间具有较好的相关性。同时式(2-4)中除了 mw2、YT、Y2和T2项外,其余各项均对模型有极显著的影响。
表 2-4 回归模型(2-4)的方差分析表
图 2-4 回归模型(2-4)验证
由图 2-4 可以看出,计算电流与实测电流坐标点紧密地分布在 45°线的两侧,计算电流值与测量电流值的绝对误差在-0.932~1.014mA 之间,说明在已知土壤样品的含水量、温度和土壤含盐量的条件下,式(2-4)可以比较准确地计算出输出电压。 同时,将实验数据带入两个传感器的原始模型中,分析得到其绝对误差,并与本文建立的模型进行比较,结果见表 2-5。比较结果表明,本文建立的模型提高了 FDR土壤水分传感器的测量精度,引入土壤含盐量的模型相比于原模型具有更好的精确度。
表 2-5 两种模型绝对误差比较
借鉴论文:FDR土壤含水率传感器的主要影响因子与其结构优化研究
























版权声明:本文内容由互联网用户自发贡献,该文观点仅代表作者本人。本站仅提供信息存储空间服务,不拥有所有权,不承担相关法律责任。如发现本站有涉嫌侵权/违法违规的内容,请联系我们,一经查实,本站将立刻删除。
如需转载请保留出处:https://51itzy.com/kjqy/12508.html