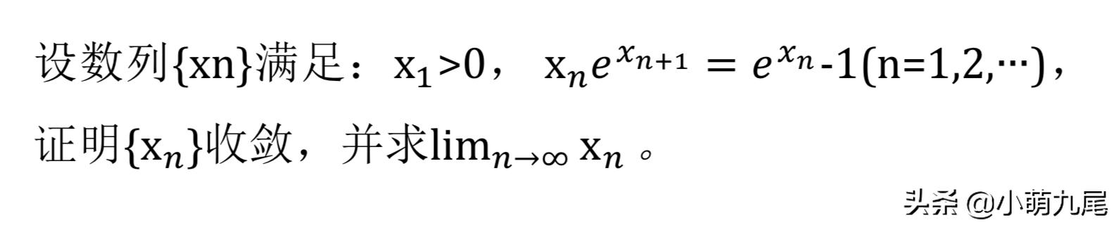
数列:指的是以正整数集为定义域的函数,是一列有序的数。
极限:某一个函数中的某一个变量,这个变量在变大或者变小的过程中,逐渐向一个确定的数值不断靠近,但是又永远达不到这个数值,那这个数值就会被称作极限值。
而数列恰好是函数,数列极限就是要求出这个数列在变大或者变小的过程中,逐渐靠近的一个确定数值是什么,我们在求数列极限的时候,要转化成函数极限来做。
图一
证明函数有界的步骤_「高等数学」证明数列收敛并求该数列的极限,利用单调有界准则...数列 指的是以正整数集为定义域的函数 是一列有序的数 极限 某一个函数中的某一个变量 这个变量在变大或者变小的过程中 逐渐向一个确定的数值不断靠近 但是又永远达不到这个数值 那这个数值就会被称作极限值 而数列恰好是函数
数列:指的是以正整数集为定义域的函数,是一列有序的数。
极限:某一个函数中的某一个变量,这个变量在变大或者变小的过程中,逐渐向一个确定的数值不断靠近,但是又永远达不到这个数值,那这个数值就会被称作极限值。
而数列恰好是函数,数列极限就是要求出这个数列在变大或者变小的过程中,逐渐靠近的一个确定数值是什么,我们在求数列极限的时候,要转化成函数极限来做。
图一
版权声明:本文内容由互联网用户自发贡献,该文观点仅代表作者本人。本站仅提供信息存储空间服务,不拥有所有权,不承担相关法律责任。如发现本站有涉嫌侵权/违法违规的内容,请联系我们,一经查实,本站将立刻删除。
如需转载请保留出处:https://51itzy.com/kjqy/124408.html