目录
1. Lotka-Volterra 模型
1.1 模型假设
1.2 模式制定
2. 解决ODEs问题的一些方法
2.1 用欧拉法解决ODEs问题
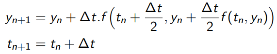
2.2 使用中点来提高准确性
2.3 使用Runge-Kutta方法解决ODEs问题
2.4 使用Matlab解决ODEs
3. Lotka-Volterra模型的行为
3.1 Lotka-Volterra模型的数值解法
3.2 分析Lotka-Volterra模型
4. 对Lotka-Volterra模型的扩展
4.1 有多个物种的Lotka-Volterra模型
1. Lotka-Volterra 模型
Lynxes and hares
1.1 模型假设
捕食者:红狐狸——猎物:兔子
- 兔子的数量是可持续的(它们有充足的食物)。
- 如果没有红狐狸,兔子数量的增长速度与它的规模成正比
- 红狐狸只吃兔子
- 如果没有兔子吃,红狐狸的数量就会以与其规模成正比的速度下降。
- 环境是静止的,对种群的增长和衰亡速度没有影响
1.2 模式制定
猎物(兔子):

捕食者(红狐狸):
![]()
参数:
| 参数 | 含义 |
![]() |
兔群的增长率 |
![]() |
狐狸捕食(吃)兔子的速度 |
![]() |
狐狸种群的增长率 |
![]() |
狐狸数量因死亡和迁徙而衰减的速度 |
2. 解决ODEs问题的一些方法
2.1 用欧拉法解决ODEs问题
给定一组微分方程和一个初始条件,我们如何计算系统的未来状态?在系统中,有:
![]()
其中
定义了变量
及其导数之间的关系,欧拉正向差分法计算逼近序列

作为基本行为的时间梯度模拟
2.2 使用中点来提高准确性
与其说我们对下一个点的估计是基于区间起点的斜率,不如说我们可以通过使用中间点的斜率来提高准确性:

这种方法会更缓慢地偏离真实情况,但缺点是每次迭代需要更多的计算量。
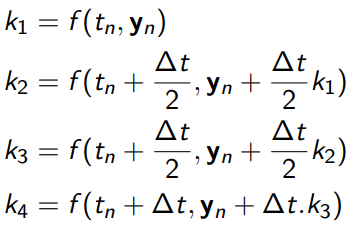
2.3 使用Runge-Kutta方法解决ODEs问题
欧拉方法往往不够准确。通过利用
和
之间的更多的点,可以提高准确度。
Runge-Kutta系列方法采用了这种方法,最常用的是RK4,它计算的是
![]()
其中
值是斜率的中间估计值:


2.4 使用Matlab解决ODEs
用于Lotka-Volterra模型的Matlab函数:

Matlab测试脚本:

3. Lotka-Volterra模型的行为
3.1 Lotka-Volterra模型的数值解法


上边的图是limited cycle,是不稳定的,排斥的。
3.2 分析Lotka-Volterra模型
该系统的长期行为是什么?
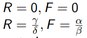
平衡点:系统变量(种群水平R和F)不改变的点;![]()

两个平衡点:

解释:
- 平衡1:两个种群都灭绝了
- 平衡2:两个种群都无限期地维持在非零水平上
系统行为如何取决于其初始条件?
稳定性分析显示:
- 第一个平衡(两个种群都灭绝)是不稳定的;只有当猎物水平被设定为零时才会出现,这时捕食者也会消亡
- 第二个平衡是稳定的;具体来说,它是中性稳定的,周围有无限多的周期性轨道。
这有多现实呢?另一个限制:

这张图有什么问题?
4. 对Lotka-Volterra模型的扩展
没有关于猎物种群承载能力的概念
logistic方程描述了种内竞争
基本的Lotka-Volterra模型捕捉了种间竞争
我们可以通过在Lotka-Volterra模型中增加一个额外的术语来综合这些观点,以解释同一物种成员之间的竞争:


右边的图是limited cycle,是稳定的,有吸引力的,有中心点,中心点是不动点。
还提出了其他的模型改进方案,以提高捕捉观察到的现象的能力
4.1 有多个物种的Lotka-Volterra模型
双物种竞争模型也可以写成:

其中
是物种
对物种
的影响,然后可以推广到
个物种的模型。

其中
代表第
个物种,
是相互作用项的矩阵。
多物种模型的另一个代表是:

这个版本将承载能力
和相互作用项
拉到相互作用矩阵A内。对于三个物种,生长率
,互动矩阵

对于
的值,可以产生混乱的行为。


版权声明:本文内容由互联网用户自发贡献,该文观点仅代表作者本人。本站仅提供信息存储空间服务,不拥有所有权,不承担相关法律责任。如发现本站有涉嫌侵权/违法违规的内容,请联系我们,一经查实,本站将立刻删除。
如需转载请保留出处:https://51itzy.com/kjqy/122076.html