Chapter4 化合物半导体场效应晶体管
作者: Saint
掘金:https://juejin.im/user/5aa1f89b6fb9a028bb18966a
微博:https://weibo.com//profile?topnav=1&wvr=6&is_all=1
GitHub:github.com/saint-000
知乎:https://www.zhihu.com/people/saint-80-61/columns
一.金属半导体场效应晶体管(MESFET)
1.器件结构
2.器件工作原理
3.电流-电压特性
1.场效应晶体管FET
场效应晶体管是一种利用电场效应来控制其电流大小的半导体器件。
特点:输入电阻高、噪声低、热稳定性能好、抗辐射能力强。
主要用于大规模和超大规模集成电路中。
场效应晶体管FET(field effect transistor)的分类
– 金属/氧化物/半导体场效应晶体管(MOSFET)
– 结型场效应晶体管 (JFET)
– 金属/半导体结场效应晶体管 (MESFET)
– 高迁移率电子晶体管 (HEMT)
– 调制掺杂场效应晶体管 (MODFET)
三种场效应晶体管的比较




2.器件的工作原理
MESFET的原理结构如下图所示。将源极接地,栅极电压与漏极电压是相对源极测量而得。

正常工作情形下,栅极电压为零或是被加以反向偏压,而漏极电压为零或是被加以
正向偏压。也就是说VG≤0而VD≥0。
对于沟道为n型材料的器件称为n沟道MESFET。
在大多数的应用中是采用n沟道MESFET而非p沟道MESFET,这是因为n沟道器件具有较高的电子迁移率
当没有外加栅极电压且VD很小时,沟道中有很小的漏极电流流通。此电流大小为VD/R。其中R为沟道电阻。因此,电流随漏极电压呈线性变化。
当然,对任意漏极电压而言,沟道电压是由源极端的零渐增为漏极端的VD。因此,沿着源极到漏极肖特基势垒的反向偏压渐强。当VD增加,W也随着增加,使得电流流动的平均截面积减小,沟道电阻R也因此增加,这使得电流以较缓慢的速率增加。
随着漏极电压的持续增加,最终将使得耗尽区接触到半绝缘衬底,在此漏极电压时,源极和漏极将会被夹断或说是被反向偏压的耗尽区完全分隔开:


在夹断点后,当VD进一步增加,则靠近漏极端的耗尽区将逐渐扩大,而P点将往源极端移动。然而,P点处的电压维持为VDsat,因此,每单位时间由源极移往P点的电子数目以及沟道内的电流也维持不变,这是因为在沟道中,由源极到P点的电压降维持不变。当漏极电压大于VDsat时,电流基本上维持在IDsat,且与VD无关。
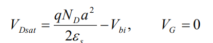
当加入反向栅极偏压时,耗尽区宽度W随之增加。对较小的VD而言,沟道就像是电阻器一般,但是具有较高的阻值,这是因为沟道的截面积减小的关系。VG=-1V的初始电流比VG=0时的初始电流来得小。当VD增加至某一特定值时,耗尽区将接触到半绝缘衬底.此时VD值为:
对n沟道MESFET而言,栅极电压相对于源极为负值,所以在上述各式
中,使用VG的绝对值。由上式可以看出,外加的栅极电压使得开始发
生夹断时所需的漏极电压减小了VG的值。
3.电流-电压特性
考虑在开始夹断前的MESFET,夹断电压为3.2V的MESFET的I-V特性:

当电压超过VDsat时,电流被看作是一定值。注意电流-电压特性中有着三个不同的区域。当VD比较小时,沟道的截面积基本上与VD无关,此I-V特性为欧姆性质或是线性关系。于是将这个工作原理区域视为线性区。

当VD≥VDsat时,电流于IDsat达到饱和,将这个工作原理区域称为饱和区。当漏极电压进一步增加,栅极-沟道间二极管的雪崩击穿开始发生,这使得漏极电流突然增加,这就是击穿区。

二.高电子迁移率晶体管(HEMT)
1.HEMT的基本结构
2.HEMT的工作原理
3.HEMT的电学特性
4.HEMT的微波特性
5.HEMT的新发展
1.HEMT 与MSFET的比较

GaAs HEMT与MESFET的比较
同栅长时,截止频率,高噪声,低开关速度快,逻辑振幅低电平的跨导大,使用于超高速VLSI

HEMT的经典结构示意图
HEMT的基本特点
一种三端器件;一种耗尽型器件(与MESFET相似) 电学特性类似MOSFET器件
电场特性: 阈值电压,电流饱和
HEMT的基本结构示意图
工作原理:

通过栅电场效应控制异质结界面处的二维电子气的浓度,即通过栅下的肖特基势垒来控制GaAs/AlGaAs 异质结中的2DEG的浓度从而实现控制电流。

HEMT的工作模式
栅偏压为零时电流处于导通状态的,称为耗尽型模式(D-HEMT) 栅偏压为正时电流处于导通状态的,称为增强型模式(E-HEMT)
•HEMT的工作原理是通过栅电场效应控制异质结界面的二维电子气。
•HEMT与MESFET之间的主要区别在于有源层。
•HEMT的工作原理类似栅电容不受偏压影响的MOSFET。
HEMT器件结构的几种典型例子
HEMT器件的几种结构示意图
3.HEMT器件直流的输出特性曲线
HEMT的漏极电流-电压特性
电学特性类似-MOSFET器件
HEMT 的 漏 极 电 流 - 电 压 特 性 与 Si MOSFET的电流-电压特性基本上是相同


4.HEMT的微波特性
HEMT的等效电路
低噪声HEMT
高输出HEMT
GaAs HEMT的小信号等效电路图

GaAs HEMT等效电路参数表示的功率增益
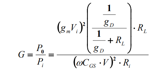
首先,在输入端口施加高频电压,假设主要被加到栅电容CGS上,则可求输入损失Pi,由施加在栅电容CGS之上的高频电压Vi 引起高频漏极电流可算,因为那么截至频率fT可由电流增益为1,得到:

如果负荷电阻RL接到输出端口上,可表示出输出功率P0,HEMT功率增益G可表示为:
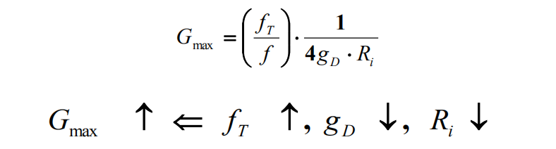
上式在RL=1/gD时为最大,G的最大值Gmax为:
低噪声HEMT
噪声:是由在某一稳定状态中的某种现象所引起的“扰动”所产生的。
热噪声(thermal noise):由导体中的传导电子(载流子)与晶格相碰撞而不断进行的不规则热运动。
散粒(散射)噪声(shot noise):流过pn结或肖特基结等势垒的直流电流在统计上所表现出的扰动性。
1/f 噪声:又叫(flicker noise),半导体表面的不稳定性。

在微波高频器件中,fT高的器件噪声系数低, 最小噪声系数Fmin也可以用下面经验式表示:



提高HEMT功率的方法
采用多沟道结构
增加栅宽
提高耐压的终端技术
采用新的宽禁带半导体材料
HEMT新的发展
赝高迁移率晶体管( PHEMT )
InP基HEMT
MHEMT
宽禁带半导体GaN基HEMT
GaN基 HEMT的结构示意图

GaN基HEMT构成技术





版权声明:本文内容由互联网用户自发贡献,该文观点仅代表作者本人。本站仅提供信息存储空间服务,不拥有所有权,不承担相关法律责任。如发现本站有涉嫌侵权/违法违规的内容,请联系我们,一经查实,本站将立刻删除。
如需转载请保留出处:https://51itzy.com/kjqy/69402.html