1、概述
多变量控制系统:当被控参数和控制参数都不止一个,且每一个被控参数受多个控制参数的影响,每一个控制参数对多个被控参数有影响。
耦合:指在一个闭环系统中,当设定值x变动后,除了对应的输出变量y1响应外,其余的输出变量y2等也随之相应,这个过程就表明内部存在耦合现象,也称关联,响应程度表明耦合程度。
2、表示方法
传递函数阵:
3、控制方法
(1)多变量方法:将系统作为一个整体系统,用状态空间方法,具体过程本文不加解释;
(2)解耦:将系统化为多个单输入单输出系统进行控制。
4、多变量系统的关联分析
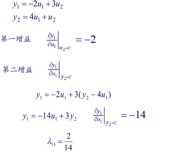
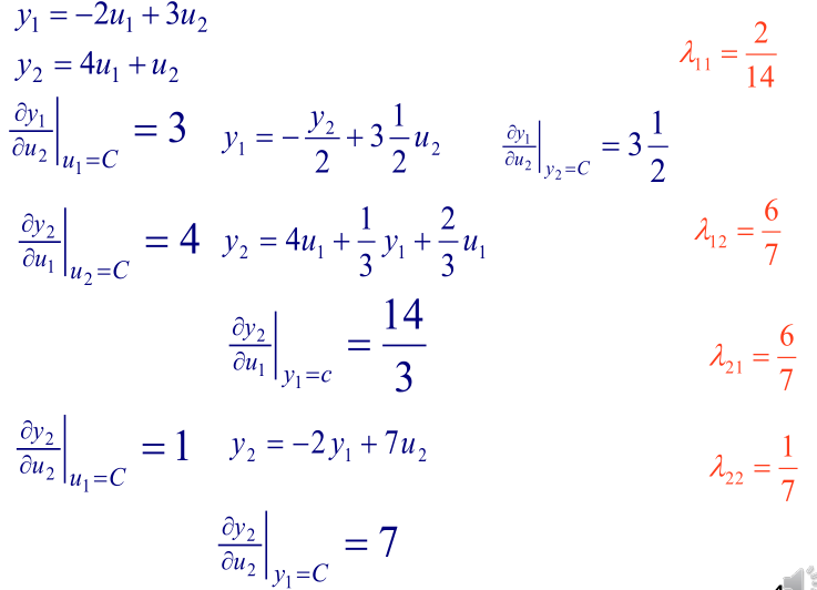
有Bristol提出的相对增益概念用来衡量关联程度。
(1)相对增益
ij:表示第j个输入u对第i个输出y的影响力。

代表只有第j个输入u对第i个输出y的控制能力。即在其他回路都是开环,第j个输入u对第i个输出y的增益。

代表维持其他y不变时,输入的支路对y i 的关联影响。即在其他回路都是闭环,第j个输入u对第i个输出y的增益。
相对增益讨论的是静态增益。
计算过程如下:


(2)相对增益的物理意义和性质
物理意义:相对增益
ij 表明控制量uj对输出yi 的控制受其他回路影响的程度;
性质:
ij 越接近1,表明受其他支路影响越小,越偏离1说明受耦合支路影响越大。

(3)相对增益阵
特征:每行元素和为1,每列元素和为1。
相对增益的求法有三种:1)根据定义求;2)利用矩阵求--已知传递函数矩阵(高于二阶);3)根据物理关系求。
(4)相对增益的应用--变量配对

例如:

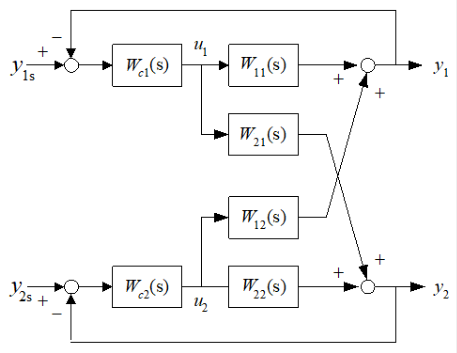
5、解耦控制系统的设计
条件:被控参数的个数与控制参数个数相同;
变量配对:明确主控和耦合
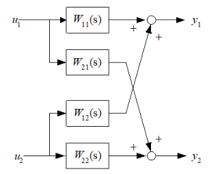
解耦:假设原系统是:
通过加一些装置,使得等效系统模型为对角阵。
此过程就是解耦。
以2×2的系统为例:


若变量配对u1--y1,u2--y2,解耦前系统为:

解耦后:

(1)系统完全解耦----对角阵法


完全解耦装置设计----加解耦装置等效被控对象为对角阵

(2)单位矩阵法



(3)前馈补偿方法设计解耦装置
当u1配对控制y1时,u1对于y2就是扰动,那么针对u1的变化可以设计前馈装置,同样的u2对于y1也是如此。

特点:装置数减少( 2×2系统,前馈方法只需要2个装置,对角阵法需要4个装置)
也有可能物理不能实现(前馈的问题)
调和过程的解耦控制举例:









6、解耦控制中的问题
(1)实现问题(对角阵和前馈)
(2)对模型精度要求很高
(3)稳定性问题--负耦合一定要避免
(4)关联分析没有考虑动态耦合问题

以上内容根据华科2020春季期线上过程控制网课整理。
版权声明:本文内容由互联网用户自发贡献,该文观点仅代表作者本人。本站仅提供信息存储空间服务,不拥有所有权,不承担相关法律责任。如发现本站有涉嫌侵权/违法违规的内容,请联系我们,一经查实,本站将立刻删除。
如需转载请保留出处:https://51itzy.com/kjqy/67586.html