偏微分方程的数值解系列博文:
偏微分方程的数值解(一):定解问题 & 差分解法
偏微分方程的数值解(二): 一维状态空间的偏微分方程的 MATLAB 解法
偏微分方程的数值解(三): 化工应用实例 ----------触煤反应装置内温度及转换率的分布
偏微分方程的数值解(四): 化工应用————扩散系统之浓度分布
偏微分方程的数值解(五): 二维状态空间的偏微分方程的 MATLAB 解法
偏微分方程的数值解(六): 偏微分方程的 pdetool 解法
自然科学与工程技术中种种运动发展过程与平衡现象各自遵守一定的规律。这些规 律的定量表述一般地呈现为关于含有未知函数及其导数的方程。我们将只含有未知多元 函数及其偏导数的方程,称之为偏微分方程。 方程中出现的未知函数偏导数的最高阶数称为偏微分方程的阶。如果方程中对于未 知函数和它的所有偏导数都是线性的,这样的方程称为线性偏微分方程,否则称它为非 线性偏微分方程。 初始条件和边界条件称为定解条件,未附加定解条件的偏微分方程称为泛定方程。 对于一个具体的问题,定解条件与泛定方程总是同时提出。定解条件与泛定方程作为一 个整体,称为定解问题。
§1 偏微分方程的定解问题
§2 偏微分方程的差分解法
2.1 椭圆型方程第一边值问题的差分解法
(i) 直接转移 (ii) 线性插值
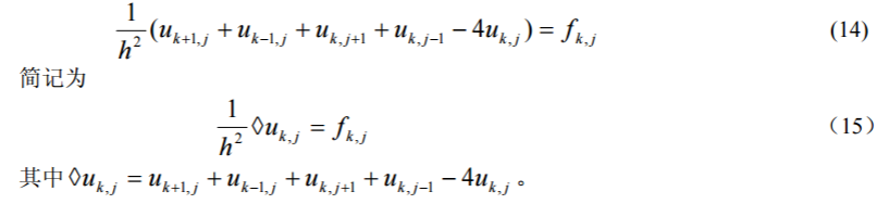
五点菱形格式 五点矩形格式
2.2 抛物型方程的差分解法
2.2.1 微分方程的差分近似 2.2.2 初值、边值条件的处理
2.2.3 几种常用的差分格式
(i) 古典显式格式 (ii)古典隐式格式
(iii)杜福特—弗兰克尔(DoFort—Frankel)格式
2.3 双曲型方程的差分解法 一阶双曲型方 程的差分解法
各种物理性质的定常(即不随时间变化)过程,都可用椭圆型方程来描述。其最典 型、最简单的形式是泊松(Poisson)方程
带有稳定热源或内部无热源的稳定温度场的温度分布,不可压缩流体的稳定无旋流动及 静电场的电势等均满足这类方程。
Poisson 方程的第一边值问题为

第二类和第三类边界条件可统一表示成

其中 n 为边界Γ 的外法线方向。当α = 0 时为第二类边界条件,α ≠ 0时为第三类边界 条件。
在研究热传导过程,气体扩散现象及电磁场的传播等随时间变化的非定常物理问 题时,常常会遇到抛物型方程。其最简单的形式为一维热传导方程

方程(5)可以有两种不同类型的定解问题: 初值问题(也称为 Cauchy 问题)

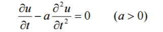
双曲型方程的最简单形式为一阶双曲型方程

物理中常见的一维振动与波动问题可用二阶波动方程

描述,它是双曲型方程的典型形式。方程(10)的初值问题为

边界条件一般也有三类,最简单的初边值问题为

如果偏微分方程定解问题的解存在,唯一且连续依赖于定解数据(即出现在方程 和定解条件中的已知函数),则此定解问题是适定的。可以证明,上面所举各种定解问 题都是适定的。
§2 偏微分方程的差分解法
差分方法又称为有限差分方法或网格法,是求偏微分方程定解问题的数值解中应用 最广泛的方法之一。它的基本思想是:先对求解区域作网格剖分,将自变量的连续变化 区域用有限离散点(网格点)集代替;将问题中出现的连续变量的函数用定义在网格点 上离散变量的函数代替;通过用网格点上函数的差商代替导数,将含连续变量的偏微分 方程定解问题化成只含有限个未知数的代数方程组(称为差分格式)。如果差分格式有 解,且当网格无限变小时其解收敛于原微分方程定解问题的解,则差分格式的解就作为 原问题的近似解(数值解)。
因此,用差分方法求偏微分方程定解问题一般需要解决以 下问题:
(i)选取网格;

(ii)对微分方程及定解条件选择差分近似,列出差分格式;
(iii)求解差分格式;
(iv)讨论差分格式解对于微分方程解的收敛性及误差估计。
下面我们只对偏微分方程的差分解法作一简要的介绍。
2.1 椭圆型方程第一边值问题的差分解法
以 Poisson 方程(1)为基本模型讨论第一边值问题的差分方法。 考虑 Poisson 方程的第一边值问题(3)


边界条件的处理可以有各种方案,下面介绍较简单的两种。
(i) 直接转移
(ii) 线性插值
五点菱形格式
由式(13)所给出的差分格式称为五点菱形格式,实际计算时经常取 h = τ ,此时 五点菱形格式可化为

求解差分方程组最常用的方法是同步迭代法,同步迭代法是最简单的迭代方式。除 边界节点外,区域内节点的初始值是任意取定的。
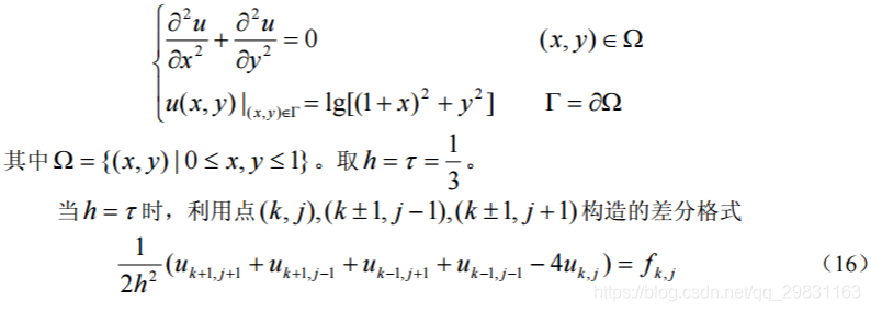
例 1 用五点菱形格式求解 Laplace 方程第一边值问题
五点矩形格式


2.2 抛物型方程的差分解法
以一维热传导方程(5)

为基本模型讨论适用于抛物型方程定解问题的几种差分格式。

2.2.1 微分方程的差分近似

2.2.2 初值、边值条件的处理
为用差分方程求解定解问题(6),(7)等,还需对定解条件进行离散化。 对初始条件及第一类边界条件,可直接得到



2.2.3 几种常用的差分格式
下面我们以热传导方程的初边值问题(7)为例给出几种常用的差分格式。
(i) 古典显式格式


(ii)古典隐式格式
将(19)整理并与式(21),(22)联立,得差分格式如下

(iii)杜福特—弗兰克尔(DoFort—Frankel)格式
DoFort—Frankel 格式是三层显式格式,它是由式(24)与(25),(26)结合得到 的。具体形式如下:

2.3 双曲型方程的差分解法
对二阶波动方程(10)


方程组(30)由两个独立的一阶双曲型方程联立而成。因此下面主要讨论一阶双曲型方 程的差分解法。
一阶双曲型方 程的差分解法

偏微分方程的数值解系列博文:
偏微分方程的数值解(一):定解问题 & 差分解法
偏微分方程的数值解(二): 一维状态空间的偏微分方程的 MATLAB 解法
偏微分方程的数值解(三): 化工应用实例 ----------触煤反应装置内温度及转换率的分布
偏微分方程的数值解(四): 化工应用————扩散系统之浓度分布
偏微分方程的数值解(五): 二维状态空间的偏微分方程的 MATLAB 解法
偏微分方程的数值解(六): 偏微分方程的 pdetool 解法

版权声明:本文内容由互联网用户自发贡献,该文观点仅代表作者本人。本站仅提供信息存储空间服务,不拥有所有权,不承担相关法律责任。如发现本站有涉嫌侵权/违法违规的内容,请联系我们,一经查实,本站将立刻删除。
如需转载请保留出处:https://51itzy.com/kjqy/64257.html