有趣的是,这个简单的内容居然在国内的网站上很难搜索。不过无妨,毕竟是学过多年英语的人,链接在此。闲话不说,请看公式
1. hypsometric 公式
h = [ ( P 0 P ) 1 5.257 − 1 ] × ( T + 273.15 ) 0.0065 (1) h = \frac{[(\frac{P_0}{P})^{\frac{1}{5.257}}-1] \times (T + 273.15)}{0.0065} \tag{1} h=0.0065[(PP0)5.2571−1]×(T+273.15)(1)
其中, P 0 P_0 P0为标准大气压强,取值 101.325 k P a 101.325 {\rm kPa} 101.325kPa; P P P为实际测量的大气压强,单位 k P a {\rm kPa} kPa; T T T为实际测量温度,单位 ℃。
上式中 ( T + 273.15 ) (T+273.15) (T+273.15)是将摄氏度转化为卡尔文。该公式同时考虑为温度和压强计算海拔高度。
2. barometric 公式
h = 44330 × [ 1 − ( P P 0 ) 1 5.255 ] (2) h = 44330 \times \left [ 1 - (\frac{P}{P_0})^{\frac{1}{5.255}} \right ] \tag{2} h=44330×[1−(P0P)5.2551](2)
其实该公式只是只是(1)式在一定条件下取值,不考虑温度的影响。
3. 测试
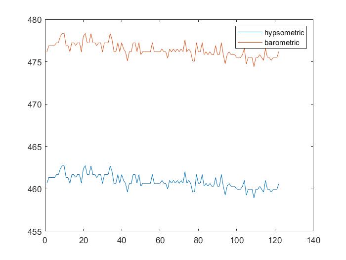
使用MS5611读取数据,大约1分钟,数据绘图如下:

两者大约相差15米,两者走势几乎重合。经过计算,蓝色线(不使用温度)的方差为 0.6437,橙色线(使用温度)的方差为 0.6828。
— 完 —

版权声明:本文内容由互联网用户自发贡献,该文观点仅代表作者本人。本站仅提供信息存储空间服务,不拥有所有权,不承担相关法律责任。如发现本站有涉嫌侵权/违法违规的内容,请联系我们,一经查实,本站将立刻删除。
如需转载请保留出处:https://51itzy.com/kjqy/60451.html