前言
生若夏花,死如秋叶
本小节知识目录
- 深度遍历算法原理及图解
- 深度遍历算法例题应用
1:全排列问题
2:ABC+DEF=GHI问题
3:二维数组寻找点到点的最短路径
4:求岛屿的面积
5:求岛屿的个数
6:地板的埔法有多少种
7:二叉树的深度遍历
8:图的深度遍历
9:图的最短路径求解
10:找子集等于某给定的数
正题开始
1:深度遍历算法原理及图解
- 1:深度遍历算法理论
深度优先搜索属于图算法的一种,英文缩写为DFS即Depth First Search.其过程简要来说是对每一个可能的分支路径深入到不能再深入为止,而且每个节点只能访问一次。
- 2:深度遍历算法图解
1:需要遍历的图

讯享网1:从A点出发,红色代表A点被访问。
2:有A->B,A->C都可行,都可以遍历,这里我选择遍历C。
3:再遍历C之后,也可遍历C->B,C->D 我这里选择遍历C->D。
4:现在由D->E 这里遍历了E。
5:E已经不可以再遍历了。然后返回D,D又不可以遍历B,放回C,然后C->B可以。所以从C->B 就实现遍历。

总结
这就是整个深度遍历的全过程。
1:例题讲解
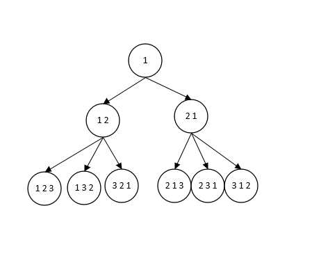
- 全排列问题
#include<iostream> using namespace std; //交换两个数 void swap(int &a, int &b) {
int temp; temp = a; a = b; b = temp; } void dfs(int list[], int k, int m) {
if (k == m) {
for (int i = 0; i <= m; i++) cout << list[i]; cout << endl; } for (int i = k; i <= m; i++) {
swap(list[i], list[k]); dfs(list, k + 1, m); swap(list[i], list[k]); } } int main(void) {
int a[] = {
1, 2, 3 }; int m = 2; dfs(a, 0, 2); system("pause"); }
讯享网
思路和总结
也就是深度遍历的思想,首先我们去第一个,然后访问下一个,然后再接下来一个。图解
- 2:ABC+DEF=GHI 问题
题目描述
从1~9中选择出3组数组,组成一个百位数,每个数只能使用一次,譬如
718+245=963
讯享网#include<iostream> using namespace std; //交换两个数 void swap(int &a, int &b) {
int temp; temp = a; a = b; b = temp; } void dfs(int list[], int k, int m) {
if (k == m) {
int X1 = list[0] * 100 + list[1] * 10 + list[2]; int X2 = list[3] * 100 + list[4] * 10 + list[5]; int X3 = list[6] * 100 + list[7] * 10 + list[8]; if (X1 + X2 == X3) cout << X1 << "+" << X2 << "=" << X3 << endl; return; } for (int i = k; i <= m; i++) {
swap(list[i], list[k]); dfs(list, k + 1, m); swap(list[i], list[k]); } return; } int main(void) {
int a[] = {
1, 2, 3,4,5,6,7,8,9 }; int m = 2; dfs(a, 0, 8); system("pause"); }
总结思路
也就是全排序的过程,然后再调用全排序数字的位置,进行判断,就可以找出这样的ABC+DEF = GHI
- 3:二维数组寻找最短路径问题
0代表可以走。代表不可以走,选择从(1,1)~(3,3)的最短路径
#include<iostream> using namespace std; //ABC + DEF = GHI问题 bool visited[5][5] = {
false }; int step = 1; int minstep = 999; int map[5][5] = {
{
1,1,1,1,1}, {
1,0,0,1,0}, {
1,0,1,0,1}, {
1,0,0,0,1}, {
1,0,0,0,0} }; void dfs(int x, int y,int step) {
if (x > 4 || x<1 || y>4 || y<1 || visited[x][y] == true) return; if (x == 3 && y == 3) {
if (minstep > step) minstep = step; //打印出步长 cout << step << endl; } else {
if (visited[x][y] == false && (map[x][y] == 0)) {
visited[x][y] = true; dfs(x + 1, y, step + 1); dfs(x - 1, y, step + 1); dfs(x, y + 1, step + 1); dfs(x, y - 1, step + 1); visited[x][y] = false; } return; } } int main(void) {
dfs( 1, 1,0); cout << minstep << endl; system("pause"); }
总结
本题的解决方式也就是深度遍历算法,也就是一直查找到底。也就是深度遍历算法的应用。
- 4:求岛屿的面积
题目描述
给一个二维数组,0代表湖泊,1代表陆地,每个1代表1m^2 求给定的二维数组中某个位置所在岛屿的面积。例题
0 0 0 0
0 1 1 0
0 1 0 0
0 0 0 0 求位置(1,1)所在岛屿的面积 如图所示为3 m^2;

版权声明:本文内容由互联网用户自发贡献,该文观点仅代表作者本人。本站仅提供信息存储空间服务,不拥有所有权,不承担相关法律责任。如发现本站有涉嫌侵权/违法违规的内容,请联系我们,一经查实,本站将立刻删除。
如需转载请保留出处:https://51itzy.com/kjqy/58959.html