一、回归分析
无论上一期数据如何波动,本期数据围绕均值波动。
线性回归:
非线性回归:

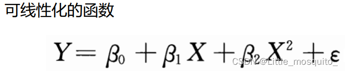
变量变换(特征项高阶/取对数):


二、一元线性回归

1、参数估计(最小二乘法)
总的误差平方和最小。
𝛽0、𝛽1的最小二乘估计:

2、最小二乘回归直线


养成跑完回归后看残差的好习惯,用残差检验模型假设。
三、最小二乘法前提假设(高斯马尔夫假设)
- 线性于参数:回归参数为线性;
- 随机抽样:残差无序列相关;
- 不存在完全共线性:不存在线性相关;(多元线性回归)
- 误差的条件均值为零:遗漏重要变量;
- 误差同方差性:不能异方差;
- 误差的正态性;
四、参数检验
前提:残差相互独立,且服从均值为0,方差为σ2(总体残差的方差)的正态分布。
1、原假设和备择假设

原假设:无线性相关; 备择假设:线性相关;
2、检验方法:t检验

当H0为真时,t1服从自由度为n-2的t分布。
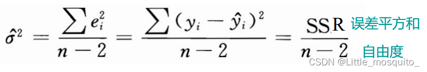
3、标准误
3.1、无偏估计的方差:

3.2、总体残差的方差:

3.3、标准误:


4、假设检验
可以用t1值和t分布的临界值比较,也可以用p(t1)和显著性水平做比较。
线性回归只做单侧检验。
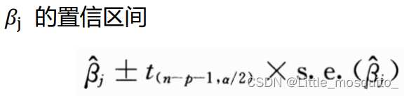
5、置信区间

五、预测
1、预测y0

2、预测均值μ0
当X=x0时,y的均值μ0。
六、评估

决定系数:R2

七、无截距的一元线性回归


八、多元线性回归
1、多元回归模型

2、参数估计(线性变换)


3、评估


4、单个回归系数的检验


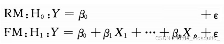
九、假设检验:所有自变量的回归系数均为0。
1、原假设

2、F检验

十、图形方法
1、标准化残差正态概率图
都在45度斜线上,否则不满足。

2、 标准化残差关于每个自变量的散点图
异方差可以通过对X取高次、对X取对数、对X开根号、X互乘进行变换,有效消除异方差。

十一、判断共线性:方差膨胀因子
- VIF=1 完全无关
- VIF=(1,3) 无关
- VIF=(3,10)需要调整
- VIF=10 出现共线性,需要删除变量



版权声明:本文内容由互联网用户自发贡献,该文观点仅代表作者本人。本站仅提供信息存储空间服务,不拥有所有权,不承担相关法律责任。如发现本站有涉嫌侵权/违法违规的内容,请联系我们,一经查实,本站将立刻删除。
如需转载请保留出处:https://51itzy.com/kjqy/58754.html