zero-shot learning
在零次学习(ZSL)中,训练集中的样本标签与测试集的标签是不相交的,即在训练时是没有见过测试集类别的样本的,而零次学习任务就是要识别出这些训练时没见过的类别的样本。既然要认出没见过的对象,那就要教会模型学习到更“本质”的知识,并且将这些知识“举一反三”,从已见过的类别(seen)迁移到没见过的类别(unseen)。在具体的实现中,模型会使用一层语义嵌入层,作为seen类和unseen类的迁移桥梁或者说中间表示,将seen类的知识迁移到unseen类,教会模型”举一反三“。而这个语义嵌入层具体会是对类别的一些描述,具体可能会是人工定义的属性或者词向量等语义表示。
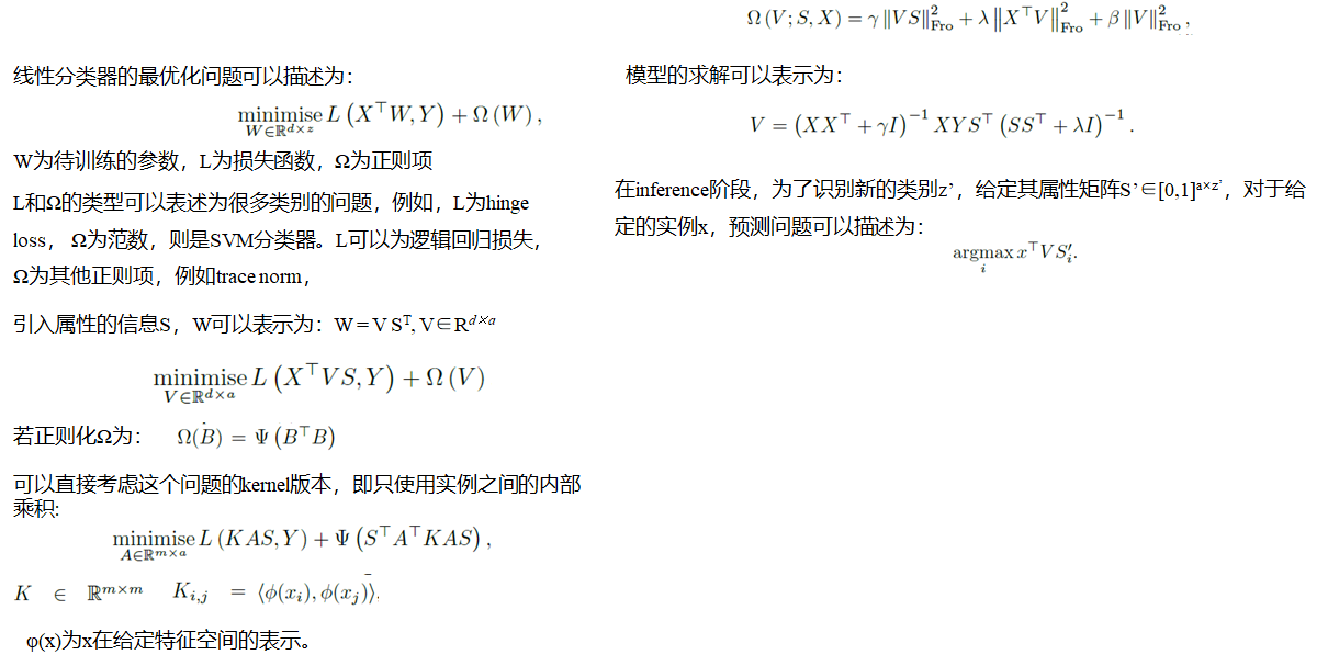
一般的,模型包括以下几个部分:(图1)
文章 Learning To Detect Unseen Object Classes by Between-Class Attribute Transfer中描述了ZSL的两种类型:
Direct attribute prediction (DAP)

Indirect attribute prediction (IAP)

后续论文的创新主要建立在图1各个模块上的改进和创新,以及对上述文献中DAP模型的不足之处的改进:


Movtivation/Contribution:
其他模型依赖于额外的辅助信息(属性、词向量等)来建立seen类和unseen类之间的迁移——用每个类的类中心(KNN)/类均值(NCM)来取代ZSL中对于每个类的语义描述,然后学习一个度量,使得它们在seen和unseen类间共享,达到迁移的效果。
不要类别语义信息!!



Movtivation/Contribution:
线性映射,从特征空间到语义空间的映射。



Movtivation/Contribution:
1. 由于 属性分类器是独立于最终任务学习的,它们在预测属性方面可能是**的,但在预测类方面不一定是** 的;

版权声明:本文内容由互联网用户自发贡献,该文观点仅代表作者本人。本站仅提供信息存储空间服务,不拥有所有权,不承担相关法律责任。如发现本站有涉嫌侵权/违法违规的内容,请联系我们,一经查实,本站将立刻删除。
如需转载请保留出处:https://51itzy.com/kjqy/58486.html