正态分布(Normal Distribution)

讯享网
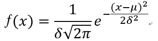
正态分布也称为高斯分布,是一种常见的连续性概率分布,若随机变量x服从概率密度函数f(x),则称x服从均值为μ,方差为δ^2,的正态分布,记为x~N(𝜇,𝛿2),正态分布曲线呈钟型,故常称之为钟形曲线。


标准正态分布(Standard Normal Distribution)

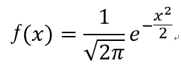
标准正态分布是正态分布的一种特殊形式,即当μ=0,δ=1时,称此正态分布为标准正态分布,记为x~N(0,1)。

正态分布&标准正态分布正态分布 Normal Distribution 正态分布也称为高斯分布 是一种常见的连续性概率分布 若随机变量 x 服从概率密度函数 f x 则称 x 服从均值为 方差为 2 的正态分布 记为 x N

讯享网
正态分布也称为高斯分布,是一种常见的连续性概率分布,若随机变量x服从概率密度函数f(x),则称x服从均值为μ,方差为δ^2,的正态分布,记为x~N(𝜇,𝛿2),正态分布曲线呈钟型,故常称之为钟形曲线。



标准正态分布是正态分布的一种特殊形式,即当μ=0,δ=1时,称此正态分布为标准正态分布,记为x~N(0,1)。

版权声明:本文内容由互联网用户自发贡献,该文观点仅代表作者本人。本站仅提供信息存储空间服务,不拥有所有权,不承担相关法律责任。如发现本站有涉嫌侵权/违法违规的内容,请联系我们,一经查实,本站将立刻删除。
如需转载请保留出处:https://51itzy.com/kjqy/55938.html