移动平均线,是交易者们最青睐的用来衡量动能或趋势的工具。
常用的有三种均线:简单移动平均线、加权移动平均线和指数移动平均线。
每种平均线的公式不同,作用也不同。
简单移动平均线Simple Moving Average
在计算机出现之前,简单移动平均线(SMA)很盛行,因为它很容易计算。今天的处理能力已经使其他类型的移动平均线和技术指标更容易测量。移动平均线是根据特定时期的平均收盘价计算的。移动平均线通常使用每日收盘价,但它也可以为其他时间框架计算。也可以使用其他价格数据,如开盘价或中间价。新一天的收盘价出现,该数据被添加到计算中,而用来计算平均值的一系列的数据中最早的价格数据被剔除。
只不过一般收盘价对第二天的价格影响最大,所以一般使用收盘价,这样更能体现出一定的预测性。
Moving average, 前面判断趋势时用到过。比如MA100, 指的是100日的均线。计算方法是几日均线,就是从当天开始向前开始几日价格的平均。
对于简单的移动平均线,其计算公式为某一时期的数据点之和除以时期数。
例如,2014年6月20日至26日,苹果公司(AAPL)的收盘价如下:
| Date |
Closing Price of AAPL |
| June 26 |
$90.90 |
| June 25 |
$90.36 |
| June 24 |
$90.28 |
| June 23 |
$90.83 |
| June 20 |
$90.91 |
基于上述价格的五期移动平均线,将用以下公式计算:
这里:Pn = 当期价格,即每日的收盘价。
代入数值计算为:
(90.90+90.36+90.28+90.83+90.91)/5 = 90.656
上面的方程式显示,所列期间的平均价格为90.66美元。所以6.26当天的5日均线,MA5指标的值为90.66美元,就形成一个点,然后将每天的5日均线值的点连起来,就是5日均线。
每天的MA5的值就是前四天和今天的收盘价的平均值。
使用移动平均数是消除强烈价格波动的有效方法。关键的限制是,来自较早数据的数据点与靠近数据集开始的数据点的权重没有任何不同。这就是加权移动平均线发挥作用的地方。
使用了均线,就更容易找到股价的support level支撑和阻力resistance level位置。
短期的均线,比如5日均线,会波动更大一些,而长期均线,比如250日均线,就会更加平滑。
使用平均值这种最简单的数学计算方法,就是为了让投资者investors和交易者traders能够跟踪和识别趋势,通过一天天的波动转化为平滑的曲线。
股价本来就有随机波动性,就像测量某个数据会有误差一样,使用了平均值,能更好的过滤波动。
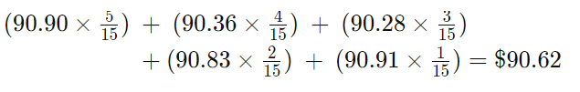
加权移动平均数Weighted Moving Average
加权移动平均数对最新价格赋予了更大的权重,因为它们比前面的价格相关性更强。加权的总和应该加到1(或100%)。而在简单移动平均数的情况下,权重是平均分配的。
举个例子,
| Date |
Closing Price of AAPL |
Weighting权重 |
| June 26 |
$90.90 |
5/15 |
| June 25 |
$90.36 |
4/15 |
| June 24 |
$90.28 |
3/15 |
| June 23 |
$90.83 |
2/15 |
| June 20 |
$90.91 |
1/15 |
公式是:

这里,n是周期,比如WMA5,就是5天的加权移动平均值。

计算的结果是6.26日当天的WMA5值为90.62美元。
具体的权重,也可以自行调整。
因加权移动平均线强调将愈近期的价格比重提升,故当市场行情突变时,加权移动平均线比起其它平均线更容易预测价格波动。

通过调整权重,还有不同的加权移动平均线种类和公式,上面介绍的是线性加权移动平均Linear WMA。
还有末日WMA:
![]()
梯型加权移动平均线:
[(第1日收盘价+第2日收盘价)×1+(第2日收盘价+第3日收盘价)×2+(第3日收盘价+第4日收盘价)×3+(第4日收盘价+第5日收盘价)×4]/(2×1+2×2+2×3+2×4),即为第五日的阶梯加权移动平均线。
平方系数加权移动平均线:
MA=[(第1日收盘价×1×1)+( 第2日收盘价×2×2)+( 第3日收盘价×3×3)+( 第4日收盘价×4×4)+( 第5日收盘价×5×5)]/(1×1+2×2+3×3+4×4+5×5)
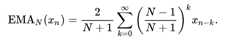
指数平滑移动平均线Exponential Moving Averages
EMA(Eponential Moving Average)是指数移动平均值。也叫 EXPMA 指标,它也是一种趋向类指标,指数移动平均值是以指数式递减加权的移动平均。
其计算公式中着重考虑了当天价格(当期)行情的权重。
而之所以叫做指数平滑移动平均线的原因,是因为直接定义式是使用了指数参与计算:

这个定义比较复杂,一般需要推导公式时才使用,我们一般不用,而是用递推形式的。
递推定义式:

使用递推公式来计算。第一天EMA的值就是x1。
xn是最新的当天价格,N为周期比如5日EMA均线N就是5。
举个例子:5日EMA计算。
| Date |
Closing Price of AAPL |
EMA |
| June 26 |
$90.90 |
$90.68 |
| June 25 |
$90.36 |
$90.57 |
| June 24 |
$90.28 |
$90.68 |
| June 23 |
$90.83 |
$90.88 |
| June 20 |
$90.91 |
$90.91 |
EMA的值:
6.20,值和当天收盘价一样,$90.91。
6.23,(2*90.83 + (5-1)*90.91)/(5+1) = 90.88
6.24, (2*90.28 + (5-1)*90.88)/(5+1) = 90.68
6.25, (2*90.36 + (5-1)*90.68)/(5+1) = 90.57
6.26, (2*90.90 + (5-1)*90.57)/(5+1) = 90.68
使用EMA可以更好的描述趋势变化的快慢。比如在MACD就是用EMA。
正是使用了移动平均线,才能体现出短期和长期的价格变化趋势。并通过短期均线上穿或下穿长期均线,体现出趋势的转变。
哪种移动平均线更有效?
由于指数型移动平均线(EMA)使用指数加权的乘数来给最近的价格以更大的权重,一些人认为与WMA或SMA相比,它是一个更好的趋势指标。有些人认为,EMA对趋势的变化反应更灵敏。另一方面,SMA所提供的更基本的平滑作用可能使它在寻找图表上的简单支撑和阻力区域时更加有效。一般来说,移动平均线作用是平滑价格数据,否则会有在图表上的噪音。
EMA和WMA的功能是相似的,它们更依赖于最近的价格,而对较早的价格重视程度较低。如果交易员担心数据的滞后影响可能会降低移动平均线指标的反应能力,他们会使用这些EMA和WMA而不是SMA。
所有的移动平均线都有一个明显的缺点,即它们是滞后指标。由于移动平均线是基于先前的数据,它们在反映趋势变化之前会受到时间滞后的影响。在移动平均线显示出趋势变化之前,股票价格可能会急剧波动。较短的移动平均线比长的移动平均线受到的滞后影响要小。
不过,这种滞后对于某些被称为移动平均线交叉的技术指标来说还是很有用的。被称为死亡交叉的技术指标发生在50日均线与200日均线的交叉之下,它被认为是一个看跌信号。一个相反的指标,被称为黄金交叉,是在50日均线与200日均线交叉时产生的,它被认为是一个看涨信号。
参考:
Moving Average (MA), Weighted MA, and Exponential MA
https://www.investopedia.com/ask/answers/071414/whats-difference-between-moving-average-and-weighted-moving-average.asp
版权声明:本文内容由互联网用户自发贡献,该文观点仅代表作者本人。本站仅提供信息存储空间服务,不拥有所有权,不承担相关法律责任。如发现本站有涉嫌侵权/违法违规的内容,请联系我们,一经查实,本站将立刻删除。
如需转载请保留出处:https://51itzy.com/kjqy/55529.html