目录
- 参考
- 概述
- G.711原理
- 总结
1. 参考
- [1] wikipedia/A-law_algorithm
- [2] github.com/quatanium/foscam-ios-sdk
- [3] charybdis/G711算法学习
2. 概述
本文目的:
1、熟悉G711a/u两种格式的基本原理
2、熟悉两种压缩算法的实现步骤及提供源码实现
G.711是国际电信联盟ITU-T定制出来的一套语音压缩标准,它代表了对数PCM(logarithmic pulse-code modulation)抽样标准,是主流的波形声音编解码标准,主要用于电话。
- 主要用脉冲编码调制对音频采样,采样率为8k每秒。它利用一个 64Kbps 未压缩通道传输语音讯号。
- 压缩率为1:2, 即把16位成8位。
G.711 标准下主要有两种压缩算法。
- u-law algorithm (又称u-law, ulaw, mu-law),主要运用于北美和日本。
- A-law algorithm,主要运用于欧洲和世界其他地区。特别设计用来方便计算机处理的。
G.711将14bit(uLaw)或者13bit(aLaw)采样的PCM数据编码成8bit的数据流,播放的时候在将此8bit的数据还原成14bit或者13bit进行播放,不同于MPEG这种对于整体或者一段数据进行考虑再进行编解码的做法,G711是波形编解码算法,就是一个sample对应一个编码,所以压缩比固定为:
- 8/14 = 57% (uLaw)
- 8/13 = 62% (aLaw)
3. G.711原理
- 采样率:8kHz
- 信息量:64kbps/channel
- 理论延迟:0.125msec
- 品质:MOS值4.10
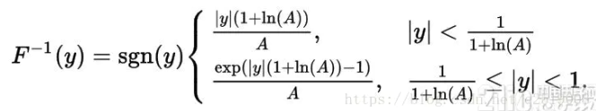
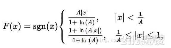
画出图来则是如下图,用x表示输入的采样值,F(x)表示通过A-law变换后的采样值,y是对F(x)进行量化后的采样值。

由此可见
- 在输入的x为高值的时候,F(x)的变化是缓慢的,有较大范围的x对应的F(x)最终被量化为同一个y,精度较低。
- 相反在低声强区域,也就是x为低值的时候,F(x)的变化很剧烈,有较少的不同x对应的F(x)被量化为同一个y。意思就是说在声音比较小的区域,精度较高。
对应反量化公式(即上面函数的反函数):

3.1 G.711A(A-LAW)压缩十三折线法
G.711A输入的是13位(S16的高13位),这种格式是经过特别设计的,便于数字设备进行快速运算。
- 取符号位并取反得到s。
- 获取强度位eee,获取方法如下图所示
- 获取高位样本位wxyz
- 组合为seeewxyz,将seeewxyz逢偶数为取补数。
A-law如下表计算。
- 第一列是采样点,共13bit,最高位为符号位。
- 对于前两行,折线斜率均为1/2,跟负半段的相应区域位于同一段折线上。
- 对于3到8行,斜率分别是1/4到1/128,共6段折线。
- 总共13段折线,这就是所谓的A-law十三段折线法。

示例:
输入pcm数据为1234,二进制对应为(0000 0100 1101 0010)
二进制变换下排列组合方式(0 00001 0011 010010)
1、获取符号位最高位为0,取反,s=1
2、获取强度位00001,查表,编码制应该是eee=011
3、获取高位样本wxyz=0011
4、组合为,逢偶数为取反为,得到E6

#define SIGN_BIT (0x80) /* Sign bit for a A-law byte. */ #define QUANT_MASK (0xf) /* Quantization field mask. */ #define NSEGS (8) /* Number of A-law segments. */ #define SEG_SHIFT (4) /* Left shift for segment number. */ #define SEG_MASK (0x70) /* Segment field mask. */ static int seg_aend[8] = {0x1F, 0x3F, 0x7F, 0xFF, 0x1FF, 0x3FF, 0x7FF, 0xFFF}; static int seg_uend[8] = {0x3F, 0x7F, 0xFF, 0x1FF, 0x3FF, 0x7FF, 0xFFF, 0x1FFF}; static int search( int val, /* changed from "short" *drago* */ int * table, int size) /* changed from "short" *drago* */ { int i; /* changed from "short" *drago* */ for (i = 0; i < size; i++) { if (val <= *table++) return (i); } return (size); } int linear2alaw(int pcm_val) /* 2's complement (16-bit range) */ /* changed from "short" *drago* */ { int mask; /* changed from "short" *drago* */ int seg; /* changed from "short" *drago* */ int aval; pcm_val = pcm_val >> 3;//这里右移3位,因为采样值是16bit,而A-law是13bit,存储在高13位上,低3位被舍弃 if (pcm_val >= 0) { mask = 0xD5; /* sign (7th) bit = 1 二进制的*/ } else { mask = 0x55; /* sign bit = 0 二进制的0*/ pcm_val = -pcm_val - 1; //负数转换为正数计算 } /* Convert the scaled magnitude to segment number. */ seg = search(pcm_val, seg_aend, 8); //查找采样值对应哪一段折线 /* Combine the sign, segment, and quantization bits. */ if (seg >= 8) /* out of range, return maximum value. */ return (0x7F ^ mask); else { //以下按照表格第一二列进行处理,低4位是数据,5~7位是指数,最高位是符号 aval = seg << SEG_SHIFT; if (seg < 2) aval |= (pcm_val >> 1) & QUANT_MASK; else aval |= (pcm_val >> seg) & QUANT_MASK; return (aval ^ mask); } } int alaw2linear(int a_val) { int t; /* changed from "short" *drago* */ int seg; /* changed from "short" *drago* */ a_val ^= 0x55; //异或操作把mask还原 t = (a_val & QUANT_MASK) << 4;//取低4位,即表中的abcd值,然后左移4位变成abcd0000 seg = ((unsigned)a_val & SEG_MASK) >> SEG_SHIFT; //取中间3位,指数部分 switch (seg) { case 0: //表中第一行,abcd0000 -> abcd1000 t += 8; break; case 1: //表中第二行,abcd0000 -> 1abcd1000 t += 0x108; break; default://表中其他行,abcd0000 -> 1abcd1000 的基础上继续左移(按照表格第二三列进行处理) t += 0x108; t <<= seg - 1; } return ((a_val & SIGN_BIT) ? t : -t); }
讯享网
3.2 G.711u(u-law)
使用在北美和日本,输入的是14位,编码算法就是查表,计算出:基础值+平均偏移值
μ-law的公式如下,μ取值一般为255

相应的μ-law的计算方法如下表


示例:
输入pcm数据为1234
1、取得范围值,查表得 +2014 to +991 in 16 intervals of 64
2、得到基础值为0xA0
3、得到间隔数为64
4、得到区间基本值2014
5、当前值1234和区间基本值差异2014-1234=780
6、偏移值=780/间隔数=780/64,取整得到12
7、输出为0xA0+12=0xAC
讯享网#define BIAS (0x84) /* Bias for linear code. 线性码偏移值*/ #define CLIP 8159 //最大量化级数量 int linear2ulaw( int pcm_val) /* 2's complement (16-bit range) */ { int mask; int seg; int uval; /* Get the sign and the magnitude of the value. */ pcm_val = pcm_val >> 2; if (pcm_val < 0) { pcm_val = -pcm_val; mask = 0x7F; } else { mask = 0xFF; } if ( pcm_val > CLIP ) pcm_val = CLIP; /* clip the magnitude 削波*/ pcm_val += (BIAS >> 2); /* Convert the scaled magnitude to segment number. */ seg = search(pcm_val, seg_uend, 8); /* * Combine the sign, segment, quantization bits; * and complement the code word. */ if (seg >= 8) /* out of range, return maximum value. */ return (0x7F ^ mask); else { uval = (seg << 4) | ((pcm_val >> (seg + 1)) & 0xF); return (uval ^ mask); } } int ulaw2linear( int u_val) { int t; /* Complement to obtain normal u-law value. */ u_val = ~u_val; /* * Extract and bias the quantization bits. Then * shift up by the segment number and subtract out the bias. */ t = ((u_val & QUANT_MASK) << 3) + BIAS; t <<= (u_val & SEG_MASK) >> SEG_SHIFT; return ((u_val & SIGN_BIT) ? (BIAS - t) : (t - BIAS)); }
3.2 A-law和u-law对比
A-law和u-law画在同一个坐标轴中就能发现A-law在低强度信号下,精度要稍微高一些。

实际应用中,我们确实可以用浮点数计算的方式把F(x)结果计算出来,然后进行量化,但是这样一来计算量会比较大,实际上对于A-law(A=87.6时),是采用13折线近似的方式来计算的,而μ-law(μ=255时)则是15段折线近似的方式。
4. 总结
G711尽管是一种非常古老的话音编码算法,原理和计算也比较简单,但是其中用到的一些基本原理同样在其他编码算法中得到了应用,对其进行深入的了解有助于更好的理解其他的算法。
G711和PCM 的互转
//http://www.easydarwin.org/article/Streaming/38.html 参考文章
//https://github.com/EasyDarwin/EasyAACEncoder/blob/master/g711.cpp
//http://www.oschina.net/code/snippet_1173523_38946
//http://blog.csdn.net/rightorwrong/article/details/4209467 PCM 2 G711 G711 2 PCM
unsigned char encode(short pcm);
short decode(unsigned char alaw);
/ 个人理解
* bitsize 应该为16, pBuffer(pcm数据) 两个char 合成一个 short ,长度自然就是原来的一半(nBufferSize/2),
* 通过编码后short类型的数据变为char类型,让后复制给pCodecBits
*/
int g711_encode(unsigned char* pCodecBits, const char* pBuffer, int nBufferSize)
{
short* buffer = (short*)pBuffer;
int i;
for(i=0; i<nBufferSize/2; i++)
{
pCodecBits[i] = encode(buffer[i]);
}
return nBufferSize/2;
}
/ 个人理解
* bitsize 应该为16, pcm 数组的宽度变为原来两倍(short *out_data = (short*)pRawData;),
* 通过对pBuffer(g711数据)中char解码转为两个字节的short ,后复制给out_data数组, 在使用的时候又转为char类型, 则 解码后的数据就是原来的两倍(nBufferSize*2)
*/
int g711_decode(char* pRawData, const unsigned char* pBuffer, int nBufferSize)
{
short *out_data = (short*)pRawData;
int i;
for(i=0; i<nBufferSize; i++)
{
out_data[i] = decode(pBuffer[i]);
}
return nBufferSize*2;
}
#define MAX 32635
unsigned char encode(short pcm)
{
int sign = (pcm & 0x8000) >> 8;
if (sign != 0)
pcm = -pcm;
if (pcm > MAX) pcm = MAX;
int exponent = 7;
int expMask;
for (expMask = 0x4000; (pcm & expMask) == 0
&& exponent>0; exponent--, expMask >>= 1) { }
int mantissa = (pcm >> ((exponent == 0) ? 4 : (exponent + 3))) & 0x0f;
unsigned char alaw = (unsigned char)(sign | exponent << 4 | mantissa);
return (unsigned char)(alaw^0xD5);
}
short decode(unsigned char alaw)
{
alaw ^= 0xD5;
int sign = alaw & 0x80;
int exponent = (alaw & 0x70) >> 4;
int data = alaw & 0x0f;
data <<= 4;
data += 8;
if (exponent != 0)
data += 0x100;
if (exponent > 1)
data <<= (exponent - 1);
return (short)(sign == 0 ? data : -data);
}
G711 -> PCM
讯享网JNIEXPORT void JNICALL Java_com_ff_aacdemo_jni_G711Coder_g711Topcm (JNIEnv *env, jobject obj){ FILE* fpOut = fopen("/storage/emulated/0/t/pcm_to_g711.pcm", "wb"); FILE* fpIn = fopen("/storage/emulated/0/t/pcm_to_g711.g711", "rb");//g711格式文件在最后会给出连接 int g711_BufferSize = 1024; char g711_Buffer[g711_BufferSize]; int len; while((len = fread(g711_Buffer, 1, g711_BufferSize, fpIn)) > 0){ LOGD("g711topcm length = %d", len); char pcmBuffer[len]; int pcmbufsize = g711_decode(pcmBuffer, g711_Buffer, len); fwrite(pcmBuffer, 1, pcmbufsize, fpOut); } LOGD("g711topcm end"); fclose(fpIn); fclose(fpOut); }
PCM -> G711
JNIEXPORT void JNICALL Java_com_ff_aacdemo_jni_G711Coder_pcmTog711 (JNIEnv *env, jobject obj){ FILE* fpIn = fopen("/storage/emulated/0/t/pcm_to_g711.pcm", "rb"); FILE* fpOut = fopen("/storage/emulated/0/t/pcm_to_g711.g711", "wb"); LOGD("pcmTog711 1"); int pcm_BufferSize = 1024; char pcm_Buffer[pcm_BufferSize]; int len; while((len = fread(pcm_Buffer, 1, pcm_BufferSize, fpIn)) > 0){ LOGD("pcmTog711 length = %d", len); char g711Buffer[len]; int g711BufSize = g711_encode(g711Buffer, pcm_Buffer, len); fwrite(g711Buffer, 1, g711BufSize, fpOut); } LOGD("pcmTog711 end"); fclose(fpIn); fclose(fpOut); }
虽然能够实现他们的相互转换, 可是,不怎么好找到播放器播放, 效果始终没有验证, 在下一章中, 将总结将 G711 转换为 AAC , AAC这种格式将能够使用常规的播放器进行播放
原文链接:https://blog.csdn.net/_/article/details/
讯享网 G711 -> PCM public static byte[] convertG711ToPcm(byte[] g711Buffer, int length, byte[] pcmBuffer) { if (pcmBuffer == null) { pcmBuffer = new byte[length*2]; } for (int i=0; i<length; i++) { byte alaw = g711Buffer[i]; alaw ^= 0xD5; int sign = alaw & 0x80; int exponent = (alaw & 0x70) >> 4; // 这个移位多此一举?结果应该一直是8 int value = (alaw & 0x0F) >> 4 + 8; if (exponent != 0) { value += 0x0100; } if (exponent > 1) { value <<= (exponent - 1); } value = (char)((sign == 0 ? value : -value) & 0xFFFF); pcmBuffer[i*2+0] = (byte) (value & 0xFF); pcmBuffer[i*2+1] = (byte) (value >> 8 & 0xFF); } return pcmBuffer; }

版权声明:本文内容由互联网用户自发贡献,该文观点仅代表作者本人。本站仅提供信息存储空间服务,不拥有所有权,不承担相关法律责任。如发现本站有涉嫌侵权/违法违规的内容,请联系我们,一经查实,本站将立刻删除。
如需转载请保留出处:https://51itzy.com/kjqy/54921.html