今天给大家介绍一个超实用的LateX公式编辑排版工具--MyScript。
目录
(1)点击进入网页
(2)选择第一个“Math”
(3)写出公式
(4)实时显示
(5)手写体转为印刷体
(6)公式文本
(7)功能按钮
(8)Word公式编辑排版
(1)点击进入网页
MyScript Webdemo
讯享网http://webdemo.myscript.com/
(2)选择第一个“Math”

(3)写出公式
按住鼠标左键,画出公式。上方会实时显示。


(4)实时显示

(5)手写体转为印刷体
点击上方“Convert”,可以将刚才我们的手写体转为印刷体。

在书写过程中,可以多次点击Convert。
(6)公式文本
右边LateX标签栏会显示公式文本,复制粘贴到LateX编辑器后会进行编译,就会在论文中显示公式啦!

(7)功能按钮
界面还提供了一些功能按钮,如撤销、重复、清空
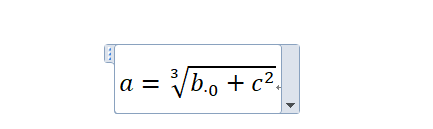
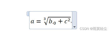
(8)Word公式编辑排版
和LateX编辑公式不同的是,这次我们要选择MathML选项,然后点击“复制”按钮。

然后直接粘贴到“Word”中即可:

版权声明:本文内容由互联网用户自发贡献,该文观点仅代表作者本人。本站仅提供信息存储空间服务,不拥有所有权,不承担相关法律责任。如发现本站有涉嫌侵权/违法违规的内容,请联系我们,一经查实,本站将立刻删除。
如需转载请保留出处:https://51itzy.com/kjqy/54080.html