欢迎来到java算法系列
- 一.概念
- 二.复杂度分析
-
- 1.大O复杂度表示法
- 2.复杂度分析方法
- 三.常见的复杂度
-
- 1.O(1)
- 2.O(n)
- 3.O(log n)
- 4.O(n * log n)
- 四.最好/最坏/平均复杂度
-
- 1.最好/最坏复杂度
- 2.平均情况复杂度
- 五.空间复杂度
一.概念
1.虽然概念很空洞,但是概念还是需要介绍的:
- 数据结构是指一组数据的存储结构
- 算法就是操作数据的方法
2.这只是抽象的定义,我们来举一个例子,你有一批货物需要运走,你是找小轿车来运还是找卡车来运?这就是数据结构的范畴,选取什么样的结构来存储;至于你货物装车的时候是把货物堆放在一起还是分开放这就是算法放到范畴了,如何放置货物更有效率更节省空间
3.数据结构和算法看起来是两个东西,但是我们为什么要放在一起来说呢?那是因为数据结构和算法是相辅相成的,数据结构是为算法服务的,而算法要作用在特定的数据结构之上,因此,我们无法孤立数据结构来讲算法,也无法孤立算法来讲数据结构
4.想要学习数据结构与算法,首先要掌握一个数据结构与算法中最重要的概念:复杂度分析
二.复杂度分析
1.数据结构和算法解决的是“快”和“省”的问题,即如何让代码运行的更快,如何让代码更省存储空间。因此执行效率是一个非常重要的考量指标,那如何来衡量代码的执行效率,就是我们所说的:时间,空间复杂度分析
2.为什么要进行复杂度分析
1.大O复杂度表示法
1.先来一段代码,求:1,2,3,4…n累加和
讯享网2.分析上面代码所用的时间
1.假设每行代码执行的固定时间为t
2.那么上述代码执行的时间为:T(n) = (3n+3)t
3.在来一段代码
讯享网
1.假设每行代码执行的固定时间为t
2.那么上述代码执行的时间为:T(n) = (3n²+3n+3)t
4.因此有一个重要结论:代码的执行时间T(n)与总的执行次数成正相关 ,我们可以把这个规律总结成一个公式
T(n) = o(f(n))
5.解释一下:T(n)表示代码的执行时间,n表示数据规模的大小,f(n)表示了代码执行的总次数,它是一个公式因此用f(n)表示,O表示了代码执行时间与f(n)成正比
6.大 O 时间复杂度实际上并不具体表示代码真正的执行时间,而是表示代码执行时间随数据规模增长的变化趋势,所以,也叫作渐进时间复杂度,简称时间复杂度
7.当n很大时,公式中的低阶,常量,系数三部分并不左右其增长趋势,因此可以忽略,我们只需要记录一个最大的量级就可以了,因此如果用大O表示刚刚的时间复杂度可以记录为:T(n)=O(n),T(n)=O(n²)
2.复杂度分析方法
1.最大循环原则:大O复杂度表示法只代表一种变化趋势,公式中的低阶,常量,系数三部分并不左右其增长趋势,因此可以忽略,我们只需要记录一个最大的量级就可以了。因此分析一个算法或者一个代码的时间复杂度时,只需关注循环执行次数最多的那一段代码即可
2.加法原则,请看下面代码
其中两段最大量级的复杂度分别为O(n)和O(n²),其结果本应该是:T(n)=O(n)+O(n²),我们取其中最大的量
级,因此整段代码的复杂度为:O(n²),其实也可以基于第一个最大循环原则得出复杂度为O(n²)
也就是说:总的时间复杂度就等于量级最大的那段代码的时间复杂度
另外再看一段代码
讯享网
根据我们的分析原则,这段代码的时间复杂度为O(m+n),它其实也是线性复杂度O(n)的一种。
3.乘法原则,请看下面代码
单独看是:O(n),由于func(i)是O(n)因此整体是:O(n) * O(n) = O(n * n) = O(n²)
因此可以看出:嵌套代码的复杂度等于嵌套内外代码复杂度的乘积
三.常见的复杂度
虽然代码写法千差万别,但是我们平常所见的复杂度量级并不多,列举如下
对于表格中所罗列的一些复杂度从上到下当n越大时算法执行时间会急剧增加,时间会无限增长,常见复杂度的增
长曲线如下图

1.O(1)
O(1)并不是指代码只有一行,它是一种常量级复杂度的表示方法,比如说有一段代码如下:

代码只有三行,它的复杂度也是O(1),而不是O(3)
再看如下代码:
整个代码中因为循环次数是固定的就是100次,这样的代码复杂度我们认为也是O(1)
2.O(n)
这种复杂度量级随处可见,比如我们分析如下代码
另外对于O(n^2)这种复杂度我们也就很好理解了
3.O(log n)
对数复杂度非常的常见,但相对比较难以分析,代码如下:
复杂度分析就是要弄清楚代码的执行次数和数据规模n之间的关系

由图中分析可知,代码的时间复杂度表示为 O(log2n)
4.O(n * log n)
分析完O( log n ),那O( n * log n )就很容易理解了,比如下列代码
这是一种非常常见的算法时间复杂度,我们后续要学习的归并排序,快速排序的时间复杂度都是O(nlogn)
java的算法基础
四.最好/最坏/平均复杂度
1.最好/最坏复杂度
有一个需求:在数组array中查找变量x的位置,实现如下
通过之前学习的复杂度分析方式,我们可以分析出来这段代码的复杂度为O(n),但是这段代码实现的并不是特别
好,我们稍作优化,因为在数组中查找某一元素并不需要把整个数组都遍历一遍,因为可能在遍历的途中就已经找
到了,找到了就直接返回,提前结束循环,优化后的结果如下:
优化完成之后我们再看这段代码的复杂度还是O(n)吗?
所以:在不同的情况下,同一段代码的复杂度并不一样
因此我们需要引入三个概念:最好情况复杂度,最坏情况复杂度,和平均情况复杂度
最好情况复杂度:在最理想的情况下代码的时间复杂度
最坏情况复杂度:在最糟糕的情况下代码的时间复杂度
2.平均情况复杂度
那刚刚的代码如何分析评价情况复杂度呢?
查找变量x在数组中的位置有n+1中情况,在数组中0~n-1的位置上以及不在数组中,我们把每一种情况下代码需要
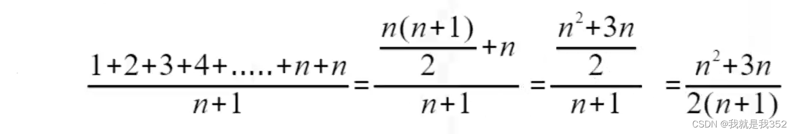
遍历的次数加起来,然后除以n+1就得到了代码需要遍历执行的平均值。如图:

我们知道,在大O复杂度标记法中,可以省略系数,低阶,常量,因此把该结果简化之后得到的复杂度仍然为O(n)
此时,结论虽然正确,但是计算过程稍微有点儿问题,问题出在哪里?就是我们刚刚讲到的这n+1种情况出现的概
率并不是一样的,通过之前的讲解我们知道查找变量x在数组中的位置要么在数组中,要么不在数组中,意味着在数组中0~n-1位置上出现的概率为1/2,不再数组中出现的概率为1/2,此外在数组中0-n-1位置上每一种情况下的概率为1/n,因此根据概率法则,要查找的数据出现在0 ~ n-1中任意位置的概率为1/2n
所以前面的结论推导过程中我们需要将概率考虑进去,那计算平均时间复杂度的计算过程就变成了这样:

五.空间复杂度
用一段小的代码来说明一下:
代码执行并不需要占用额外的存储空间,只需要常量级的内存空间大小,因此空间复杂度是O(1)
版权声明:本文内容由互联网用户自发贡献,该文观点仅代表作者本人。本站仅提供信息存储空间服务,不拥有所有权,不承担相关法律责任。如发现本站有涉嫌侵权/违法违规的内容,请联系我们,一经查实,本站将立刻删除。
如需转载请保留出处:https://51itzy.com/kjqy/4777.html