各位CSDN的uu们你们好呀,今天,小雅兰的内容是洛必达法则,在之前的题目中,我们其实就已经提到过它了,只是没有单独讲出来,这篇博客,就让我们一起进入洛必达法则的世界吧
一、0/0型与无穷/无穷型未定式
二、其它类型的未定式
一、0/0型与无穷/无穷型未定式
洛必达法则是在一定条件下通过分子分母分别求导再求极限来确定未定式值的方法 。众所周知,两个无穷小之比或两个无穷大之比的极限可能存在,也可能不存在。因此,求这类极限时往往需要适当的变形,转化成可利用极限运算法则或重要极限的形式进行计算。洛必达法则便是应用于这类极限计算的通用方法 。



下面就让我们看看心心念念的洛必达法则
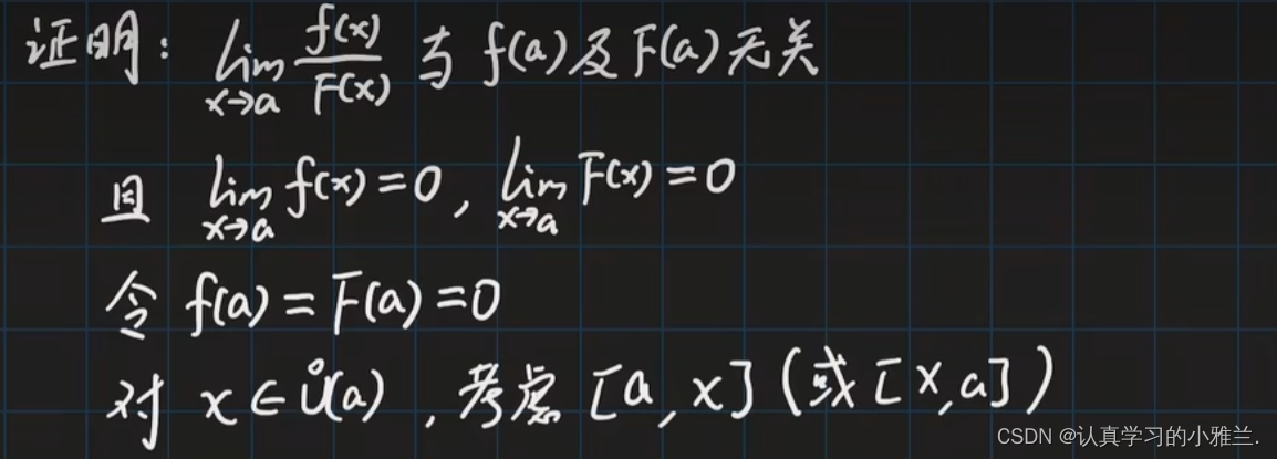
然后,我们来证明一下此定理


注意事项 
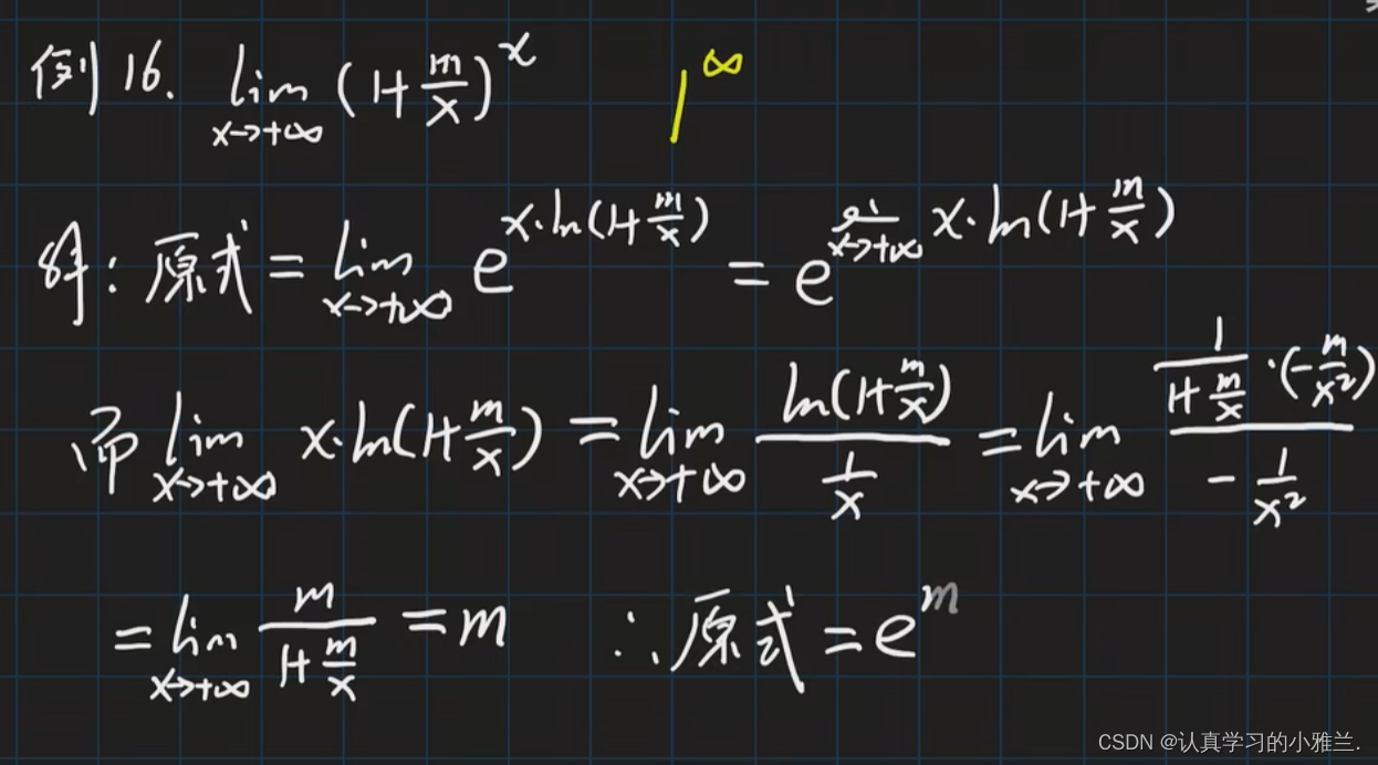
下面,我们来看几个例题

这个题目比较简单,直接用一次洛必达法则就出结果了

看到这个题目,有些人可能就会想当然:咦,这不是我们之前学过的有理分式函数的极限吗?直接用“抓大头”的方法,最后结果不就得1吗?如果真是这样想的,那可真是大错特错了。当时我们讲“抓大头”的方法,要求是自变量的必须趋于无穷,这个题目显然不是。

这个题目用到了我们之前学过的两个重要极限之一。

这个题目还有一种解法,先用洛必达法则,然后再是我们之前学过的等价无穷小代换。



上面两个例题共同说明了:当x趋向于无穷时,下面这三个函数也趋向于无穷。分别是:对数函数、幂函数、指数函数。
同时也说明了:指数函数的增加速度最快,幂函数次之,对数函数增加速度最慢。 


对于这样的题目,我们肯定不能直接一上来就洛必达法则,这么一坨,求起导来,多麻烦啊
那么,我们肯定是要用到等价无穷小代换的

那么,这个题目肯定是不能用洛必达法则来求了,但是我们可以利用以前学过的知识来解这道题
这里又运用了一个小知识点,就是无穷小和有界函数的乘积仍然是无穷小。
有些人可能会这样想:看到了这个sin x/x就来神了,这不是重要极限吗,二话不说就得出了错误的结果:2。实际上,又犯了一个大错误,又是没有看清楚自变量的趋向值的。 重要极限讲的是:当x趋向于0时,sin x/x的极限等于1。


二、其它类型的未定式







但是这个题目,如果是为了洛必达法则而洛必达法则,实在是太麻烦了,我们来介绍另外一种方法
这样的用重要极限法来解这道题,难道不是更加方便吗?
好啦,小雅兰今天的内容就到这里啦,这篇博客主要就是洛必达法则,在睡觉之前,默念三遍:洛必达,我的神! 洛必达,我的神! 洛必达,我的神! 哈哈哈。
学业尚未成功,小雅兰还得努力努力再努力呀!!!



版权声明:本文内容由互联网用户自发贡献,该文观点仅代表作者本人。本站仅提供信息存储空间服务,不拥有所有权,不承担相关法律责任。如发现本站有涉嫌侵权/违法违规的内容,请联系我们,一经查实,本站将立刻删除。
如需转载请保留出处:https://51itzy.com/kjqy/47303.html