一、什么是齐次坐标
齐次坐标就是在原有的坐标上加了一个维度

讯享网
二、齐次坐标作用
简化三维空间中点线面表达方式和旋转平移操作
二维平面直线l可以用ax+by+c=0表示,用向量的话表示为

点p(x1,y1)满足在直线l上的充分必要条件为ax1+by1+c=0
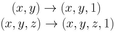
用齐次坐标表示点p
p’=(x,y,1)
那么ax+by+c=0可以用两个向量的点乘来表示

因此,点p在直线l上的充分必要条件就是 直线l 与p的齐次坐标p’的内积

三、表达直线与直线、面与面的交点
1.两个点p、q的叉乘为一条直线l
2.两条直线l、m叉乘为交点p


四、区分向量与点
五、简洁表达欧式空间变化
将2D坐标点x=(u,v)平移t=(tu,tv)用齐次坐标可将加法转化为乘法:

版权声明:本文内容由互联网用户自发贡献,该文观点仅代表作者本人。本站仅提供信息存储空间服务,不拥有所有权,不承担相关法律责任。如发现本站有涉嫌侵权/违法违规的内容,请联系我们,一经查实,本站将立刻删除。
如需转载请保留出处:https://51itzy.com/kjqy/43096.html