1 定义
相比反距离插值反距离插值 IDW_UQI-LIUWJ的博客-CSDN博客,克里金插值公式更加抽象
讯享网
其中
是点 (xo,yo)处的估计值
这里的 λi是权重系数。它同样是用空间上所有已知点的数据加权求和来估计未知点的值。但权重系数并非距离的倒数,而是能够满足点 (xo,yo)处的估计值
与真实值 zo的方差最小的一套最优系数,即

同时满足无偏估计的条件

2 普通克里金插值
不同的克里金插值方法的主要差异就是假设条件不同。
普通克里金插值的假设条件为,空间属性z在各个点有相同的分布。换句话说对于空间任意一点(x,y),z(x,y)都有同样的期望c与方差σ2。即:

换一种说法是,对于任意一点(x,y),该点的值z(x,y),都由区域平均值c和该点的随机偏差R(x,y)组成,即

其中R(x,y)表示点(x,y)处的偏差,其均值为0,方差为常数![]()
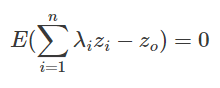
2.1 无偏约束条件
将
代入
有:

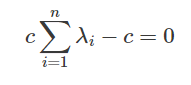
因为对任意的z都有E[z]=c,所以有:

于是有:
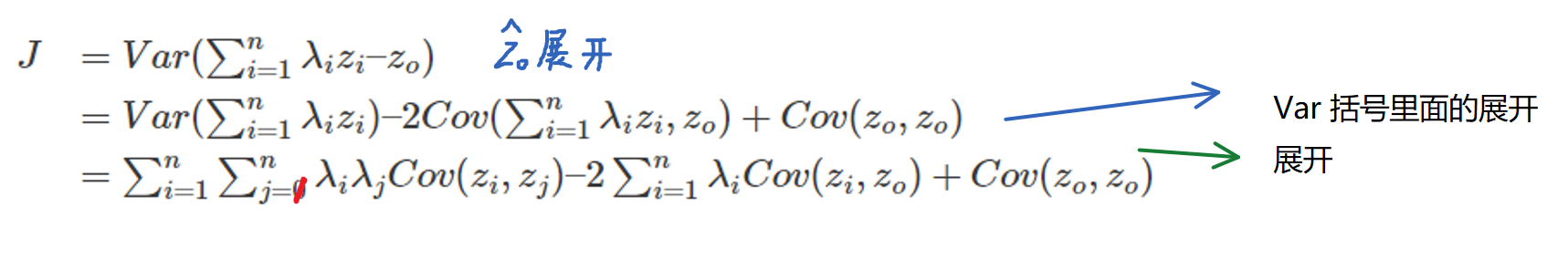
2.2 优化目标函数
我们的目标是![]()
为了方便起见,我们令![]()
于是有:

再次简化描述,令:
![]()
![\small Cov(z_i,z_j)=E[z_i-E(z_i)][z_j-E(z_j)]](https://51itzy.com/uploads/202412/23/d8d6e00325d3a7fb.jpg)
![\small =E[c+R_i-E(c+R_i)][c+R_j-E(c+R_j)]](https://51itzy.com/uploads/202412/23/d8d6e00325d3a7fb.jpg)
这里:
![]()
于是有:

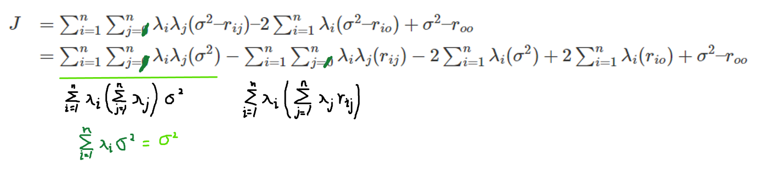
2.2.1 优化目标函数的最优解
我们 定义半方差函数
,将
以及
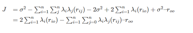
代入J,有:
我们的目标是寻找使J最小的一组 λi,且J是 λi的函数,因此直接将J对 λi求偏导数令其为0即可。
但是要注意的是,我们要保证求解出来的最优 λi 满足
。
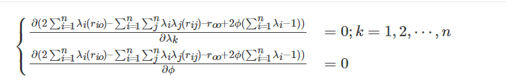
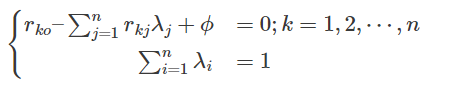
这是一个带约束的最优化问题,我们使用拉格朗日乘法进行求解,构造如下的目标函数
求解使这个代价函数最小的参数集 ϕ,λ1,λ2,⋯,λn,则能满足其在
约束下最小化J。即
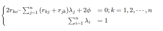
由于
,而
,所以
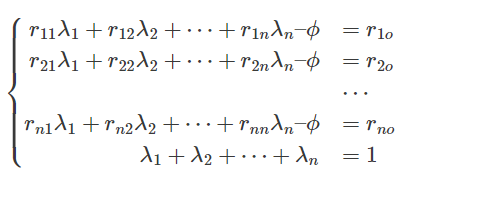
于是有:
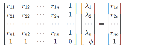
写成矩阵形式为:
对矩阵求逆即可求解。
2.3 半方差函数
上文中对半方差函数的定义为![]()
它的等价形式为:
2.3.1 证明半方差函数的等价
而
于是有:
所以:
2.3.1 如何计算rij?
表达了属性的相似度
空间的相似度就用距离来表达,定义i与j之间的几何距离


3 小节
总的来说,进行克里金插值分为这几个步骤:
1)对于观测数据,两两计算距离与半方差
2)寻找一个拟合曲线拟合距离与半方差的关系,从而能根据任意距离计算出相应的半方差
3)计算出所有已知点之间的半方差 rij
4)对于未知点 zo,计算它到所有已知点 zi的半方差 rio
5)求解方程组,得到最优系数 λi

6)使用最优系数对已知点的属性值进行加权求和,得到未知点 zo的估计值












版权声明:本文内容由互联网用户自发贡献,该文观点仅代表作者本人。本站仅提供信息存储空间服务,不拥有所有权,不承担相关法律责任。如发现本站有涉嫌侵权/违法违规的内容,请联系我们,一经查实,本站将立刻删除。
如需转载请保留出处:https://51itzy.com/kjqy/42374.html